钙铝酸盐玻璃形成过程强弱转变现象探索毕业论文
2020-04-05 10:50:19
摘 要
玻璃是人类生活中非常重要的一种材料,其广泛应用于建筑、军事、科研等领域,但是相对于晶体材料,关于玻璃形成过程中结构和性质及两者之间的关系还存在很多问题亟待解决。基于钙铝酸盐体系的广泛应用,本文选择CaO-Al2O3二元体系玻璃为研究对象,采用无容器气动悬浮技术在一个比较宽的范围内(从CA2到C5A)制备了玻璃样品,借助差示扫描量热法、密度、硬度等表征手段,对该体系样品的物理性质、玻璃转变温度等性能进行了评测,并利用拉曼光谱技术对玻璃内部的结构进行了表征。
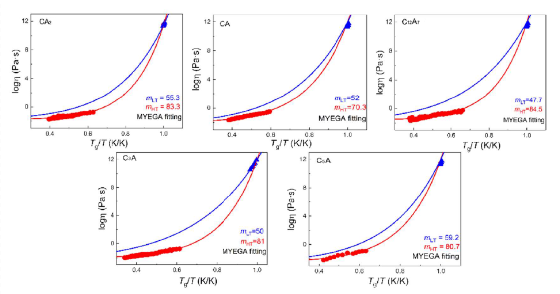
通过对强弱性指数的拟合,发现在CaO-Al2O3二元体系的玻璃转变过程中,存在强弱转变现象,但整体的强弱转变程度都较弱,并在C12A7处强弱转变程度最大。结合Raman技术我们发现随着CaO含量的逐渐增加,结构中四配位的Al含量增加,高配位的Al含量逐渐降低,结构中Al-O-Al键的含量先减小后增大,[AlO4]四面体的非桥氧含量先增大后降低,均在C12A7处达到极值。结构的变化导致了玻璃的粘度、密度、玻璃形成能力等性质以及玻璃形成过程中的强弱转变程度均在C12A7处出现极值。
关键词:钙铝酸盐玻璃,强弱转变,粘度,密度,硬度
Abstract
Glass is a very important material in human life. It is widely used in construction, military, scientific research and other fields. However, there are still many problems concerning the structure and properties of glass and the relationship between them in relation to crystalline materials. solve. Based on the wide application of calcium aluminate system, CaO-Al2O3 binary system glass was selected as the research object. Glass samples were prepared in a wide range (from CA2 to C5A) using the non-vessel pneumatic suspension technology. Scanning calorimetry, density, hardness and other characterization methods, the physical properties of the system samples, glass transition temperature and other properties were evaluated, and the internal structure of the glass was characterized using Raman spectroscopy.
By fitting the strong-weakness index, it is found that there is a strong and weak transformation phenomenon in the glass transition process of the CaO-Al2O3 binary system, and the strongest-weakness transformation degree is greatest at the C12A7. In combination with Raman technique, we found that as CaO gradually replaces Al2O3, the tetra-coordinated Al content in the structure increases, the Al content of the high coordination gradually decreases, and the Al-O-Al bond content in the structure first decreases and then increases, [AlO4] The non-bridging oxygen content of the tetrahedron first increases and then decreases, and reaches the extreme at C12A7. The change of the structure leads to the extremes of viscosity, density, glass forming ability, and strong and weak transitions in the glass formation process at C12A7.
Key words: Calcium aluminate glass, Strong and weak transformation, Viscosity, Density, Hardness
目录
第1章 绪 论 1
1.1研究背景 1
1.2玻璃的熔体性质 1
1.3玻璃的强弱性 3
1.4强弱转变现象 4
1.5研究的目的与意义 4
第2章 材料的制备与表征 6
2.1实验方案 6
2.2实验试剂与仪器 7
2.2.1实验试剂 7
2.2.2实验设备 8
2.3无容器气动悬浮激光加热技术 8
2.4 CaO-Al2O3二元体系玻璃样品的制备 9
2.5性能、结构的测试表征 10
2.5.1差示扫描量热分析(Differential Scanning Calorimeter,DSC) 10
2.5.2密度测试 10
2.5.3 硬度测试 11
2.5.4 粘度测试 12
2.5.5 Raman测试 12
第3章 实验结果与分析 14
3.1冷却曲线 14
3.2 DSC分析 14
3.3 CaO-Al2O3二元体系玻璃及熔体特性研究 16
3.3.1 CaO含量对高温粘度的影响 16
3.3.2 CaO含量对液体强弱性的影响 17
3.3.3 CaO-Al2O3二元体系熔体的强弱转变现象 19
3.4 CaO含量对熔体物理性能的影响 21
3.4.1 CaO含量对密度的影响 21
3.4.2 CaO含量对硬度的影响 22
3.5 Raman结构分析 23
3.6本章小结 24
第4章 结论 25
第1章 绪 论
1.1研究背景
玻璃材料有着长达几千年的历史,其以优秀的光学性能和力学性能,运用到人类生活的方方面面。由于钙和铝是地壳中含量最多的几种元素之一,原料储量丰富,经济易得,其矿物相被广泛用于高温耐火材料和高铝水泥中。而且CaO-Al2O3二元系统能够形成玻璃,这使得CaO-Al2O3二元体系具有广泛的应用[1][2],如红外光学器件、激光器和光学存储材料中等,其在无机非金属工业中占据着非常重要的位置,是玻璃、陶瓷和水泥工业的基础。
随着工业的发展和人类需求的多样化,新型的玻璃材料层出不穷,但是,相对于晶体材料,玻璃的形成和结构依然存在许多问题亟待解决。认识玻璃形成过程中的强弱转变机理对完善玻璃相关理论、预测材料性能、有效模拟生产过程具有非常重要的意义。目前,人们已经有了大量关于玻璃体系结构与动力学的知识积累,并且已经确定了两者之间存在一定程度的关联[3][4]。但是玻璃形成体从高温区(Tm附近)到低温区(Tg附近)的动力学上急剧变化与结构上的哪些性质相对应还没有确定的结论[5]。
玻璃的形成能力与冷却速率密切相关,只要冷却速度足够快,任何物质都能形成玻璃,随着气动悬浮装置的应用,有效地避免了异相成核,增强xCaO-(1-x)Al2O3液体的玻璃形成能力,使得xCaO-(1-x)Al2O3二元系的成玻范围能够扩展到0.37 (CA2) lt;xlt; 0.83 mol%(C5A)的范围,获得了宽的组成范围的玻璃样品后,我们将可以通过气动悬浮装置测得高温(熔融温度以上)粘度、高温(熔融温度以上)密度相关数据,结合DSC测试拟合低温粘度来讨论玻璃转变过程,结合相关测试表征手段来探索钙铝酸盐玻璃强弱转变的微观机理。
1.2玻璃的熔体性质
玻璃的熔体性质能够反映出其内部结构的变化,其中,粘度与熔体原子间的结合力和微观结构有着紧密的关系,能够反映出熔体内部原子扩散迁移的粘滞力的大小,通常情况下,粘度是由温度、组成、压力决定的,在玻璃中粘度也与桥氧非桥氧有关,在玻璃中,粘度的大小跟玻璃中硅氧四面体的网络结构的连接程度及硅氧比例都有密切关系。所以说玻璃熔体的粘度是对其结构十分敏感的物理参数,熔体结构的变化通常可以表现为粘度值的变化,粘度是反映玻璃熔体的动力学特性的关键性因素。
研究表明,粘度对晶体的形核和长大具有显著的抑制作用,晶体形成所经历的成核与长大与熔体的粘度是成反比的,原子动力学上的粘滞效应使得熔体过冷无法结晶从而形成了玻璃,由此可见熔体的粘度决定了其析晶的动力学势垒,粘温曲线为研究玻璃形成的整个过程熔体的动力学特征及热-动力学间关系提供了数据支撑,是研究玻璃强弱性的关键。所以粘度对于玻璃形成能力的表征有着极其重要的实际意义,是指导玻璃生产整个过程各个方面的一个重要参数。
在长期的科研与实践过程中,人们找到了很多能够很好拟合粘度-温度关系的方程,各个模型各有不同的优缺点,其中,用MGEGA方程(1.1)对很多材料进行拟合时都得到了良好的结果,能够同时在高温段和低温段对粘度有一个很好的拟合。
(1.1)
其中,η∞为常数,表示极限的高温度(Tg/T趋近于0)下的粘度,强弱性指数m(脆性指数)可以反映玻璃脆性的大小。下图是用MYEGA模型进行模拟得到的图1.1。
图1.1用MYEGA模型进行粘温模拟
由图1.1我们可以发现通过对低温段数据进行拟合时,发现模型对多种材料的拟合都取得了不错的结果,具有很好的相关性,例如金属玻璃,以及多种玻璃的粘温曲线拟合出来都有较好的相关性[6]。
1.3玻璃的强弱性
液体的强弱性指数m(脆性指数)能够表征液体在Tg附近的过冷液相区的粘温特性。脆性指数的定义如下式:
(1.2)
玻璃的脆性这一概念首先由Angell提出,并指出玻璃的脆性与网络结构中含有的大阴离子团及玻璃建强有很大的关系[7]。MYEGA公式(式1.1)是应用最多的过冷液体脆性的表征方法,通过该模型拟合得到的脆性指数我们可以研究熔体的动力学特征。液体的脆性对研究玻璃转变的本质具有非常重要的指导意义,其有效的表征了液体在玻璃转变点处的液体稳定性。
经典的Angell图(logη-Tg/T图)为粘度和结晶的动力学变化趋势提供了表征和解释,如图1.2所示,Angell提出液体脆性的概念,将液体分为两大类,强性液体和弱性液体[8]。

图1.2不同玻璃粘度随温度的变化
Angell图将不同成份的玻璃熔体的动力学特性放在同一个坐标轴上进行比较,横坐标采用玻璃转变温度对温度的比值的约化温度,以此可以研究粘温特性的变化以及玻璃转变。定义粘度随温度变化的方程显示为一条直线时为强玻璃,曲线偏离直线方向越远就表示玻璃越弱即脆性越大对应玻璃的形成能力越小。
强弱性是一个可以衡量玻璃结构稳定性以及过冷液体动力学特性的重要指标,Angell图与过冷液体的微观结构变化有着密切的联系,其为研究玻璃转变及热-动力学之间的关系提供了重要的帮助。现阶段对于液体动力学以及热力学已经有了大量的理论知识积累,但是对于热-动力学之间的联系的研究还不透彻,我们借助对脆性液体的研究来加深对玻璃转变过程的了解。玻璃的脆性指数能够很好的表述玻璃的形成能力,Angell提出过冷液体的脆性为了解和解决热力学和动力学之间关系提供了新的思想,进而我们可以从动力学与热力学之间的关系这个角度来研究玻璃转变的过程。
1.4强弱转变现象
如前所述,玻璃的强弱性可以由脆性指数m值来表述,利用MYEGA方程,可以分别拟合玻璃熔点附近的高温粘度和玻璃转变点附近的低温粘度。有研究发现,对于水和某些金属玻璃在低温段(玻璃转变点附近)拟合得到的脆性指数更小,而平衡熔点附近的高温区域拟合出来的脆性指数更大。这种在不同温度区域的动力学脆性指数的差异表明,CaO-Al2O3体系的样品在从熔点到玻璃转变温度点的冷却过程中,经历了一个由脆性液体到强性液体的转变,称为强弱转变(Fragile-to-Strong Transition)[9][10]。这种在不同温度区域呈现不同的脆性指数的差异通过两者之间的比值来进行量化[11],即
(1.3)
式1.2中,ƒ称作强弱转变因子,可以量化表征强弱转变的程度,强弱转变的程度越大,反映出体系的玻璃形成能力更强。强弱转变现象的起源一直以来并没有一个确切的合理解释,根据其微观结构探索强弱转变的机理是玻璃领域研究的一个重点。
1.5研究的目的与意义
由于玻璃是人类日常生活中非常重要的一种材料,而钙铝酸盐玻璃由于在红外窗口、激光器基质、光储材料等中有广泛的应用,引发了众多科研人员的兴趣[11]。探究其形成过程中的结构变化的相关问题有助于人类更好的利用和发展这种材料。丰富和完善玻璃相关的理论是材料学研究的一大重点,
玻璃材料在高温下的粘度特性是反映玻璃及其熔体的动力学性质及玻璃强弱性的重要参数之一,玻璃形成体从高温熔融态冷却到过冷态的过程中,如果我们选择一个合适的降温速率,玻璃形成体将会穿过析晶区域并最终形成玻璃,同时,其粘度将发生好几个数量级的剧增,通常将达到1012Pa·s[4,5]。Agell提出了通过强弱性指数m来描述液体的动力学特性,并将液体分为“强”和“弱”两类,相对小的脆性指数对应强液体。但是有人发现存在一些玻璃形成体在冷却过程中,并没有展现出典型的强或弱的单一的动力学特性,而是展现出一种由弱液体到强液体的转变[6],称为强弱转变。在这一突变过程中,必然伴随着熔体结构的转变,因此,探索引起这一转变的微观机制,对于丰富玻璃转变的相关理论,指导开发新型玻璃材料具有非常重要的意义。
第2章 材料的制备与表征
2.1实验方案
本实验主要根据不同组成的CaO-Al2O3二元体系玻璃在Tm附近的高温区和Tg附近的低温区的动力学特性,来探究其玻璃形成过程中是否存在强弱转变现象并根据相关测试表征手段来探索强弱转变的微观机制,根据研究目的及现有制备及测试表征手段,设计如下实验流程:
图2.1 实验流程图
本实验 的研究对象是CaO-Al2O3二元体系,因为Al3 能够形成 [AlO4]四面体,而Ca2 处在八面体空位中,所以Al的配位数和周围环境会影响玻璃熔体的微观结构进而影响其传输特性。由CaO和Al2O3比例的不同,对玻璃造成的影响也各有差异。CaO的含量变化对样品熔体的强弱性也有影响,实验为了研究钙铝酸盐玻璃在玻璃转变过程中的强弱转变现象,将以CaO(99.99%)和Al2O3(99.9%)为原料,分别合成组成分别为CA2、CA、C12A7、C3A、C5A的二元体系玻璃,配比如表2.1所示:
表2.1原料组成配比表
CA2 | CA | C12A7 | C3A | C5A | |
CaO% | 33.3 | 50 | 63.2 | 75 | 83.3 |
Al2O3% | 66.7 | 50 | 36.8 | 25 | 16.67 |
2.2实验试剂与仪器
2.2.1实验试剂
表2.2 样品制备用药品及试剂 | |||
名称 | 分子式 | 纯度 | 生产厂家 |
四水硝酸钙 | Ca(NO3)2·4H2O | 99% | 上海阿拉丁生化科技股份有限公司 |
仲丁醇铝 | Al[OCH(CH3)C2H5]3 | 97% | 上海阿拉丁生化科技股份有限公司 |
乙酰乙酸乙酯(Etac) | CH3COCH2C2H5 | 98% | 上海阿拉丁生化科技股份有限公司 |
盐酸 | HCl | 38% | 国药集团化学试剂有限公司 |
无水乙醇 | C2H5OH | 99.70% | 国药集团化学试剂有限公司 |
氧化钙 | CaO | 99.99% | 上海阿拉丁生化科技股份有限公司 |
氧化铝 | Al2O3 | 99.99% | 上海阿拉丁生化科技股份有限公司 |
聚乙烯醇(PVA) | [-CH2CHOH-]n | 99.98%(醇解度) | 上海阿拉丁生化科技股份有限公司 |
液态环氧树脂 | 丹麦AKASEL | ||
环氧固化剂 | 丹麦AKASEL | ||
丙三醇(甘油) | C3H8O3 | AR | 国药集团化学试剂有限公司 |
去离子水 | H2O | 优普纯水制造系统 | |
2.2.2实验设备
表2.3 实验设备 | ||
仪器名称 | 仪器型号 | 生产厂家 |
电子天平 | JD200-3 | 沈阳龙腾电子有限公司 |
手动固定移液器 | 5000μl | 大龙兴创实验仪器(北京)有限公司 |
玛瑙研钵 | Φ10 mm | 上海耶茂仪器仪表有限公司 |
超声清洗机 | SCQ-2101A | 上海声彦超声波仪器有限公司 |
磁力搅拌机 | 84-1(四联) | 上海梅颖浦仪器仪表制造有限公司 |
集热式恒温磁力搅拌器 | DF-101S | 武汉科尔仪器设备有限公司 |
电动压片机 | YLJ-40T | 合肥科晶材料技术有限公司 |
镶样磨具 | 25 mm | 丹麦AKASEL |
可编程气氛保护箱式炉 | SXQC-4-13 | 杭州蓝天仪器有限公司 |
2.3无容器气动悬浮激光加热技术
本实验选用气动悬浮技术来合成CaO-Al2O3二元体系玻璃及完成对样品在高温区域(熔点Tm附近)热物理性能的原位测量。空气动力悬浮装置处理室的结构如图2.2所示。

以上是毕业论文大纲或资料介绍,该课题完整毕业论文、开题报告、任务书、程序设计、图纸设计等资料请添加微信获取,微信号:bysjorg。
相关图片展示:







您可能感兴趣的文章
- 改善锂离子电池中硅基负极存储性能的策略研究外文翻译资料
- 通过添加压电材料BaTiO3提高大功率锂离子电池的微米级SiO @ C/CNTs负极的电化学性能外文翻译资料
- Pd和GDC共浸渍的LSCM阴极在固体氧化物电解池高温电解CO2中的应用外文翻译资料
- 利用同步回旋加速器粉末衍射的方法来研究在有其他物相的情况下C4AF的水化作用外文翻译资料
- 外国循环流化床锅炉发展现状外文翻译资料
- 含石蜡基复合材料的多壁碳纳米管的热性能外文翻译资料
- 矸石电厂炉渣机制砂的应用研究外文翻译资料
- 机动车螺旋弹簧的失效分析外文翻译资料
- 从废阴极射线管和锗尾矿制备高强度玻璃泡沫陶瓷外文翻译资料
- 作为导热液体的液态金属在太阳能储热中的应用外文翻译资料


