吸附对BCN二维材料结构和性质的影响毕业论文
2020-04-25 19:44:23
摘 要
近年来,二维硼碳氮材料(BCN)因为有着优异的半导体性能,在众多领域有良好的应用前景。研究表明,表面吸附可以有效的调控二维材料的电磁学性能。在文章中我们使用了基于密度泛函理论(DFT)的第一性原理方法,模拟了本征BC6N的结构及电学性能,并在此基础上,研究了Co、Fe 原子吸附在C1、N、H、B、C2这5个不同位置时的结构稳定性、电子结构以及磁学性质。计算结果表明:
(1)当Co原子吸附在N位置上时结构不稳定,而吸附在C1、H、B、C2这4个位置时可稳定存在,其中在C1位置上时最稳定。Co吸附在BC6N的C1、H和C2位置时表现为直接带隙的半导体,而Co吸附在B位置时表现为间接带隙的半导体。此外Co原子的吸附使整个吸附体系发生了自旋极化,产生了磁性,磁矩主要由Co原子贡献。
(2)当Fe原子吸附时,与Co原子吸附类似,在N位置上吸附时体系不稳定,而吸附在C1、H、B、C2这4个位置时可稳定存在,其中在C1位置上吸附时体系最稳定。Fe吸附在BC6N的H位置时表现为间接带隙半导体,而Fe吸附在C1、B和C2位置时,体系呈现金属性。此外Fe原子的吸附使整个吸附体发生了自旋极化,产生了磁性,磁矩主要由Fe原子贡献。
本文着重研究了BC6N表面吸附后的电磁学性质,为其未来在纳米器件方面的应用提供了一些理论指导。
关键词: BCN 吸附 电子结构 磁性
Effect of Adsorption on the Structure and Properties of BCN Two-Dimensional Materials
Abstract
In recent years, two-dimensional boron-carbon-nitrogen (BCN) materials have good application prospects in electrical, optical and thermal fields because of their special semiconductor properties. In this paper, we make the simulation of the magnetic structure and electrical properties of intrinsic BC6N by using the first-principles method based on density functional theory (DFT). Then, on the basis of intrinsic BC6N, the structure, stability, electronic structure and magnetic properties of Co and Fe atoms adsorbed at different positions of C1, N, H, B and C2 are studied. The results show that:
(1) When Co atom is adsorbed at N position, the structure is unstable, but when it is adsorbed at C1, H, B and C2, the adsorption system can exist stably, and the adsorption system is the most stable at C1 position. When Co is adsorbed at C1, H and C2 positions of BC6N, the adsorptive system behaves as a semiconductor with direct band gap, while when Co is adsorbed at B position, the system is a semiconductor with indirect band gap. In addition, the spin polarization of the whole adsorption system is caused by the adsorption of Co atoms, and the magnetic moment is mainly contributed by Co atoms.
(2) When Fe atom is adsorbed, it is similar to Co atom. When Fe atom is adsorbed at N position, the system is unstable. When Fe atom is adsorbed at C1, H, B and C2, the system can exist stably, and the system is most stable when it is adsorbed at C1 position. When Fe is adsorbed at H position of BC6N, the system exhibits indirect band gap semiconductor, while when Fe is adsorbed at C1, B and C2 positions, the system exhibits metallicity. In addition, the spin polarization of the whole adsorbent is caused by the adsorption of Fe atom, and the magnetic moment is mainly contributed by the Fe atom.
In this paper, the electromagnetic properties of BC6N adsorbed on the surface are studied, which provides some theoretical guidance for its future applications in nanodevices.
Key words: BCN; adsorption; electronic structure; magnetism
目录
摘 要 ................................................................. I
Abstract ............................................................... II
第一章 绪论 ........................................................... 1
1.1 引言 ............................................................... 1
1.2 BCN的结构和特性 .................................................. 1
1.3 BCN二维材料的研究现状 ........................................... 2
1.4 本课题研究的目的、意义和内容 .................................... 2
1.4.1 研究的目的和意义 ............................................... 2
1.4.2 主要研究内容 ................................................... 2
第二章 理论基础与计算方法 ......................... ............... 4
2.1 多粒子系统 ........................................................ 4
2.1.1 Born-Oppenheimer 近似 ............................. ............. 4
2.1.2 Hartree近似 ...................................................... 5
2.2 密度泛函理论 ................. ..................................... 5
2.2.1 HK定理 ...................................................... 5
2.2.2 Kohn-Sham方程 .................................................. 5
2.2.3 局域密度近似 .................................................... 6
2.2.4 广义梯度近似 .................................................... 6
2.3 VASP软件 ......................................................... 6
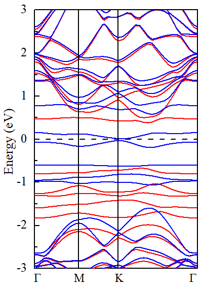
第三章Co原子吸附对BC6N电磁学性质的影响 .................... 7
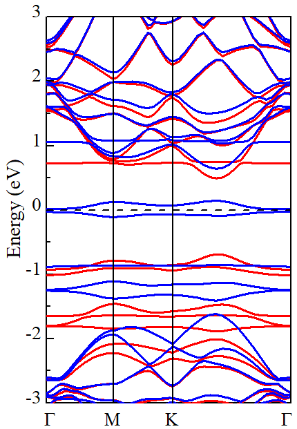
3.1 本征BC6N模型和计算方法 ....................... .................. 7
3.2 本征BC6N的电学特性 .............................................. 7
3.3 Co原子吸附体系模型和计算方法 ................................... 8
3.4 结果与讨论 ........................................................ 9
3.4.1 Co原子吸附在BC6N上的稳定性研究 ............................. 9
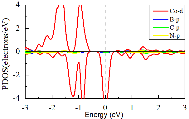
3.4.2 Co原子吸附对BC6N电子结构的影响 ............................. 10
3.4.3 Co原子吸附对BC6N磁性的影响 .................................. 12
3.5 小结 ...................................................... ........ 13
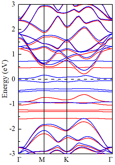
第四章Fe原子吸附对BC6N电磁学性质的影响..................... 15
4.1 模型和计算方法 ........................................... ......... 15
4.2 结果与讨论 ............................................... ........ 16
4.2.1 Fe原子吸附在BC6N的稳定性研究 ......................... ...... 16
4.2.2 Fe原子吸附对BC6N电子结构的影响 ............................... 16
4.2.3 Fe原子吸附对BC6N磁性的影响 .................................... 18
4.3 小结 ........................................................ ...... 19
第五章 总结与展望 .................................................. 20
5.1 总结 ........................................................ ...... 20
5.2 展望 ......................................................... ..... 20
参考文献 .......................................................... ..... 22
致 谢 ............................................................ ..... 24
绪论
引言
随着时代的进步,传统材料由于性能上的落后,逐步失去优势,此时急需新型材料的来弥补传统材料的种种缺陷。石墨烯具有电学性能好、机械强度高等特殊性能,是一种极具吸引力的材料。它在电子、传感器、能源器件和催化等领域具有潜在的应用前景,可作为电极广泛应用于超级电容器氧还原反应(ORR)、电化学传感器和生物传感器等电化学应用领域。即使石墨烯有着种种优良特性,“零带隙”引发的副作用可能使石墨烯已有的优良性能受到限制。近年来,无机石墨烯类似物,六方氮化硼(h-BN)的研究成为了人们研究的热点话题。h-BN具有与石墨烯相似的原子结构,具有良好的热学和电学性能,可作为散热材料和高温绝缘材料。然而h-BN表现为宽带隙的半导体,限制了其在电子器件方面的应用。由石墨烯和h-BN组成的BCN二维材料,具有结合两种不同属性材料的新性质,在电子、储能、传感和催化等领域具有广阔的应用前景[1-9]。
已有的相关研究表明,原子吸附是调制二维材料电磁学性能的有效方法,本文我们主要在BCN二维材料的表面吸附Co、Fe原子,从而对其进行功能化修饰,改变BCN二维材料的结构,提高其性能。
BCN的结构与特性
不同结构的性质三元硼碳氮(BCN)化合物具有与BN相似的六方和立方型结构[10]。BCN二维材料的性质介于石墨烯和h-BN之间[11],拥有可调节的禁带宽度,表现出金属性或半导体性;c-BCN有耐高温氧化及化学惰性和极高的硬度和耐磨性 [9]。
BCN二维材料的研究现状
近年来,研究新型材料BCN是材料领域一大热门,科学家们从实验和理论两个不同的角度出发,大量的研究也取得了丰富的成果。
相关图片展示:







您可能感兴趣的文章
- 改善锂离子电池中硅基负极存储性能的策略研究外文翻译资料
- 通过添加压电材料BaTiO3提高大功率锂离子电池的微米级SiO @ C/CNTs负极的电化学性能外文翻译资料
- Pd和GDC共浸渍的LSCM阴极在固体氧化物电解池高温电解CO2中的应用外文翻译资料
- 利用同步回旋加速器粉末衍射的方法来研究在有其他物相的情况下C4AF的水化作用外文翻译资料
- 外国循环流化床锅炉发展现状外文翻译资料
- 含石蜡基复合材料的多壁碳纳米管的热性能外文翻译资料
- 矸石电厂炉渣机制砂的应用研究外文翻译资料
- 机动车螺旋弹簧的失效分析外文翻译资料
- 从废阴极射线管和锗尾矿制备高强度玻璃泡沫陶瓷外文翻译资料
- 作为导热液体的液态金属在太阳能储热中的应用外文翻译资料


