基于人工神经网络的天然气需求量预测模型毕业论文
2020-02-22 20:36:18
摘 要
天然气作为一种清洁环保的一次能源,其使用量的精准预测不仅对于燃气公司的调度能起到很大的帮助,还对于社会能源的发展有重大意义。本文通过调查分析了天然气使用量的相关特点,收集了天气数据、日期数据、温度数据和天然气使用量数据,采用BP神经网络模型来对武汉市居民天然气的使用量进行预测。为了提高模型的精度,采用了马尔科夫链模型来对原有模型进行修正,利用其不受外界因素和历史因素干扰的优点来弥补BP神经网络的局部最优等缺点。通过训练和学习得出的组合模型有强大的自我学习能力和非线性映射能力,在模型训练中,不断调整权值和阈值,使得误差达到最小,验证了修正之后的模型较之前单一的BP神经网络模型有更高的精度,最后得出了较为准确的天然气使用量预测模型,为燃气公司提供了可靠的调度依据。
关键词:天然气使用量、人工神经网络、马尔科夫链、预测模型
Abstract
Natural gas as a clean primary energy, the use of accurate prediction is not only can have a lot of help for the scheduling of gas company, but also has significant meaning for the development of social energy. In this paper, through investigating and analyzing the relevant characteristics of gas usage, collected the weather data, date data, temperature data and gas usage data, using BP neural network model to predict the use of natural gas in wuhan residents. In order to improve the precision of the model, using the markov chain model to modify the original model, using its low-interference by external factors and historical factors of advantage to make up for the most superior local defects of BP neural network. Through training and study,it is concluded that the combination of model has a strong self-learning ability and nonlinear mapping ability. During the model training, the cumulative value and threshold value, to achieve minimum error and correction model is verified by a single BP neural network model has higher accuracy, finally obtained the more accurate gas prediction model, to provide reliable scheduling for gas company.
Keywords: Natural gas consumption, artificial neural network, markov chain, prediction model
目录
摘要 Ⅰ
Abstract Ⅱ
第1章 绪论 1
1.1 研究背景及意义 1
1.1.1 研究背景 1
1.1.2 研究意义 2
1.2国内外研究综述 3
1.2.1 国外研究动态 3
1.2.2 国内研究动态 4
1.3研究内容及技术方案 4
第2章 天然气使用量预测方法分析 6
2.1 天然气使用量的特点 6
2.2 天然气使用量预测的分类 6
2.3 常用的预测方法 7
2.4 本文拟采用的天然气使用量预测方法 9
2.4.1 状态区间的划分 9
2.4.2 状态转移概率矩阵的构造 9
2.4.3 预测值的确定 10
第3章 天然气使用量预测模型构建 11
3.1 天然气使用量预测的步骤 11
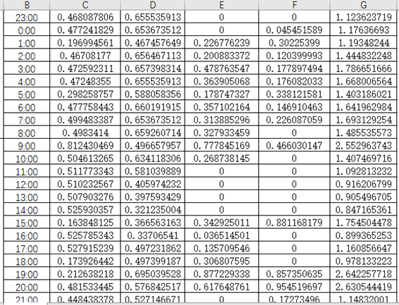
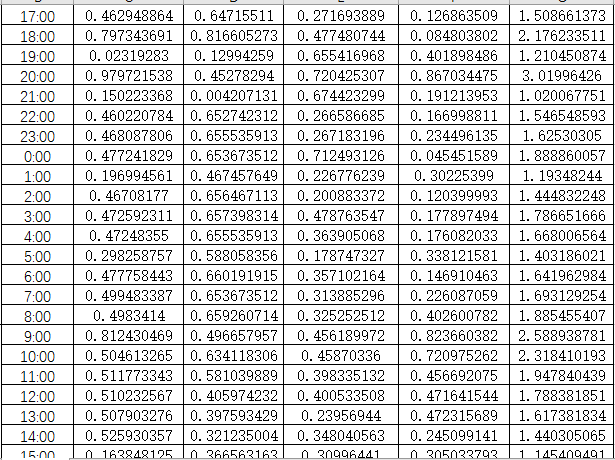
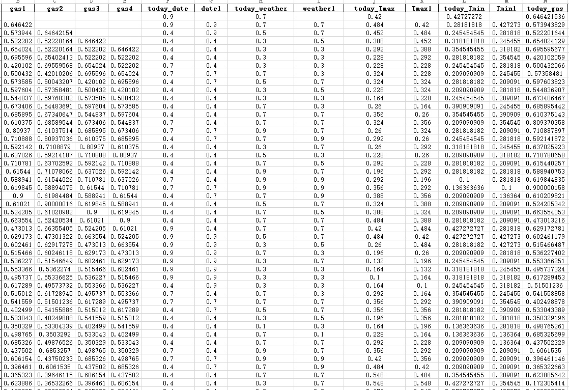
3.2 数据预处理 12
3.2.1 天气数据归一化 12
3.2.2 日期数据归一化 12
3.2.3 温度数据归一化 13
3.2.4 天然气使用数据归一化 13
3.3 神经网络结构及参数的确定 15
3.3.1 BP神经网络模型 15
3.3.2 输入输出量的确定 16
3.3.3 隐含层的确定 17
3.3.4 网络训练参数的确定 18
3.4 实例训练与预测 19
3.5 马尔科夫链修正模型 20
3.5.1 状态区间的划分 20
3.5.2 状态转移概率矩阵的确定 20
3.5.3 结果分析 21
第4章 结论与展望 22
4.1 总结 22
4.2展望 22
参考文献 24
致谢 25
第1章 绪论
研究背景及意义
研究背景
天然气作为一种优质能源,比液化的石油气容易扩散,较其他燃气具有更好的安全性。天然气燃烧之后没有废渣、废水产生,相较煤炭、石油等能源更环保清洁。天然气是十分理想的城市气源,在全球范围内应用广泛,其在一次能源中的占比逐步增加,全球天然气需求量也快速上升。目前,天然气已经成为了我国城市燃气的主要气源。
据相关统计数据显示,近十年来,全球天然气消费量和产量整体上呈现同步增长的趋势。其中,天然气的消费量由2005年的2,774.3十亿立方米增长至2015年的3,468.6十亿立方米,其年平均复合增长率为2.26%,天然气产量由2005年的 2,790.9 十亿立方米上升到 2015 年的 3,538.6 十亿立方米,年平均复合增长率为 2.40%。随着全球经济的发展和天然气在一次能源结构中占比的提升,天然气消费量和产量仍将持续增长。
图1.1 2015年世界前六大天然气生产国产量消费量数据统计
美国和俄罗斯是全球最大的两个天然气生产和消费国[1]。2015年美国天然气的产量为767.3 十亿立方米,占全球总产量的22.0%,消费量为778十亿立方米,占比为22.8%。俄罗斯天然气的产量为 573.3 十亿立方米,占全球总产量的16.1%,消费量达391.5十亿立方米,占比为11.2%。中国是排在美国,俄罗斯,加拿大,伊朗和卡塔尔五国之后,成为全球第六大天然气生产国,天然气的全年总产量达到138十亿立方米,占比为3.9%;消费量则排在美国和俄罗斯之后,成为全球第三大天然气消费国,天然气的全年消费量达到197.3十亿立方米,占比为5.7%。
图1.2 2005-2015年中国天然气产量消费量统计
近十年来,我国天然气的消费量不断增加,由2005年的48.2十亿立方米上涨到2015年的197.3十亿立方米,年复合增长率为15.14%。天然气消费量的增加,推动了其产量的上升。我国天然气的产量由2005年的51十亿立方米上升到2015年的138十亿立方米,年复合增长率达 10.47%。由图1.2可以看出,从2007年开始,我国天然气的消费速度逐渐超越了生产速度,并且产销差呈现出逐年增大的趋势。
天然气需求量的快速增加,我国天然气的产量已无法满足需求。天然气的需求十分不稳定,不同时期的需求量差别很大,尤其是冬季与夏季的需求[2]。地域习性差异也致使天然气在不同地区的需求也难以统一。为了使相关部门和燃气公司能够提前对天然气进行调度规划,保证天然气的供需平衡,目前要做的就是开源节流,一方面需要提高本国天然气的产量,并逐渐提高我国对天然气的进口量,另一方面要提升各个城市企业和居民的天然气利用率。
研究意义
在开源方面,我国幅员辽阔,人口众多,在产销差逐年扩大的情况下,依靠从他国进口天然气来平衡供需,并不是最佳且长久的解决方案,而我国本土天然气的生产能力也十分有限,短期内也无法快速增加产量。所以,如何提升各个城市天然气的利用率,保证天然气的供需平衡并规避风险是现在亟待解决的问题。其中关键的步骤就在于对天然气使用量的预测。
(1)准确地预测天然气使用量,可以有效地节省燃气企业的成本,提升企业效益。如果企业采购的天然气量不足,就无法满足居民和工业企业的需求量,但采购的天然气量过多,用来管理和储存剩余气量的人工和设备成本将会增加。准确的使用量预测可向燃气企业提供准确的购气计划,从而最大限度的降低成本,在保证用户用气量的同时,提升企业的经济效益。
(2)各个城市、各个区域都做到对天然气使用量的精准预测,为天然气管道建造和维护工程提供有力的数据基础,有利于全国天然气管网的优化调度,以保证管网的供气量[3]。
(3)随着天然气使用量的逐年增加,调度和监管数据的大量和繁杂促使天然气管网系统走向智能化,准确地预测用气量就是其中的关键。
(4)合理地预测天然气使用量,并在生活中广泛应用,能够提高天然气的利用率,对创建资源节约和环境友好两型社会,以及提升国民经济都有重大意义。
1.2国内外研究综述
1.2.1 国外研究动态
天然气的产量在世界范围内是不平衡的,主要集中在中东国家和欧美国家,天然气的使用量也更加普遍。因为天然气相交其他燃料更为清洁环保这一优点,国外的天然气市场发展迅速,许多学者也将关注点集中在了对于天然气使用量的预测方面,同时也取得非常可观的成绩。
学者Yusuf Karadede,Gultekin Ozdemir和Erdal Aydemir在《Energy》发表的一篇文章中,利用非线性回归的种群混合算法以较小的误差率预测土耳其的天然气需求,因变量为1985-2000年间的天然气消费量,自变量为GNP(国民生产总值)、人口及其增长率[4]。学者Ayse Özmen,Yavuz Yılmaz和Gerhard-Wilhelm Weber在《Energy Economics》发表的一篇文章中,利用MARS(多变量自适应回归样条曲线)和CMARS(圆锥曲线多变量自适应回归样条曲线)两种预测模型分别对安卡拉最不发达国家巴斯肯加兹的责任区的居民天然气日使用量进行预测,并将结果与神经网络方法和线性回归方法进行比较,最终得出MARS与CMARS是优于后两种方法的[5]。学者Shaikh, Faheemullah为了进一步提高预测模型的预测精度,已经实施了Levenberg-Marquardt算法(LMA)来估计Logistic模型的参数。预测结果显示,中国的天然气需求量在中期将达到330-370亿立方米,长期将达到500-5900亿立方米。研究的结果将有助于能源规划者和决策者剔除相关的天然气供需方管理政策[6]。
国外尤其是欧美的一些发达国家,其对于数据预测的理论与技术发展十分先进与成熟,有实力的大公司已经将预测技术和相关模型用于商用了,根据用户的情况来制定出预测系统,在天然气使用量预测方面也应用十分广泛。
1.2.2 国内研究动态
相比而言,国内在对天然气使用量预测方面的研究起步较晚,理论和技术也相对落后,但还是有很多学者及研究人员在天然气使用量预测方面取得很好的研究成果。中国石油大学教授张涛和杨娇敏在其发表的文章《我国区域天然气消费量的趋势预测》中,利用灰色新陈代谢模型GM预测了全国及各省份的天然气消费量,实验结果准确明显,为我国各省市天然气消费量的预测提供了准确的预测模型[7]。西南石油大学石油工程学院教授王效东和黄坤在其发表的文章《天然气消费量的神经网络方法预测》中,利用BP神经网络算法构建了天然气预测模型,比传统方法更为简单和准确,效果理想[8]。宁夏大学硕士生张以帅也同样用BP神经网络算法对银川贺兰县的天然气使用数据进行建模预测,得出结果也十分满意。湖南水利水电职业技术学院电力工程系教授朱雪雄用人工神经网络的方法对短期居民用电负荷进行预测研究,发现将人工神经网络应用于负荷预测方面,十分具有可信度与精准度[9]。
阅读学习大量研究文献后发现,随着天然气在人们日常生活中的普及,天然气使用量的逐年增加,我国对于天然气量预测方面的研究也在扩大和深入,理论与技术也在走向成熟。为了能给改善国民生活和提升国家经济发展最初贡献,国内学者依旧在不懈的研究尝试。
1.3研究内容及技术方案
本文研究的基本内容是以武汉市天然气使用量预测为研究对象,分析影响天然气使用量的因素,选择BP神经网络模型,基于该模型构建武汉市天然气需求预测模型,并通过实际数据对预测模型进行训练与检验,并通过马尔科夫链模型来进行修正,提高预测的精度,最终得到可靠的组合预测模型。为武汉市各个燃气企业提供天然气的采购决策依据,提高企业经济效益的同时,保证天然气的供需平衡,提高武汉市天然气的利用率。
研究所采取技术方案为,首先对天然气供需不平衡的问题进行背景分析,找到问题存在的原因,分析发现其中的关键在于对天然气使用量的预测。通过阅读文献了解常用的预测方法,并对比不同方法的优缺点以及使用场景,以此来确定预测方法。为了保证预测的精确度,本次研究决定使用建立模型来进行天然气使用量的预测。分析出影响天然气使用量的因素后,收集相关的数据,并进行数据处理。根据模型的算法创立模型,利用处理之后的数据进行训练学习,对比预测结果,然后用一定的方法对模型进行优化,最终得出可靠的预测模型。根据模型来进行天然气预测,从而来实现企业的燃气调度,解决城市天然气供应量的问题,具体技术方案图如图1.3:

图1.3 技术方案图
第2章 天然气使用量预测方法分析
2.1 天然气使用量的特点
城市天然气使用量波动性较大,不同时期以及不同地区,对于天然气的需求都是差异化十分大的。尤其是居民天然气的使用量,受到天气情况、温度情况、用户作息、特殊节假日以及政策等因素的影响,具有以下特点:(1)分散性,受季节因素的影响,夏季与冬季的用气量相差较大,冬季的使用量会大于夏季的使用量;(2)非线性,短期内的数据波动不稳定,长期的数据又趋于一定的规律性,数据的变化十分不稳定,不具有线性的规律可循;(3)时序性,天然气的使用量与时间联系紧密,是一个建立在时间序列上的数据集;(4)周期性,以小时、日、月等为不同的周期,影响因素就会不同,设立不同的周期,计算的方法,输入的特征值不同,最终的变化规律也有所差异。由于天然气使用量的这些特性,用传统的人工的方法和算法公式来进行预测,无法将所有影响因素考虑全面,也无法对影响因素的影响权重进行准确判定,最终预测的结果必然会产生较大的偏差,所以需要更加合适和准确的方法或模型[10]。
2.2 天然气使用量预测的分类
天然气使用量的预测是一项十分庞大,又较为负责的研究工作,为了能更方便和有效地对天然气使用量预测进行研究,本文将对预测进行分类。根据预测目标和预测周期的不同,可将天然气的使用量预测分为四大类[11]:
(1)超短期预测:预测周期为分钟,一般为5-30分钟,预测一天内各时段使用量的变化,用于制定当天每个时段的调度计划;(2)短期预测,预测周期为时、日或周,考虑的影响因素有气象因素和日期类型,所用到的数据为一年之内的数据,能预测大型节假日的天然气使用量,使用量呈现出明显的周期性变化,能够运用于制定日或周使用量的调度计划,以及安排每日的检修,常用的方法有时间序列预测和神经网络预测;(3)中期预测,预测周期为月,考虑的影响因素有气象因素、城市人口数和大用户生产计划,所用的数据为五年内的用量数据,使用量在一年12个月中具有相似的变化规律,能够运用于指定月使用量的调度计划;(4)长期预测,预测周期为年,考虑的影响因素有GDP、人口数量、燃气行业的结构调整以及国家政策的变化,主要是对年度统计数据进行预测,这时的使用量就呈现出十分明显的规律性,为没有周期的单调递增变化,应用于规划部门对用量进行宏观规划。
上述对于天然气使用量预测的分类标准并不是绝对的,由于周期和影响因素之间会有交叉联系,分类标准也会有所重合,尤其是中期预测和长期预测的分界线其实并不明显,所以又可称作中长期预测。表2.1别从五个方面对不同预测周期类别进行对比。
表2.1 不同预测周期对比表

2.3 常用的预测方法
目前常用的预测方法和模型有:
(1)回归分析法:回归分析是寻找几个不完全确定的变量间的数学关系式之间进行统计推断的一种方法,分为线性回归和非线性回归。此方法是从研究对象与相关影响因素的关系入手,利用回归分析,建立回归模型进行数据预测。由于天然气使用量与其影响因素之间不是简单的线性关系,对于这种非线性的、动态的关系回归预测法无法处理;而非线性回归预测法只是通过将非线性关系转化为线性关系,是的运算更为复杂,因此并不是理想的预测方法。
(2)时间序列分析法:是采用参数模型对观测到的有序随机数据进行分析处理的一种方法,包括移动平均法、指数平滑法、季节变动法、马尔科夫法、博克斯赞金斯法等。时间序列预测法的基本思路为:首先分析时间序列变化特征,再选择适当的模型形式和参数来建立预测模型,最后利用模型进行预测,并对模型预测值进行评估和优化,来得到最佳的预测结果。但该模型仅考虑了时间影响因素,对于其他重要的影响因素完全没有考虑,所以存在着预测不准确的问题。
(3)灰色模型预测法:按照灰色系统理论来建立预测模型,是一种不严格的系统方法,它根据系统的普遍发展规律,建立一般性的灰色微分方程,再通过对数据序列的拟合,求出微分方程的系数,最后获得灰色预测模型方程。这种方法可以根据原始数据的不同特点,建立出不同的预测模型,其预测范围很广,能够同时适用于长期和短期的负荷预测,因为所需要的数据量不大,可以有效地解决在数据量缺乏的问题。
(4)专家系统:利用基于知识的程序设计方法,应用人工智能技术和计算机技术,建立的计算机软件系统。根据某领域一个或多个专家提供的知识和经验,进行推理和判断,模拟人类专家的决策过程。主要是利用专家的丰富经验和专家的权威性进行预测。
以上是毕业论文大纲或资料介绍,该课题完整毕业论文、开题报告、任务书、程序设计、图纸设计等资料请添加微信获取,微信号:bysjorg。
相关图片展示:









