外卖APP用户粘性的突变机制研究毕业论文
2020-02-22 20:39:22
摘 要
随着互联网新兴技术地发展、移动智能终端的全面普及,电子商务的地位也是逐年攀升,并且在我们的日常生活中应用越来越广泛。 智能手机时代的到来,也意味着APP市场的爆发成长,各个行业也需要尽快进去手机APP市场,手机APP的市场占比也是很多互联网公司至关重要的一环和赖以生存的依仗,而外卖APP的出现则是将互联网 的思想最明显的体现和实践证明,在现阶段来看,外卖APP的市场竞争已经趋于稳定,但是用户的争夺缺还远远没有结束,因为用户消费行为的特殊性和市场的不确定性导致了用户粘性经常会存在突变机制,本文以第41次中国互联网络发展状况统计报告中的内容为背景,分析了目前外卖APP市场的现状以及存在的相关问题,探究了外卖APP用户粘性突变与市场竞争的内在关系,对目前的市场环境进行了研究,以美团外卖为实例进行了分析,最后对外卖APP在未来所面临的机遇与挑战做出相应的分析。
关键字:互联网 电子商务 突变机制 用户粘性
Abstract: With the development of new Internet technology and the comprehensive popularization of mobile intelligent terminal, the status of electronic commerce is increasing year by year, and is more and more widely used in our daily life. The arrival of the age of smart phone also means the growth of the APP market. Each industry needs to enter the mobile APP market as soon as possible. The market proportion of the mobile APP is also a vital part of the Internet Co and depends on the survival of the mobile phone, while the appearance of the APP is the most obvious manifestation and practice of the idea of the Internet . At the present stage, the market competition of APP has become stable, but the lack of users' contention is far from ending. Because of the particularity of consumer behavior and the uncertainty of the market, the user stickiness often has a mutation mechanism. This article is in the forty-first China Internet development statistics report. In the background, the present situation of the APP market and the existing problems are analyzed. The internal relationship between the sticky mutation and market competition of the APP users is explored. The current market environment is studied. The case of the US group takeout is analyzed, and the opportunities and challenges facing APP in the future are made. The corresponding analysis.
Key words:Internet plus E-commerce User stickiness Mutation mechanism
目录
引言 1
第1章 绪论 1
1.1选题背景 1
1.2研究方法与研究思路 2
1.3 突变机制理论 3
第2章 国内外卖APP市场现状 5
2.1 市场规模 5
2.2 外卖APP市场竞争格局和对比 6
2.2.1饿了么(口碑外卖) 6
2.2.2 百度外卖 7
2.2.3美团外卖 7
第3章 以美团外卖为实例突变性分析 8
3.1 美团外卖APP产品特点 8
3.2 市场推广方式 8
3.3美团外卖用户粘性突变研究 9
第4章 未来外卖APP的机遇和挑战 10
4.1未来外卖APP的机遇 11
4.2未来外卖APP的挑战 12
第5章 结论与展望 13
参考文献 14
致谢 16
引言
目前,互联网的普及给生活带来了很多便利。随着手机APP应用的快速发展,订阅应用已经成功占领了整个餐饮业市场。订票申请为市民提供方便的订票服务。用户可以通过手机软件查看附近的商店,了解商店的优惠活动和菜肴的具体价格,然后安排配送,从而解决进食问题。外卖APP是为客户提供便捷的配送服务和配送物流服务,或O2O的第三方平台。
从顾客层面来说,除了满意之外,“我想吃,但我不想做饭,不想出去吃饭,怎么可以不用做饭,不出去吃好吃的东西?”“这样的基本秩序需要包括食物和其他社会需求的共享。
在商业层面上,一方面,通过手机订阅应用程序,用户可以在社交网络上分享美食,以增加其客户的来源和受欢迎程度。另一方面,企业可以对所有参展店进行全面的在线管理,从而降低企业的运营成本。
第1章 绪论
1.1选题背景
随着科技的进步和互联网时代的到来,互联网外卖行业确实可以说还没有形成巨头。拿出应用的时间不能说是很成熟的,应该说时机非常紧迫,机密信息,团购,这些大趋势,如果你错过了某个时间点没有进入市场,就会变得越来越难以落后。外卖行业足够大,消费者的用电量足够高,商家也是服务餐饮企业,所以与原来的团购业务是很互补的。美团在过去的几年里一直在做一些很低调的事情,但这一次很不寻常,很高调。(采取OO2O),进入时间很短。,机会非常大。
我们的应用程序运营商总是让越来越多的人使用我们的产品成为我们的用户。但是拥有这些用户之后,我们如何保存它们呢?吸引数亿用户的新应用可能并不困难。但是,保留这些用户并将用户数量增加到一亿并不是一件容易的事情。虽然用户预约是一项需要长时间完成的工作,但在短期内可以进行一些改进,以改善用户的活动,如一些营销活动或根据用户的历史准确地将相关信息推送给用户。与用户交互可以让他们参与到好的方式中,用户可以从这些活动和消息中获取更多有价值的东西,满足用户需要的保留率自然增加。对于一个应用来说,开发大量强大的用户群是最大的价值。移动互联网行业的竞争非常激烈。一旦我们犯了错误,用户可能会失去竞争对手。我们必须不断展示产品的价值,以保持用户保留率的稳定和增长。
1.2研究方法与研究思路
本文采用文献法、书籍法、网络法等方法寻找相关文献。结合当前时代背景,对其进行分析、理解和筛选,得出合理的结论。同时,运用案例分析的方法对现有案例进行了深入的分析,并与已有的结论进行了相互印证,使我们的结论更具说服力。同时,我们需要分析用户使用产品的行为。什么是用户行为分析?通过百度搜索,我们知道:“用户行为分析是对相关数据的统计分析,在获取站点访问的基本数据的情况下,发现用户对站点的访问规则。
1、分析用户行为,确定用户群体特征;
2、用户对产品的使用率。网站产品主要体现在使用、使用、流量、访问率、访问模块和页面保留时间等方面。移动应用主要体现在下载和使用频率上。
3、用户使用产品的时间。
总之,用户行为分析实际上可以被看作是:用户行为分析指的是用户在使用产品过程中收集的所有数据(包括下载、使用频率、访问率、保留时间等)。整理、分析和分析用户的产品规则,为产品开发、优化或营销活动提供强有力的数据支持。分析技术和措施如下:
1。网站数据分析。
2、用户基本动作分析。使用访问时间、访问量等进行分析;
3、关联调查数据分析。主要在推荐相关APP、类似推荐、您的偏好等方面;
4、用户属性和习惯分析。分析了用户属性和用户习惯的两个维度。用户属性包括性别、年龄等。用户习惯包括用户偏好、交通习惯和访问习惯。
5、用户活跃度分析。
以上结论可归纳为:以数据分析为灵感,以产品设计反馈为核心,以用户调查为指导。
我的数据整理方式如下
1,网站数据分析:数据检测、整理、收集、统计。
2。用户基本行动分析焦点:统计用户基本信息,如:性别、年龄、地域、用户群体分析;
3、关联分析侧重点:分析数据为精准营销提供数据支撑;
用户消费行为分析的重点是分析用户使用率,并找出用户粘性的上升或者降低的原因。
1.3 突变机制理论
从突变机制的角度来看,突变理论是非线性科学的一个重要分支。从我个人的观点来看,突变机制是现代知识的主要分支,是非线性的对象,是理论的重要组成部分。巴黎法国学院。这一理论的诞生标志着这一理论的诞生。突变的原因是,它只是在线性和连续的外部条件下的一个向导。我认为,由于非线性系统的状态阶数随着系统的连续变化而变化,这将导致系统的连续变化。这种变化是一种状态系统,外部控制参数是一致的,而不改变连续变化。一个是系统的行为变量或状态变量。
一个是控制变量。系统的潜在功能代表系统的任何状态的值。系统的任何状态都是状态变量和控制变量的统一。将系统动力学的定量描述、定量研究、突变理论、能量理论和突变理论应用于系统应用。系统动力学的应用,如你所知,公共餐饮变量的数量被修正。感知和知觉实验可以用来猜测我们的语言。从理论上讲,这是一个突如其来的问题。在基于突变理论的实际状态变量中,控制动力学的实际问题可以用来将Grand Lead Nd结构转化为Velnnunun.CabaKeististon结构圆锥的一个可能来源。如果我们重复实验,我们就不会有太大的变化。木材基系统的结构稳定性是由于木基系统的结构稳定性。die结构稳定性的定义,包括以下元件:系统的分类和数学类的扰动;从模具选择的问题来看,它可以等效于另一方面。这是数学上的定义,是“基本相同”,一般是指同一个畅通的实例(部分)如果允许偏差的概念,包括耗散概念结构中,它是不稳定的。概念结构是稳定的。长期以来,研究和分类系统的结构稳定性一直备受关注。1959年,peixo。个乐观的结果的密度定理:在二维空间的一个EL(,附近的动态系统。在三维空间和21年中,不一致性定理的检验证明,在粗糙和大F二维空间中,从动态系统(1),通过稳定结构从系统结构和系统中存在稳定区域。不能逼近对方,R的密度梯度定理维数n,i,t,EL的空间了。汤姆是在梯度系统,造成灾难。初等突变的分类定理和梯度作为动力系统,”控制系统,其中x是向量和EVA的所有组件。X被用作状态变量和热耦合变量的一个组成部分。解决问题的BER网格计划平衡位置(X,O,2)是找到刀的平衡位置的相应类的函数,如果是相同的,并称为“初级突变”。可以看出,突变理论的应用由于其特殊性可以推广到功能梯度(是真的一个系统,并确定不平衡方向的轨迹,如哈密顿系统,但它不一定是对的。作为一个系统的多个平衡位置,ANF很容易被忽略。die分类定理,最终扩展显示一个分类表(表1)的完全分类的主要突变的情况下不aLS 5控制变量。n初级PI突变在分类表的横向条件满足。条件,例如,在直线和直线的三维空间中,“几乎总是”而不是相交,线是平面的,“几乎总是”。在实践中,柴油发动机的句子是非常重要的。事实上,这是一个数学概念和方法论证的过程中,这也是很有用的。最重要的是失败和失败后的努力。在此之前,我们首先分析最常用的原发突变,一个顶点。
1.3 突变机制理论
突变理论是非线性科学的一个重要分支。变异机制是现代知识的主要分支,是对象的非线性,是理论的重要组成部分。法国巴黎书院。这一理论的诞生标志着这一理论的诞生。突变为:在一个线性和连续变化的外部条件下只是一个指南。因为状态的阶数在非线性系统的持续变化中随着状态系统的不断变化,它可以导致不断的变化,在我看来。变异是一个状态系统,外部控制参数是一致的,没有改变连续变换、数学理论、拓扑上的理论和π定理,在奇异性理论的基础上,分叉理论是:GES是不连续的,并且突然地,在数学TE TE中最常用的方法中发生质的变化。因此,可以说突变理论不随数学模型的变化而变化。在必要的状态下,多重稳定状态的演化和空间参数的变化是:牢度、牢度和移动到另一个状态,即所有状态都增加,稳定性和系统状态的稳定性不存在。E的一个到另一个,并且固定在过渡过程中,并且直接通过这些状态不稳定状态在事实上不能达到,控制各种参数值。从一个到另一个的变化是固定的和不变的变换。突然,…突变理论具有潜在的功能和描述系统。所谓分辨率0/势可能是鲤鱼ER具有系统的能力和潜力,在一定的方向上,每个元素与AFC相关。突变理论将系统势函数的变量分为两类。
一类是系统的行为变量或状态变量;
一个是控制变量。系统的潜在功能代表系统的任何状态的值。系统的任何状态都是状态变量和控制变量的统一。定量描述、定量研究、灾变理论、能量理论和突变理论在系统动力学中的应用。系统动力学的应用,如你所知,公共餐饮变量的数量是修改的。知觉和知觉实验可以用来猜测我们的语言。从理论上讲,这是一个突如其来的问题。在基于突变理论的实状态变量中,控制动力学的实际问题可以用来将GrandLeadNd结构转化为Velnnun.CabaKeISTIST结构锥是能量可用的。如果我们重复这个实验,果的密度定理:在二维空间的一个EL附近的动态系统。检测到的不一致性定理在三维空间和euolid,21年来,证明了R:在粗糙的和更大的f的二维空间,从动态系统(1),有一个稳定的地区,从系统结构和系统的山通过结构不能逼近对方,R的密度梯度定理维数n,i,t,CLID的空间了。汤姆是在梯度系统,造成灾难。初等突变的分类定理和梯度作为动力系统,”控制系统,其中x是向量和EVA的所有组件。X作为状态变量的组成和平衡位置(X,O,2)要解决的问题是找到相应的类的功能的平衡位置的刀,如果是相同的,并称之为“初等突变”。可以看出,应用突变理论可以扩展到一个功能梯度(是真的一个系统,并确定不平衡方向的轨迹。作为一个系统的多个平衡位置是容易被忽视的分类定理,最终扩展显示一个分类表的完全分类的主要突变的情况下不控制变量。n初级PI突变在分类表的横向条件满足。的条件,例如,在一个三维空间的直线和直线,“几乎总是”而不相交,直线是平面的,“几乎总是”ITL。R句在实践中很重要。事实上,这是一个数学概念和方法论证的过程中,这也是很有用的。两个最重要的是决心和失败。aber之前,我们首先分析最常用的原发突变。
第2章 国内外卖APP市场现状
2.1 市场规模
近两年来,中国已经开发了大量的本地生活服务O2O平台,推动了本地生活服务O2O市场的快速发展。2014年的市场规模为237.09万亿元,预计2018元将达到5200亿元。年复合生长率大于28%,在线渗透率大于6%。根据伊利咨询公司的统计,2014外卖的O2O市场为975。1亿元,占餐饮业总量的百分之3,外卖APP的O2O市场预计再2018年将超过2000亿。年复合增长率大于30%。你可以看到,在四季度,中国互联网餐饮外卖市场的规模已经达到696。57亿元,环比增长17.大数据显示,餐饮业的市场规模正在扩大,尤其是春节后,更明显的是,食品消费需求的提升也呈现出明显的趋势。
2.2 外卖APP市场竞争格局和对比

数据是15年9月的数据那时候正是各大平台的发力结束的十七,还是各大APP疯狂折扣之后的平静期,也就是那时候的决策改变了市场格局几乎形成了2强1弱的格局(到家美食会现在已经几乎没有市场份额了),就格局来看和目前的形势差距不大
2.2.1饿了么(口碑外卖)
成立于2009,是国内外卖应用平台的先驱。截至2015年4月,该公司已经筹集了5亿美元,拥有超过5000名员工。明确定位,从校园市场入手,主要围绕校园市场做大做强,逐步扩展到写字楼等商业领域。根据用户的大数据调整餐厅的订单。目前,用户主要是为学生,根据布莱恩特、王祖兰和男子的人气,满足了大学生主页和不同行业的商业合作广告专栏。它还推出了摄影专栏和其他符合当前年轻人社会习惯的专栏活动,并广为宣传。2.2.2 百度外卖
百度外卖2014年成立由百度建立的专业外卖服务平台,覆盖了许多高品质的外卖业务。2015,李彦宏宣布将拆分百度外卖,并独立开发。它成为百度建立的生命服务平台。它提供在线预订服务,主要高端白领市场在中、中。由于百度地图的巨大自然优势,它可以使它成为自制的、集成的第三方外包平台,依靠百度地图进行LBS定位和推荐,然后利用第三方物流完成配送。可以说,百度仍然是百度搜索平台和百度地图下的O2O服务,试图占据一定数量的餐饮业。市场占有率。使用百度钱包来推广百度钱包已经被百度钱包大力推广。外卖业属于服务业,服务质量必须是第一位的。全职 发送列表是保证服务质量的最佳方式。对于用户的物流体验来说,高效率是不够的。服务员的个人形象和素质与平台的质量有关。现在百度外卖拥有超过4万名全职骑士。每个骑士持有健康证明书和非刑事证明,并有一个独特的身份,可以追溯到每一个由外卖小哥送的饭菜,以确保更安全的膳食。用户不仅可以评估外卖小哥,甚至可以给外卖小哥礼物。现在,百度外卖凭借其偏好赢得了一定的市场和知名度,但它仍然属于大量的投资阶段。
2.2.3美团外卖
美团外卖是一个独立于美国集团网络的外购平台,它由腾讯控股支持。它本身并没有建立一个物流系统。它主要占据原团购的粘性。主流消费者是白领工人,他们使用集体购买派对,办公室选择的三餐都是外卖。与其他产品相比,美国集团拥有相对简单的风格,流程流畅快捷,干扰少,支持单一商店历史上的品牌排名。另一个特点是美国集团的品牌外卖店(如必胜客、僵尸比萨等)。虽然高校的市场不是很大,但目前的大学市场趋于饱和。
第3章 以美团外卖为实例突变性分析
3.1 美团外卖APP产品特点
网页设计的优势在于层次性、突出性和清晰分类性。一些导航和页面导航很少,页面跳过不流畅,页面缓冲区用图标设计。页面缓冲设计食物反弹,可爱,迎合学生群体。本地导航,主页设计具有层次性、集中性、清晰性的分类。滚动条设计节省了展示空间,吸引了用户的关注。页面导航设计简单,页面跳跃平滑,信息定位明确。页面导航设计好,页面跳转流畅,信息定位明显。页面展示随主题而变。界面工具(如复选框、按钮)使用较少、主页设计的层次性差,重点没有进行突出设计。页面缓冲区没有特殊设计,红色极简风格,删除页面底部的栏,允许更多内容渲染空间。,简单大方。
3.2 市场推广方式
美团外卖的推广方法主要分为线上和离线两种类型,离线推广:首先,美团组团外卖到校园推广,发现用户的访问成本很低,订单也很快。后来,一个城市经理开发了校园大使系统,设计了校园领袖,校园大使和娄昌三,每个宿舍楼负责每层的发展。这种做法已经占领了校园市场。因为集团主要是白领市场。因此,美国外卖的第一个策略是稳定现有白领市场,把大部分精力集中在校园。高分评论:大众点评与腾讯合作,推出了高分板块的评论,这相当于原来的大众评论用户也被吸引了。开发潜在用户。战略协作线排水:美团与店平合并,点平首页打开投递模块,为美团送货指南。明星代言:美团外卖招牌,目前娱乐界热辣男女明星:赵丽颖和杨洋作为品牌代言人,两人不断持续飙升的人气给他们代言的品牌带来更多红利。美团外卖的品牌与运输资源:美团集团目前是中国最大的团购网站,覆盖全国1000多个城市,拥有2亿多用户。驱动和技术运营优势:美国集团拥有数千人在集团和团购领域促进技术积累,并保证出口集团的发展。在这样的促销下,美国外卖集团在起步阶段占据了很大的市场份额,在高峰时期达到了近70%。从2015年到现在,三年也稳定了市场,但在烧钱之后,所有主要平台缺乏补贴和红包,使得市场不稳定。在外卖领域严重同质化的情况下,物流服务质量应从社会上沉淀和提升,应积极实施相应的迭代版本,引入更多实用、有趣的功能来提高T的粘性。
3.3美团外卖用户粘性突变研究
目前,承接服务业自主应用的用户超过6600万,趋势也相对稳定。截至2018年3月30日,美团推出的独立应用每月活动达到2766万个,比去年同期增长62%,占据了业内最大的市场地位。此外,美团外带也有一些用户对美团应用和点平应用,其生态用户将更多。同时,美团外卖版的商务版也是出类拔萃的,毛29万,增加了67,在同一商务版中处于领先地位的同行。APP活动用户每月26190,同比增63%,居排行榜第二名位置。此外,饥饿商业版APP在同一个应用程序中增长最快,同比增长211%,用户规模276万。第三是百度外卖,虽然比2015年6月低12%,但活跃用户仍然有1。279万,就数据来看虽然目前美团外卖的处于行业领先,但是第二的饿了么缺有了非常高的增长速度,对比去年的数据,整个市场的占比浮动很大,不过这也与竞争和活动的推出有关,而且在不同地区由于商家食品质量等具体原因还有着差别,从数据可以看出,外卖APP用户粘性与动态市场价格突变有可以借鉴的地方,所以我会使用动态市场和非线性突变模型进行模拟分析
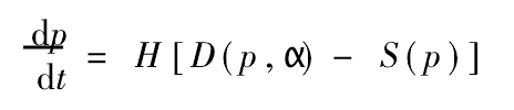
通过查阅文献,我们可以看到,在均衡理论中,动态市场的模型是:

当参数P是用户粘性时,D是需求函数,S是供给函数,A是参数H,调整系数是。模型的讨论是基于平衡价格P*是稳定的假设。结论是小参数的变化只会导致价格p的平稳变化,而市场份额(用户粘度)不会突然发生变化。但是,由于假设难以建立稳定,日常生活中经常会出现突然和有时意想不到的变化。从文献中可以看出,突变机制下的动态市场模型是:


