BCN二维材料用于气体传感器的机理研究毕业论文
2020-04-25 19:44:43
摘 要
石墨烯的零带隙电子结构限制了它在气体传感方面的应用,如何打开它的带隙就成为了人们研究的热点。自单层BCN片被制备出来时,BCN二维材料就因其独特的物理化学性能受到人们广泛的研究。BCN二维材料由于其优良的半导体性能,较高的表面活性和比表面积在气体传感器应用方面有着广阔的前景。
本文采用密度泛函理论计算,研究了CO,CO2,H2S,NH3,SO2五种气体分子吸附在单层BCN上的吸附能,电荷转移情况以及电子结构的变化。研究结果表明,单层BCN对NH3和SO2气体分子较为敏感,其吸附体系也较稳定;NH3和H2S表现为给电子体,而CO,CO2,SO2表现为得电子体;当单层BCN吸附气体分子后,会在能带结构中引入杂质带,且CO,CO2,H2S和NH3吸附后大致都不会改变单层BCN的电子结构,SO2的吸附会使费米能级下移靠近价带顶部。研究表明,BCN材料对于这五种气体吸附有不同的响应,在气体传感方面具有一定的潜力。
关键词:BCN二维材料 气体分子吸附 第一性原理 电子结构
Mechanism study of BCN two-dimensional materials applied for gas sensors
Abstract
Graphene's zero-bandgap electronic structure limits its applications in gas sensing, so how to open the band gap has become a hot topic. Since the preparation of monolayer BCN sheet, BCN two-dimensional material has been widely studied for its unique physical and chemical properties. Due to its excellent semiconductor properties, high surface activity and specific surface area, BCN two-dimensional material has a broad prospect in the application of gas sensors.
In this paper, the density functional theory is used to study the adsorption energy, charge transfer and change of electronic structure of monolayer BCN adsorbing five kinds of gas molecules, which includes CO, CO2, H2S, NH3 and SO2. The results show that the monolayer BCN is sensitive to NH3 and SO2, and their adsorption systems are stable relatively. NH3 and H2S are electron donors, while CO, CO2 and SO2 are electron acceptors. When the monolayer BCN adsorbs gas molecules, there will be impurity bands in the energy band structure, and when CO, CO2, H2S, NH3 are adsorbed, the electronic structure of the monolayer BCN will approximately not change, while the adsorption of SO2 will make the Fermi level move down near the top of the valence band. Studies have indicated that BCN materials show different responses to these five kinds of gases and have a certain potential in gas sensing.
Key words: BCN two-dimensional material; gas molecular adsorption; First principles; electronic structure
目 录
摘 要.....................................................................................................................I
Abstract ....................................................................................................................II
第一章 绪论 1
1.1 研究背景 1
1.2 研究现状 3
1.2.1 单层石墨烯有关气体吸附的研究进展 3
1.2.2 二维过渡金属硫化物有关气体吸附的研究进展 5
1.2.3 BCN二维材料的研究进展 6
1.3 研究内容和目的 6
1.3.1 主要研究内容 6
1.3.2 研究目的和意义 7
第二章 理论基础与计算方法 8
2.1 多粒子体系 8
2.1.1 Born-Oppenheimer 近似 8
2.1.2 Hartree 近似 8
2.2 密度泛函理论 9
2.2.1 HK定理 9
2.2.2 Kohn-Sham方程 9
2.3 MS软件 9
2.4 VASP软件 10
第三章 本征BCN的电子结构 11
3.1 模型与计算方法 11
3.2 结果与讨论 12
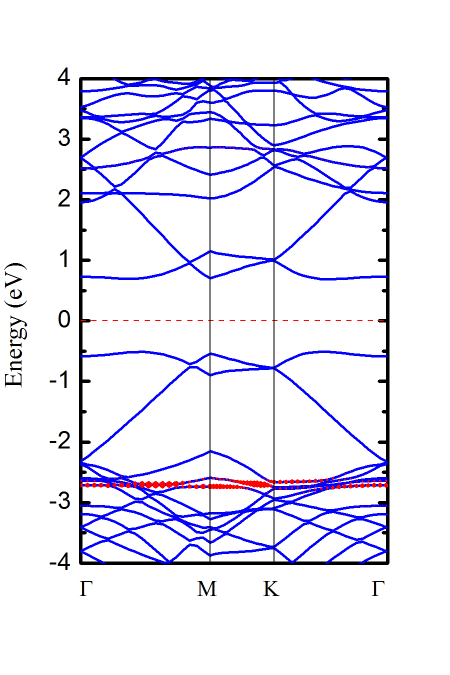
3.2.1 本征BCN的能带结构 12
3.2.2 本征BCN的态密度 12
3.3 小结 13
第四章 气体分子在BCN上的吸附性能研究 14
4.1 模型与计算方法 14
4.2 结果与讨论 15
4.2.1 气体吸附在BCN上的吸附构型和吸附能 15
4.2.2 气体吸附在BCN上的电荷转移机理研究 17
4.2.3 气体吸附对BCN电子结构的影响 19
4.3 小结 21
第五章 结论与展望 23
5.1 结论 23
5.2 展望 23
参考文献 24
致谢 27
绪论
本章主要介绍了本课题的研究背景,有关BCN二维材料和气体传感器的研究现状以及本课题具体的研究内容。
1.1 研究背景
随着科学技术日异月新的发展,人们对传统材料的开发已经近似达到饱和,因此传统材料失去了它原来的优势,这就促使人们去研究发现符合应用要求的新型材料。二维材料由于其奇特的结构成为了目前层厚尺寸最小的材料之一,二维层状材料在平面层内的化学键是以共价键相连接,结合牢固且稳定,而在垂直于平面层的方向上则是由范氏键相连接,其键强较共价键弱很多,因此结合不稳定,容易发生层间解离。该类材料独特的原子结构赋予其独特的物理化学特性,在电子、光伏、医药及复合材料等方面引起高度关注,同时在气体传感应用方面也显示出巨大潜力[1]。
石墨烯是第一个发现的二维原子晶体[2],由于其具有高表面积比、高载流子迁移率、高化学稳定性、高热稳定性和快速响应时间等优异性能而备受关注[3]。石墨烯是一种由C原子相互结合形成单原子层的蜂窝状结构的平面材料如图1.1所示,C-C之间形成sp2分子轨道杂化,平面层竖直方向之间的π键构成了。由于原胞中两个子格的等价性,石墨烯的能带在布里渊区的K点附近呈现线性色散关系并交汇于K点形成零带隙,总体呈现狄拉克锥形状,由于能带中线性色散关系的存在,石墨烯中出现了理论中预测的零质量的狄拉克费米子,因而它的电子迁移率可以达到10000 cm2/V·s[4]。然而石墨烯的零带隙特性限制了其在电子或传感器件方面的应用[5],这使得人们把目光转向与石墨烯结构相似的其他二维材料。
相关图片展示:







您可能感兴趣的文章
- 改善锂离子电池中硅基负极存储性能的策略研究外文翻译资料
- 通过添加压电材料BaTiO3提高大功率锂离子电池的微米级SiO @ C/CNTs负极的电化学性能外文翻译资料
- Pd和GDC共浸渍的LSCM阴极在固体氧化物电解池高温电解CO2中的应用外文翻译资料
- 利用同步回旋加速器粉末衍射的方法来研究在有其他物相的情况下C4AF的水化作用外文翻译资料
- 外国循环流化床锅炉发展现状外文翻译资料
- 含石蜡基复合材料的多壁碳纳米管的热性能外文翻译资料
- 矸石电厂炉渣机制砂的应用研究外文翻译资料
- 机动车螺旋弹簧的失效分析外文翻译资料
- 从废阴极射线管和锗尾矿制备高强度玻璃泡沫陶瓷外文翻译资料
- 作为导热液体的液态金属在太阳能储热中的应用外文翻译资料


