纳米二氧化钛改性纤维素疏水膜的结构与性能毕业论文
2020-04-05 10:46:18
摘 要
纤维素作为地球上最为丰富的生物质资源,不仅可再生,而且属于环境友好型材料,一直是人们研究的重要课题。利用纤维素所制得的纤维素膜在包装、分离等方面有很大的应用前景,但是纤维素结构中含有大量的羟基,因而具有很强的亲水性,使得纤维素膜在水环境以及潮湿环境下力学性能会发生下降,同时阻气性能变差,从而限制了这种材料的应用范围。
本文使用绿色环保的低温NaOH/尿素水溶液体系溶解纤维素,进而制得纤维素膜,通过利用聚乙烯亚胺使纳米二氧化钛附着在纤维素膜表面,在纤维素膜表面形成微粗糙结构,使用十二烷基三甲氧基硅烷对表面进行处理,降低其表面自由能,大大增加纤维素膜的疏水性能,并且改性过程不会对纤维素膜的力学性能产生影响。研究表明,使用12%纳米TiO2处理所得的纤维素膜具有最好的疏水性能(接触角可达到133.0°)。该研究拓展了纤维素膜在水环境和潮湿环境中的应用,具有很重要的现实意义。
关键词:纤维素;疏水性能;纳米二氧化钛;表面改性;结构性能
Abstract
As the most abundant biomass resource on the earth, cellulose is not only renewable but also environmentally friendly. It has always been an important issue for researchers to study. Cellulose films obtained in the fields of packaging, filtration, etc., have a larger application prospects, but cellulose molecules possess a large number of hydroxyl groups, which exhibit strong hydrophilic capacity, leading to the significant decrease of mechanical properties and gas permeability of the cellulose film in the water environment and high humid condition, thus restricting the further applications of cellulose materials.
In this paper, a green environment-friendly low-temperature NaOH/urea aqueous solution was used to dissolve cellulose to prepare the cellulose films. By using polyethyleneimine to adhere the nano-titanium dioxide to the surface of the cellulose film, a micro-rough structure was formed on the surface of the cellulose film. The surface was treated with dodecyltrimethoxysilane to reduce its surface free energy, greatly increasing the hydrophobic properties of the cellulose film. Moreover, the modification process did not affect the mechanical properties of the cellulose film. The results show that the cellulose membrane treated with 12% nano-TiO2 possessed the best hydrophobic property (the contact angle could reach 133.0°). This research has expanded the application of cellulose films in the water environment and the humid environment and is of great significance to the society.
Key Words:Cellulose; Hydrophobicity; Nano titanium dioxide; Surface modification; Structure and property
目 录
第1章 绪论 1
1.1引言 1
1.2 纤维素 1
1.3 纤维素溶解体系 1
1.4 纤维素膜的性能 4
1.5 纤维素膜的疏水改性 5
1.6 研究目的和意义 6
第2章 实验部分 7
2.1 实验试剂和设备 7
2.2 实验操作部分 8
2.2.1 纤维素水凝胶膜的制备 8
2.2.2 纤维素疏水膜的制备 8
2.2.3 纤维素疏水膜的性能表征 8
第3章 结果与讨论 10
3.1 红外光谱 10
3.2 XRD 11
3.3 SEM 11
3.4 力学拉伸试验 12
3.5 热重 13
3.6 水接触角 14
第4章 总结 16
参考文献 17
致 谢 20
第1章 绪论
1.1引言
一直以来,石油、煤炭、天然气等不可再生资源的储量不断下降,并且人们对传统化石资源的使用所产生的环境问题也日益关注。因而,纤维素作为可再生资源越来越受到人们的重视[1]。利用纤维素与其衍生物作为膜材料在膜工业中有相当大的作用,研究优良制备条件制备具有高性能的纤维素膜是纤维素科学中研究开发的重点,适当对纤维素膜进行改性,开发具有高通量、抗污染、高寿命的膜材料,为这种材料实现工业化应用是未来的发展方向[2]。
1.2 纤维素
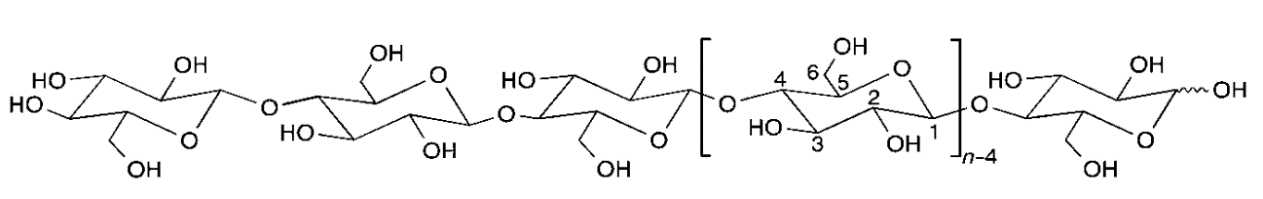
纤维素是由葡萄糖组成的大分子多糖,是自然界含量最多、分布最广的多糖。主要的纤维素原料是棉花、木材、禾草类植物[3]。1838年,法国科学家Anselme Payen首次使用氢氧化钠、硝酸溶液交替处理木材,从中分离出的一种均匀化合物,将其命名为纤维素。纤维素的高分子结构是1932年德国科学家Staudinger确定的[4]。纤维素是一种天然高分子化合物,是由很多D-吡喃葡萄糖酐(1→5)彼此以β(1→4)苷键连结而成的线形大分子,(C6H10O5)n(n为D-葡萄糖酐的数目)为其化学结构的分子式,由碳,氢,氧三种元素组成,其中碳含量为44.4%,氢含量为6.17%,氧含量为49.39%。纤维素含有大量的羟基,容易形成较多的分子间、分子内氢键[5]。下图为纤维素结构图(图1.1)。

图1.1 纤维素的分子结构[5]
1.3 纤维素溶解体系
纤维素高分子具有两个明显的特点,一为多羟基所形成的强分子间和分子内氢键作用,其次纤维素纤维具有局部规整的结晶序列[6]。这两个特点使得纤维素不溶于许多溶剂,从而限制了纤维素的使用范围。人们通过多年不懈的努力,取得了较为丰硕的成果。
大体上,根据溶解条件的不同,纤维素溶解体系为三个;(1)衍生化溶解体系;(2)水相直溶体系;(3)非水相直溶体系。
衍生化溶解体系是人类最早开发出来的天然纤维素溶解体系,这种方法是指将天然纤维素和某些化学试剂在一定条件下反应,使得纤维素分子上的羟基被其他基团部分取代或者全部取代,变得纤维素衍生物,这种方法破坏了天然纤维素的分子间或者分子内氢键作用,从而使得纤维素得到溶解。主要包括,硝酸酯化体系,黄原酸酯化体系,多聚甲醛/二甲基亚砜,四氧化二氮/二甲基甲酰胺体系,纤维素醚化体系,醋酸酯化体系,氨基甲酸酯化体系 [7]。这种溶解方法均使用了有机溶剂,并且部分有机溶剂在使用过程中会产生甲醛等有毒气体,不仅对人有毒害的威胁,也对环境有一定的污染,使得这种溶解方法的应用受到了限制。
水相直溶体系是指利用溶剂中的某些溶质去和天然纤维素大分子上的羟基形成键能更高的氢键或者共价键而逐步替换掉原来纤维素大分子间或者分子内的氢键,从而达到溶解纤维素的目的。这种溶解方法主要包括过渡金属溶解体系,碱金属/水溶解体系,质子酸/水溶解体系[8]。
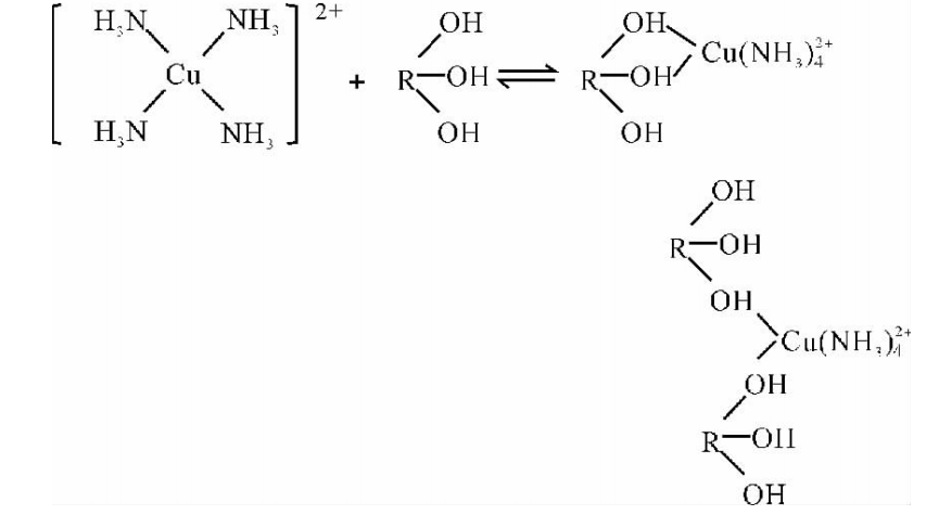
过渡金属络合物溶解体系主要是指过渡金属与胺或者乙二胺形成的复合物,最早是1857年瑞典科学家Matthias Eduard Schweizer发现铜盐/氨水混合液体可以溶解棉纤维,并且可以再生[9].

图1.2 纤维素在铜氨溶液溶解原理[10]
由图1.2我们可以看到,铜氨溶液中Cu2 与纤维素上的羟基形成配位键,破坏天然纤维素分子间以及分子内氢键的作用,从而达到溶解纤维素的目的[10]。张须友等的研究表明铜氨溶液溶解纤维素的能力随温度的升高而降低,低温条件对于纤维素的溶解更有利;随Cu2 浓度升高,纤维素的溶解度增大;溶解时间的增大纤维素溶解度增大,并且当溶解时间为30 min时,溶解度基本达到最大值。研究表明当Cu2 浓度为1.4 mol/L,溶解温度为-10℃,溶解时间为1h,纤维素在铜氨溶液便有较大的溶解[11]。但是这种方法所制得的再生纤维素的聚合度会有一定程度的下降,对于纤维素的性能有一定的影响。薛玉等研究了铜氨溶液法和铜乙二胺溶液法对测定纤维素聚合度结果的影响,实验表明纤维素的聚合度会对铜氨溶液中所测得的聚合度有一定的影响,并且聚合度越大所测量的差异也就越大,与之类似的溶剂铜乙二胺在测量时的误差就小得多[12]。铜氨溶液溶解纤维素作为最早的溶解方法之一,发展至今又有了进一步的发展。
碱/水溶解体系最早并不是作为溶解纤维素使用,其主要目的在于处理强酸溶解纤维素后,中和酸。早期人们的研究仅仅使用了碱,这种方法只能溶解分子量相对较小的纤维素分子,限制了这种方法的使用。之后科学家发现,某些金属氧化物以及尿素对于纤维素的溶解具有一定的协同促进作用[13]。目前,对于碱/尿素水溶液溶解纤维素的机理还没有明确的定论,大体上来讲是碱和尿素作用使得纤维素分子间和分子内的氢键破坏,并且形成一个“隔离层”分散开纤维素分子。我国科学家张俐娜院士提出低温碱/尿素水溶液体系溶解纤维素,并且展开了一系列的研究,张俐娜等通过研究比较了氢氧化钠、氢氧化锂以及氢氧化钾三种不同的碱溶解纤维素的能力,得出结论溶解效果氢氧化锂gt;氢氧化钠gt;gt;氢氧化钾,并且通过DSC和13C NMR研究表明非衍生溶剂氢氧化钠/尿素和氢氧化锂/尿素水溶液破坏了纤维素的分子间氢键和分子内氢键,并且阻止纤维素分子间的相互靠近,导致纤维素能较好的分散形成均一的溶液[14]。之后,经过大量实验研究,探究纤维素溶解与温度的关系,得出结论在-12℃时,在7wt%氢氧化钠/12wt%尿素水溶液中,纤维素的溶解度达到最大。并且在溶解过程中对溶解体系进行高速搅拌能够加速天然纤维素的溶解,搅拌速度越快,溶解速度越快,大约在搅拌速率达到1800 r/min时,溶解速率达到最大值。使用碱/尿素水溶液体系溶解纤维素,这种方法使用的是无污染的碱以及尿素,对于环境的影响小,为开发研究新的溶解纤维素的绿色方法提供了一个新的思路。该种方法溶解过程中没有化学反应,原料消耗小、生产周期短、工艺流程简单,为将来实现天然纤维素这种新型材料的工业化应用提供了一个崭新的思路。但是这种溶解体系的缺点也相当明显,溶解条件苛刻(需要溶解体系的温度为-12℃),需要学者进一步研究改进这种溶解体系。
质子酸/水溶解体系是鉴于纤维素酸碱两性特征的“酸碱概念”开发出来的。质子酸能够在适当的浓度溶胀和溶解纤维素,使得纤维素分子上的羟基质子化,从而达到破坏天然纤维素分子内和分子间氢键的作用。对于硫酸而言,当硫酸的浓度高于75%时,但是又不会使得纤维素发生碳化,纤维素会溶解,适宜的温度为0-20℃[15]。磷酸在81%-85%以及92%-97%这两个浓度范围内时能够较好的溶解纤维素,但是纤维素在这两个浓度区间内不能完全溶解[16]。这种溶解方法会有一些有害气体,如二氧化硫的产生,并且会产生酸污染问题,对于环境有影响,不满足绿色化学的要求。
非水相直溶体系是指纤维素分子溶于一些非水体系中,主要有离子液体体系、氯化锂/极性溶剂体系、胺氧化物体系。离子液体是指在一定温度下完全由阴阳离子组成的呈液态的熔融盐[31]。研究表明,只有具有不饱和阳离子结构的离子液体才能溶解纤维素,不饱和阳离子与纤维素的相互作用能较大,五元或六元环的π电子离域使得阳离子与纤维素的葡萄糖环接触较强。饱和的阳离子还引起阴离子与纤维素中羟基相互作用的空间位阻,导致相互作用能较弱,阴离子与纤维素之间的氢键较少。饱和阳离子离子液具有更大的粘度,会阻碍纤维素的进一步溶解[32]。LiCl和DMAc形成氢键络合物,Li 和Cl-紧密连接,形成强的溶剂化正离子和弱的溶剂化负离子的离子偶极子。这种强正离子与纤维素羟基作用形成络合物,促使纤维素溶解。LiCl/DMAc溶剂中可以溶解的纤维素浓度范围为l5wt%-17wt%,此时,该溶剂中LiCl的含量最宜为5wt%-9wt%。在温度高于85℃以上时,纤维素的分子间氢键会被N-甲基吗啉-氮氧化物(NMMO)·H2O破坏,同时NMMO的偶极N O-能与羟基作用形成络合物而溶解纤维素。氯化锂/极性溶剂体系和胺氧化物体系这两种溶解方法存在回收难,溶解成本高等问题[33]。
1.4 纤维素膜的性能
纤维素能够在7wt%氢氧化钠/12wt%尿素体系中溶解(溶解温度控制在-12℃),溶解时间约2分钟(伴随有高速搅拌),之后离心所得的纤维素溶液可在洁净的玻璃板上铺展开来,并且能在稀硫酸中再生得到较为平整的纤维素膜(RC)。使用碱/尿素水溶液体系制得的纤维素溶液再生所得的纤维素膜具有良好的力学性能(拉伸强度可以达到120 MPa),具有良好的透光性能(透光率能够达到90%)[17]。纤维素分子有较多的亲水基团羟基,使得纤维素膜也具有良好的亲水性,对于生物体无毒害性,具有较好的生物相容性,具有一定的耐热性,经试验研究表明生物降解性良好[17]。由于纤维素膜表面具有微孔,纤维素分子分子量很大有许多分子通道使得纤维素膜具有良好的渗透性,鉴于纤维素的稳定性,使得纤维素膜的耐物化性能良好并且具有一定的耐污染能力。利用碱/尿素水溶液所制得的纤维素膜的性质受到不同凝固条件的影响,主要是凝固浴的种类、凝固浴的浓度、凝固时间及凝固温度,研究表明由硫酸/硫酸钠的凝固体系所制得的纤维素膜为致密均匀的微孔结构,力学性能良好[18]。
纤维素膜具有一系列优良的性能,在很多方面都有应用。可以用于食品包装、有机和无机抗菌膜,目前在分离膜方面也有较多的研究。采用氢氧化钠水溶液作为吸收剂脱除硫醇,基本无油分损失,可用于炼油领域的大规模脱硫脱臭,油水分离性能优异,同时耐污染能力较强。并且,有望用于海水淡化渗透膜和人工肾脏透析膜。另外,在肠衣包装方面的应用研究也有一定的进展。纤维素膜的生物可降解性,有望替代传统的有机塑料,降低对环境的污染[19]。
1.5 纤维素膜的疏水改性
纤维素分子含有大量的羟基,使得纤维素膜具有较强的亲水性,因而纤维素膜的阻湿性较差。在潮湿的环境中,水分子易于吸附在纤维素膜表面,破坏纤维素分子之间的氢键作用力,使得纤维素膜的机械性能与阻隔性能出现极大的下降,限制了纤维素膜的应用范围[20]。同时,纤维素膜在水中长时间的浸泡会使得纤维素膜出现溶胀现象,水分子会影响纤维素膜的氢键作用,使得纤维素膜的表面结构出现一定的破坏,影响纤维素膜的力学性能,降低纤维素膜对于气体的阻隔能力。
目前对于纤维素膜表面的疏水改性通常是“隐藏”纤维素上的羟基,在纤维素上引入疏水基团,或者通过物理吸附的作用,以及将一些聚合物基体与纤维素共混再制得纤维素膜。在纤维素膜表面“隐藏”羟基,引入疏水基团,如长链的烷基。Gousse等使用烷基二甲基氯硅烷的甲苯溶液处理纤维素晶须,成功将硅烷基团部分引入到纤维素晶须上,硅烷基团的引入使得纤维素晶须能够在非极性溶剂中稳定分散[21]。曲萍等对纳米纤维素表面进行烷基化特性实验,发现纳米纤维素和KH-570之间发生了偶联反应。随着偶联剂浓度的升高,纳米纤维素的结晶度先下降后上升,因为烷基化减少了纤维素表面的羟基数目,降低了纳米纤维素的亲水性[22]。通过酯化反应也能够削弱纤维素分子间和分子内的氢键,增加纤维素分子的疏水能力。Galina Rodionova等使用乙酸酐对纤维素进行乙酰化改性,改性后的纤维素溶液再生所得纤维素膜在水中无明显溶胀现象,并且并没有影响到纤维素膜的力学性能,接触角最高可以达到82.7°[23]。Martin Andresen等研究纤维素膜的表面改性使用甲基丙烯酸缩水甘油酯在铈(IV)离子作用下能够在纤维素上进行嫁接,二异氰酸酯官能化以及利用酸酐进行嫁接能实现纤维素膜的疏水化。实验表明通过适当的处理不会对纤维素膜的力学性能产生较大影响,并且能够改善纤维素膜的在水中的溶胀现象[24]。这些对纤维素膜疏水改性的方法都使用到了有机溶剂,众所周知,有机溶剂大多易于挥发,并且有毒,对人体有害,会产生一定的污染,不符合当代绿色化学的原则。另外,在离子液体体系下,可以利用酸酐对纤维素膜进行表面疏水改性。这种方法在使用的过程中,离子液体能够得到较好的回收利用,符合绿色化学的要求。并且这种方法对纤维素膜的疏水改性在不影响纤维素膜的力学性能下能够做到较好的疏水,其表面接触角能够达到104.8°[25]。研究者们还对纤维素膜进行了其他的化学改性,利用羟基与羧基之间的酯化反应“隐藏”羟基,从而在一定程度上提高纤维素膜的疏水性,减少纤维素膜在潮湿环境下的一定的溶胀效应。并且,羧酸类物质一般对环境的污染小,酯化反应对环境的影响作用小,羧酸类物质也方便回收和再利用,符合当代可持续发展的理念,进一步拓展了纤维素膜发展前景[26]。
通常,化学改性的方法对于纤维素膜的某些性能(力学性能,光学性能,生物相容性等)产生一定的影响。使用化学改性会在一定程度上破坏纤维素分子之间的氢键作用,而氢键作用是纤维素膜优异力学性能的一大来源,所以需要寻求更加合适的方法去改变这样的状况。
以上是毕业论文大纲或资料介绍,该课题完整毕业论文、开题报告、任务书、程序设计、图纸设计等资料请添加微信获取,微信号:bysjorg。
相关图片展示:







您可能感兴趣的文章
- 改善锂离子电池中硅基负极存储性能的策略研究外文翻译资料
- 通过添加压电材料BaTiO3提高大功率锂离子电池的微米级SiO @ C/CNTs负极的电化学性能外文翻译资料
- Pd和GDC共浸渍的LSCM阴极在固体氧化物电解池高温电解CO2中的应用外文翻译资料
- 利用同步回旋加速器粉末衍射的方法来研究在有其他物相的情况下C4AF的水化作用外文翻译资料
- 外国循环流化床锅炉发展现状外文翻译资料
- 含石蜡基复合材料的多壁碳纳米管的热性能外文翻译资料
- 矸石电厂炉渣机制砂的应用研究外文翻译资料
- 机动车螺旋弹簧的失效分析外文翻译资料
- 从废阴极射线管和锗尾矿制备高强度玻璃泡沫陶瓷外文翻译资料
- 作为导热液体的液态金属在太阳能储热中的应用外文翻译资料


