Mn前驱体及LaMnO3催化剂显微形貌调控及性能研究毕业论文
2020-02-19 15:38:15
摘 要
本文采用沉淀法,制备了不同形貌的MnCO3作为备用前驱体。选用球状MnCO3,通过热分解法和氧化酸溶解法,分别制备多孔球状和中空球状Mn2O3作为前驱体。之后分别以球状MnCO3粉体、多孔球状Mn2O3和具有中空结构的球状Mn2O3为前驱体,以共融NaNO3和KNO3为反应介质,采用熔盐法,制备与前驱体形貌相类似的LaMnO3催化剂,揭示目标催化剂显微形貌形成过程,所得结果对制备出催化性能优良、结构稳定性好,具有特定形貌的LaMnO3催化剂具有重要的指导意义。
论文主要研究了以球状MnCO3为前驱体,探索煅烧温度、保温时间等对LaMnO3催化剂的物相组成、形貌、催化活性的影响;同时,分别以多孔球状Mn2O3和中空球状Mn2O3为前驱体,研究前驱体显微形貌对LaMnO3催化剂显微形貌及催化性能的影响规律。
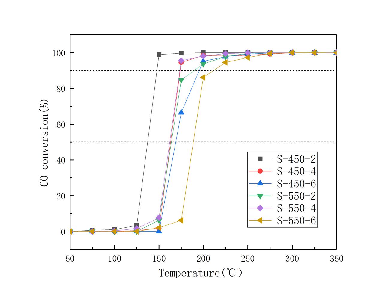
研究结果表明:以球状MnCO3制备的催化剂具有单一钙钛矿相,而以多孔球状Mn2O3和中空球状Mn2O3为前驱体制备的催化剂存在杂相,多孔球状催化剂都是由许多纳米颗粒堆积而成,样品S-450-6具有最佳的催化活性(T50=137.1℃,T90=147.5℃)。以中空球状Mn2O3为前驱体制备的非球状催化剂没能保持前驱体的显微形貌,但其催化剂Q-550-6的CO催化活性(T50=247.3℃,T90=282.1℃)相对优于以多孔球状Mn2O3为前躯体制备的多孔球状催化剂W-550-6(T50=288.6℃,T90=312.2℃)。
关键词:熔盐法;多孔球状及中空球状结构;LaMnO3催化剂;CO催化性能
Abstract
In this paper, MnCO3 with different morphologies was prepared as a backup precursor by using precipitation method. Porous spherical and hollow spherical Mn2O3 were prepared by thermal decomposition method and oxidized acid dissolution method using spherical MnCO3. Then, spherical MnCO3 powder, porous spherical Mn2O3 and spherical Mn2O3 with hollow structure were used as precursors, and LaMnO3 catalyst similar to precursor morphology was prepared by molten salt method using CO-melting NaNO3 and KNO3 as reaction medium, revealing the formation process of the target catalyst micro-morphology. The obtained results have important guiding significance for the preparation of LaMnO3 catalyst with excellent catalytic performance, good structural stability and specific morphology.
The paper mainly studied the effects of calcination temperature and holding time on the phase composition, morphology and catalytic activity of LaMnO3 catalysts by using spherical MnCO3 as precursors. Simultaneously, Porous spherical Mn2O3 and hollow spherical Mn2O3 were used as precursors. The effects of precursor morphology on the morphology and catalytic properties of LaMnO3 catalysts were investigated.
The results show that the catalyst prepared by spherical MnCO3 has a single perovskite phase, while the catalyst prepared by using porous spherical Mn2O3 and hollow spherical Mn2O3 as precursor has heterogeneous phase. The porous spherical catalyst is composed of many nanoparticles, sample S-450-6 has the best catalytic activity (T50=137.1℃,T90=147.5℃).The non-spherical catalyst prepared by hollow spherical Mn2O3 as precursor has not maintained the microscopic morphology of the precursor, however, the catalytic activity of the catalyst Q-550-6 (T50=247.3℃, T90=282.1℃) is relatively better than that of the porous spherical catalyst W-550-6 prepared by the porous spherical Mn2O3 precursor (T50=288.6℃, T90 =312.2℃).
Key Words:Molten salt method; porous spherical and hollow spherical structure; LaMnO3 catalyst; catalytic performance of CO
目 录
摘 要 I
Abstract II
第1章 绪论 1
1.1 引言 1
1.2 钙钛矿型氧化物 1
1.2.1 钙钛矿型氧化物的晶体结构 1
1.2.2 钙钛矿型氧化物的催化机理 2
1.2.3 钙钛矿型氧化物的制备方法 2
1.3 国内外研究现状 3
1.4 研究目标、研究内容及创新点 5
1.4.1 研究目标 5
1.4.2 研究内容 5
1.4.3 创新点 5
第2章 样品的制备与性能表征 6
2.1 实验药品 6
2.2 实验器材 6
2.3 前驱体的制备 6
2.4 低温熔盐法制备LaMnO3钙钛矿催化剂 7
2.5 样品的结构分析及性能测试 8
2.5.1 X射线衍射分析(XRD) 8
2.5.2 扫描电镜分析(SEM) 9
2.5.3 催化活性评估 9
第3章 前驱体及LaMnO3催化剂结构及性能分析 11
3.1 前驱体结构分析 11
3.1.1 XRD分析 11
3.1.2 形貌分析 12
3.2 MCO(前驱体)制备的LaMnO3催化剂结构及性能分析 13
3.2.1 XRD分析 13
3.2.2 形貌分析 15
3.2.3 CO催化活性分析 16
3.3 MO-1(前驱体)制备的LaMnO3催化剂结构及性能分析 18
3.3.1 XRD分析 18
3.3.2 形貌分析 20
3.3.3 CO催化活性分析 21
3.4 显微形貌对LaMnO3催化剂性能的影响 23
3.4.1 XRD分析 23
3.4.2 形貌分析 24
3.4.3 CO催化活性分析 24
第4章 结论 26
参考文献 28
致 谢 30
第1章 绪论
1.1 引言
近年来随着经济的飞速发展,机动车的生产和使用量的不断提高,机动车排气对环境造成的污染不断加重。2017年,全国机动车保有量达到3.10亿辆,其中汽车达到2.17亿辆。2017年全国机动车有4359.7万吨的污染物排放,其中一氧化碳(CO)有3327.3万吨。汽车已成为机动车大气污染排放的主要贡献者,其排放的CO和HC超过80%,这种排气污染不仅严重破坏生态环境,还严重危害人们的身体健康[1]。
机动车排气污染已成为我国大气污染的重要来源,是造成地球空气污染的重要原因。机动车排放的主要污染物有一氧化碳(CO)、二氧化碳(CO2)、氮氧化合物(NOx)、碳氢化合物(HC)和微粒物(PM)。CO是一种无色、无味的气体,是在内燃发动机中由于空气不足或其他原因造成不完全燃烧时所产生的。人体在吸入CO时,由于CO与血红蛋白的亲和力远大于氧,所以非常容易和血液中的血红蛋白结合。正因肺里的血红蛋白不与氧结合而与CO结合,致使人体缺氧,引起头痛、头晕、呕吐等中毒症状,严重时可能导致死亡。由于CO是汽车尾气排放的主要污染物,并且对人类健康构成严重威胁,因此,CO的催化氧化已经成为汽车排放净化领域重要的研究课题。
采用汽车尾气净化催化剂将汽车排放的污染物转化为清洁无害的气体是降低污染物排放的最有效方式。在低温下对CO具有高效催化氧化活性的汽车尾气净化催化剂是我们关注的重点,目前已广泛使用的多为贵金属催化剂,具有代表性的元素是Pt、Pd等。以贵金属合成催化剂,由于其原料稀缺、开采难度大使价格昂贵,以及在S、P环境会导致贵金属催化剂中毒而丧失催化活性,这些缺点限制了其进一步的发展。因此,价格低廉,催化活性、高温稳定性及耐久性良好的具有ABO3结构的钙钛矿型氧化物成为了人们研究的热点。
1.2 钙钛矿型氧化物
1.2.1 钙钛矿型氧化物的晶体结构
钙钛矿型复合氧化物是结构与钙钛矿CaTiO3相同的一大类化合物。ABO3型结构中,如果A离子与氧离子相同或相近的尺寸大小,则形成钙钛矿型结构,其中A离子与氧离子一起构成FCC结构。钙钛矿晶胞结构在理想情况下属于立方晶系,A位离子位于顶角,氧离子位于面心,构成面心立方结构,B位阳离子位于体心,与氧离子构成八面体结构,B位阳离子占据八面体空隙的四分之一,A位离子、B位离子和氧离子的配位数分别为12、6和6。理想情况下钙钛矿结构中两种阳离子半径rA、rB与氧离子半径rO之间满足关系式
;但在实际钙钛矿型晶体中,A、B离子晶体半径在一定范围内波动,引入容差因子t,则离子半径之间的关系为
。钙钛矿型晶体是一种很重要的功能材料,在实际应用中常通过掺杂取代来改善材料的性能,掌握此关系对于选择参杂元素、设计材料组成都是极其重要的[2]。在用于汽车尾气净化催化领域的钙钛矿型催化剂,A位元素一般是如La这样的稀土金属,A位的原子的作用通常是支撑起这个钙钛矿结构,而B位元素也至关重要,它决定了钙钛矿催化剂的催化活性。
1.2.2 钙钛矿型氧化物的催化机理
关于钙钛矿型氧化物的催化氧化机理,目前并没有一个明确的解释机理。相较简单氧化物,钙钛矿结构中的一些元素以非正常价态存在,因而具有非化学计量比的氧,或有以混合价态存在的活性金属,使固体呈现某些特殊性质。钙钛矿型氧化物的催化活性与性质密切相关,包括比表面积,晶体结构,氧非化学计量,形态和孔结构。催化剂的催化反应是界面反应或表面反应,在催化剂的界面或表面容易发生氧分子的吸附和解离,因此催化剂上有更有效的反应活性位点催化活性越好。
钙钛矿型催化剂如LaMnO3具有很高的催化活性,因为它有明显的阳离子缺陷晶格,锰离子存在两种氧化态(Mn3 /Mn4 ),这种氧化态的变化导致相对稳定和恒定的氧过量,使得活性氧迁移率提高。氧空位作为反应活性位点被认为是提高催化活性的重要因素,其与B位阳离子的氧化态变化密切相关,因此催化活性受B位阳离子的种类及其氧化态变化形成氧空位的影响很大。
1.2.3 钙钛矿型氧化物的制备方法
材料的结构在很大程度上取决于材料的制备方法。钙钛矿型氧化物的制备方法有很多,比较常用的方法有固相法、水热合成法、溶胶-凝胶法和共沉淀法等。
1.2.3.1 固相法
固相法:一般采用金属氧化物或碳酸盐等作为前驱物,原料经过机械粉碎、高速球磨等方式混合均匀,之后放入马弗炉程序升温高温烧结来制备催化剂,合成温度通常需要1000~1200℃,是制备钙钛矿复合氧化物的传统方法。该法设备简单,操作方便,成本低廉,但是只是固体与固体颗粒之间混合,虽然有整体的均匀性,但是仍然无法达到像流体那样完全混合均匀,产物均匀性较差;而且反应温度高,反应不易完全进行,故生产出的钙钛矿样品纯度较低,颗粒较大且分布不均匀。固相法常用于合成晶粒较大的、烧结性较好的固体材料,对于材料纯度等要求低而且需求量较大的材料的制备,固相法是一个好的选择。
1.2.3.2 水热合成法
水热合成法是采用水溶液作为反应介质,装有原料的反应釜通过加热形成一个高温高压的反应环境,使得通常难溶或不溶的物质溶解并重结晶,再经分离和后处理而得到所需材料的方法。使用水热法可以控制合成材料的晶化度、粒度和形貌,来制备超细、无团聚或少团聚的材料,以及合成单晶球形核壳材料等钙钛矿材料。相较其他方法,水热法制备钙钛矿型氧化物的优点主要有:水热法制备工艺较为简单;无需高温煅烧等工艺,可以减少粉体间的硬团聚;控制水热反应条件可以调控粉体晶粒物相和形态等。但存在反应不充分,反应过程不容易控制,对设备要求高等缺点。
1.2.3.3 溶胶-凝胶法
溶胶-凝胶法是在水或醇溶液中均匀混合金属硝酸盐等反应前驱体和有机酸配体,混合溶液内发生水解与缩合等化学反应得到湿凝胶,再将陈化、烘干后的干凝胶热处理来制备复合氧化物和许多固体材料的方法。溶胶凝胶法有优于其他方法的特性,包括产物粒径小,烧结活性高,均匀性好,低成本和易实现高纯度,但该方法不能很好的应用于大规模的生产,因为其工艺复杂,不便操作。
1.2.3.4 共沉淀法
共沉淀法是按化学计量比称取的金属硝酸盐,溶解于无水乙醇和去离子水的混合液体中,在不断搅拌下加入相应的沉淀剂,在沉淀剂的作用下溶液中产生沉淀固溶体,再经过滤、洗涤、干燥及加热煅烧,制备钙钛矿氧化物的方法。共沉淀法工艺操作简单易行、经济、合成时间短、煅烧温度低、成品性能好、产品细化程度高,适合于需求量较大的粉体产物的制备。
1.3 国内外研究现状
通过前驱体形貌调控,达到控制目标催化剂的显微形貌,进而综合调控催化剂的活性及耐久性,是当前催化剂研发的前沿和热点。近年来,含有大孔隙度的过渡金属氧化物由于其在各种领域(包括多相催化和相关工业)中的非凡应用潜力而引起了研究人员的关注。在锰氧化物的不同结晶相中,如MnO,MnO2,Mn2O3 和Mn3O4,三氧化二锰(Mn2O3)已经表现为具有上述应用的最大潜力。很多学者通过不同的方法合成了具有各种形貌的多孔Mn2O3结构,包括热分解法,溶胶-凝胶法,沉淀法,水热法,微波辅助法,微乳液法,声化学法,喷雾热解法等。2009年曹等人以制得的四种不同形貌的碳酸锰为前驱体,先用高锰酸钾溶液氧化成MnCO3核-MnO2壳结构,后用盐酸将核溶解留下MnO2 壳,最后煅烧得到Mn2O3中空结构[3]。2014年Manoj Pudukudy等人通过水热生长的MnCO3微球的直接热分解合成新型介孔α-Mn2O3微球,而不使用任何孔/结构导向剂[4]。因此,若采用此种工艺制备出的锰氧化物作为前驱体,之后找到一种合适的钙钛矿的制备方法,就能制备出和前驱体形貌相似的钙钛矿型复合氧化物。
目前,有很多学者进行关于钙钛矿的制备方法以及应用的研究,已有的钙钛矿催化剂制备方法中,如固相法[5]、水热合成法[6]、溶胶-凝胶法[7]、硬模板法[8]等,部分存在制备过程复杂、制备周期长、煅烧温度过高等缺点。熔盐法作为一种无机材料的制备方法,熔盐作为反应介质熔融后提供一种液体反应环境,从而加速反应的进程。固相法由于样品反应时的界面反应而需要提供额外的能量,而熔盐法不需要,可以在较低的温度和较短的时间内制备预期产物。另外,当采用和固相反应相同的原材料制备样品时,由于熔盐法相当于在液相反应介质中进行,产率将会更高。刘等人分别以熔盐法,固相法,溶胶凝胶法于不同条件下制备SrCeO3与BaCeO3,结果显示,在固相反应条件下,分别在1450℃保温24h及1300℃煅烧5h才能合成SrCeO3相与BaCeO3相。虽然采用溶胶凝胶法在一定程度上也能降低合成温度,但是仍需1000℃以上才能合成SrCeO3相与BaCeO3相。而采用熔盐法时,在750℃即可制备出块状立方结构SrCeO3,和在850℃制备出立方结构BaCeO3[9]。简而言之,熔盐法制备样品有以下优势:合成产品的产率高,资源消耗少;降低合成温度,缩短反应时间;更好控制样品的形貌。据文献报道,已有关于熔盐法制备特定形态钙钛矿型氧化物的报道。2009年陈等人通过简单盐辅助溶液燃烧工艺在300℃下制备了LaMnO3单晶纳米立方体[10]。2013年Leonid Vradman等人在600℃下的LiCl和KCl形成的盐浴中,以La(NO3)3·6H2O和Mn(NO3)2·4H2O为原料反应3h,制备了片状的LaMnO3[11]。2014年王等人探索了形态可控的熔盐法制备技术,以多孔Mn2O3球作为模板,合成了多孔球形LaMnO3和立方LaMnO3纳米颗粒[12]。2018年黄等人使用MnO2模板,在共融NaNO3-KNO3中获得多孔球形LaMnO3和LaMn0.8Fe0.2O3[13]。2018年潘等人分别用球形和立方MnCO3模板,以一步熔盐法合成了多孔La0.8Sr0.2Mn1-xCuxO3(0≤x≤0.4)微球和La0.8Sr0.2MnO3纳米立方体[14]。从而,采用熔盐法在相对较低温度下获取特定形貌的钙钛矿氧化物的方法是可行的。因此,采用制备的锰盐和锰氧化物作为前驱体,采用熔盐法,选择金属硝酸盐作为反应介质,通过调节煅烧温度和保温时间,就能制备出和前驱体形貌相似的LaMnO3钙钛矿型氧化物,同时对汽车尾气中的CO具有较高的催化净化作用。
以上是毕业论文大纲或资料介绍,该课题完整毕业论文、开题报告、任务书、程序设计、图纸设计等资料请添加微信获取,微信号:bysjorg。
相关图片展示:







您可能感兴趣的文章
- 改善锂离子电池中硅基负极存储性能的策略研究外文翻译资料
- 通过添加压电材料BaTiO3提高大功率锂离子电池的微米级SiO @ C/CNTs负极的电化学性能外文翻译资料
- Pd和GDC共浸渍的LSCM阴极在固体氧化物电解池高温电解CO2中的应用外文翻译资料
- 利用同步回旋加速器粉末衍射的方法来研究在有其他物相的情况下C4AF的水化作用外文翻译资料
- 外国循环流化床锅炉发展现状外文翻译资料
- 含石蜡基复合材料的多壁碳纳米管的热性能外文翻译资料
- 矸石电厂炉渣机制砂的应用研究外文翻译资料
- 机动车螺旋弹簧的失效分析外文翻译资料
- 从废阴极射线管和锗尾矿制备高强度玻璃泡沫陶瓷外文翻译资料
- 作为导热液体的液态金属在太阳能储热中的应用外文翻译资料


