固化条件对侧增韧环氧沥青性能及相容性的影响毕业论文
2020-02-19 15:32:13
摘 要
环氧沥青,是由环氧树脂、固化剂与基质沥青经化学反应所得的复合材料,相比较普通沥青,环氧沥青具有更好的韧性和抗疲劳性能,通常用于长跨径大型桥梁铺装。但是纯的环氧树脂固化后形成的固化物是一种三维网状结构,质脆韧性差,同时环氧树脂和沥青两者相容性较差。因此,要制备性能优异的环氧沥青需要在提高韧性的同时提高二者相容性。于是柔性侧链增韧成为一种较好的增韧方法。
本实验通过将不同长度的柔性侧链引入环氧沥青网络,探究不同侧链长度对环氧沥青增韧效果的影响,以及温度对同一侧链长度的环氧沥青固化物性能的影响。实验选用十二胺、十八胺、油胺作为三种不同增韧剂。利用DMA测试分析研究样品力学性能,红外光谱测试分析温度对反应程度的影响,TG热重分析样品上、下两部分组成从而研究环氧树脂与沥青相容性。
测试结果表明增韧剂能明显改善环氧树脂的韧性和粘弹性。随着侧链长度增加,固化环氧树脂的粘弹性和韧性都会增加,并且同一增韧剂在较长时间下固化的效果会更好。若增韧剂中含碳碳双键,样品性能也会进一步提高。但是固化温度的改变对最终产品的韧性影响并不大。同时增韧剂还能提升固化环氧树脂和基质沥青的相容性,随着增韧剂侧链长度增加,固化环氧树脂和沥青的相容性也会得到提高。
关键词:环氧树脂;固化反应;增韧;环氧沥青;相容性
Abstract
Epoxy asphalt is a composite material obtained by chemical reaction of epoxy resin, curing agent and matrix asphalt. Compared with ordinary asphalt, epoxy asphalt has better toughness and fatigue resistance. It is usually used for long span large bridges. Installed. However, the pure epoxy resin has a three-dimensional network structure after curing, and the brittleness and toughness are poor, and the compatibility between the epoxy resin and the asphalt is poor. Therefore, it is necessary to improve the toughness while improving the compatibility of the epoxy asphalt having excellent properties. Therefore, the toughening of the flexible side chain becomes a better toughening method.
In this experiment, the effects of different side chain lengths on the toughening effect of epoxy asphalt and the effect of temperature on the performance of epoxy asphalt cured products with the same side chain length were investigated by introducing flexible side chains of different lengths into the epoxy asphalt network. The experiment used dodecylamine, octadecylamine and oleylamine as three different toughening agents. The mechanical properties of the samples were studied by DMA test, and the composition of the upper and lower parts of the samples was analyzed by infrared spectroscopy to study the compatibility of epoxy resin with asphalt.
The test results show that the toughener can significantly improve the toughness and viscoelasticity of the epoxy resin. As the length of the side chain increases, the viscoelasticity and toughness of the cured epoxy resin increase, and the same toughening agent will cure better over a longer period of time. If the toughener contains carbon-carbon double bonds, the performance of the sample will be further improved. However, the change in curing temperature has little effect on the toughness of the final product. At the same time, the toughening agent can also improve the compatibility of the cured epoxy resin and the matrix asphalt. As the side chain length of the toughening agent increases, the compatibility of the cured epoxy resin and the asphalt is also improved.
Key words: epoxy resin; curing reaction; toughening; epoxy asphalt; compatibility
目 录
第1章 绪论 1
1.1 研究背景 1
1.1.1 环氧沥青 1
1.1.2 环氧沥青应用 3
1.2 国内外研究现状 4
1.3 本课题主要研究内容 5
第2章 实验部分 6
2.1实验原料 6
2.2 反应机理 7
2.3 实验仪器 8
2.4 实验过程 9
2.4.1 固化环氧树脂的制备 9
2.4.2 环氧沥青的制备 9
2.5 性能表征 9
2.5.1 红外光谱测试 9
2.5.2 动态热机械分析 9
2.5.3 热重分析 10
第3章 测试结果分析讨论 11
3.1 红外光谱分析 11
3.2 DMA测试结果 12
3.3 热重分析结果 19
第4章 总结与展望 24
参考文献 25
致 谢 26
第1章 绪论
1.1 研究背景
1.1.1 环氧沥青
沥青是一种常见的路面铺装材料,由于施工简单应用非常广泛,日常生活中我们能经常见到沥青道路铺设现场。在各种桥梁的建设中,沥青也常常作为桥面的铺设材料。然而由于沥青分子量和极性变化很大,高温时容易变软,低温时容易开裂,这也就是为什么我们常常发现沥青路面出现破损情况[1-3],于是普通沥青很难达到大跨径桥梁的桥面铺装材料的使用要求。为了解决这些问题,需要进行沥青改性研究,其中一个研究重点便是环氧沥青。与普通沥青相比,环氧沥青具有更好的强度和韧性、在高温和低温性能均较为稳定、耐久性高、抗疲劳性能好等优良特性。同时,环氧沥青材料和钢板的线性收缩系数很接近,温度变化时不会发生铺装层破坏[4-5]。
环氧树脂是一种单体改性剂,将环氧树脂、固化剂、基质沥青等原料经过一系列化学反应即可得到环氧沥青材料。环氧树脂是脆性的,与之相对的,沥青的柔韧性很高,加入环氧树脂后,环氧沥青的韧性便由固化剂决定。环氧树脂与固化剂反应,得到固化环氧树脂是一种三维网络结构,很脆且韧性不好,耐疲劳性和耐热性均达不到实际应用的使用要求。同时环氧树脂和沥青由于物化性质相差很大,相容性很差,两种物质直接混合易发生时分离现象,不能很好起到改进沥青性能的作用[6-7]。如何在提高环氧树脂韧性同时提高环氧树脂和沥青相容性是制备环氧沥青的一大难题。
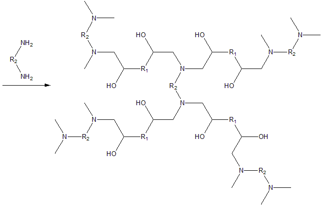
要制备高性能的环氧沥青,首先要解决环氧树脂韧性不足的问题。目前提高环氧树脂的韧性方法主要有[8-11]:(1)橡胶类弹性体增韧环氧树脂。橡胶中的活性基团与环氧树脂中的活性基团反应,生成链段。这是目前理论和实际应用最为成熟的一种方法。主要使用的橡胶类树脂有端羧基丁腈橡胶、聚硫橡胶等。(2)热塑性塑料增韧环氧树脂。80年代起,有关于利用这种方法对环氧树脂进行增韧的研究开始进行。高性能热塑性聚合物有很好的韧性和很高的弹性模量,耐热性也较高 ,用来改性环氧树脂,能很好增强环氧树脂的韧性,同时还不降低刚度和耐热性。这种改性树脂与环氧基体反应,可提高最终得到的固化环氧树脂复合材料的疲劳性能和韧性,并能提高其使用温度,使固化环氧树脂得以运用于高温环境下(3)液晶聚合物增韧。液晶聚合物中含有大量的刚性介晶单元和一定柔性链段,这种结构特点使它具有高模量和高强度。液晶聚合物增韧主要分成热致型和溶致型两种,而其中溶致型不能熔融加工 , 且往往只能溶解在十分苛刻的强极性溶剂中,所以针对这种方法的研究较少,目前使用较多的是溶致型液晶聚合物,且在众多科研工作者的共同努力下取得了很多进展。(4)利用互穿网络结构进行增韧。组成和构型不同的均聚物或共聚物与环氧树脂发生反应形成互传网络,一种材料贯穿到另一种当中,这种贯穿是无规则的,使两组分产生协同效应从而产生出比一般共混物更加优异的性能。(5)柔性链段增韧(6)无机纳米材料增韧(7)氨基酸改性增韧。虽然增韧方法有很多,但是上述方法中如果要同时达到增韧和提高相容性目的,方法只有引入柔性侧链对环氧树脂进行增韧。大分子增韧剂与环氧树脂发生固化反应时其柔性链段键合到三维交联网络中,在固化过程中产生微观相分离,使三维网状结构变成两相结构,在提高环氧树脂韧性的同时,还简化了成型工艺。固化反应时,侧链的羟基与环氧树脂中的环氧基进行反应, 通过这种方法将柔性侧链引入环氧主链 ,以此来降低环氧树脂黏度,使环氧树脂与沥青的相容性大大提高。
虽然通过引入柔性侧链增韧环氧能达到较好效果,然而在实际应用中,目前环氧树脂的研究还存在以下方面几个问题:
- 固化剂的选择。环氧树脂的固化物最终的性能与固化剂的种类有密不可分的关系。若固化速度过快,施工时来不及操作;反应速度合适时有的固化剂生成的最终产物的力学性能方面又达不到要求;还有的固化剂则很高的反应温度,在实际操作中并不可行。同时不少固化剂有一定毒性,考虑到安全因素并不能得到广泛使用,因此找到一种合适的固化剂很有难度。
- 沥青基质与环氧树脂的相容性很差。要让环氧树脂溶于沥青必须另外加入一种介质,同时大面积的铺设必须考虑到成本问题,选择何种物质既能满足工艺要求又能降低成本是一大问题。
- 各组分比例确定。很多时候相对比例是很矛盾的,性能和配比并不是成简单的线性关系,增加环氧树脂的配比能够改善产物性能但是会极大增加成本。要考虑多方面因素,必须通过实验才能确定何种比例才能达到最好效果,这就给实际施工带来了很大难度。
- 环氧沥青配制工艺。与普通沥青材料相比,环氧沥青材料的配置工艺复杂得多。最后材料的性能不光与温度和计量准确度有关,各组分加入的顺序也对最终性能有很大影响。环氧沥青的实际应用对配制工艺有很高要求,使应用受限。
- 施工工艺困难。虽然环氧沥青拌制不算困难,但是对温度和时间的控制有严格要求。环氧沥青混凝凝土材料拌制完后必须在最初固化时间内完成运输和铺设过程。一旦超过固化时间则无法进行后续铺设操作,而普通沥青混凝凝土材料则没有这一要求。
上述各种问题导致环氧沥青造价昂贵,尽管性能优异却不能投入到更加广泛的应用中,目前最主要应用于长跨径大型桥梁的铺设。尽管成本较高,但从长远角度看,环氧沥青的优异性能使其使用寿命极大延长,且避免了经常翻修。但是在其他方面的应用并不算广泛,如何降低成本是使环氧沥青得到广泛应用必须要解决的一大难题。
1.1.2 环氧沥青应用
随着科技日益进步,越来越多的大跨径钢桥的建立极大方便了人们的日常出行。大跨径钢桥有斜拉和悬索两种。从我国实际情况来看,桥面多采用正交异性钢桥面板设计。正交异性钢桥面,是由开口或闭口钢焊接到钢板下面的加劲钢板形成桥面板。桥面既有承载车轮的作用,同时作为主梁的一部分,与主梁一起工作。正交异性钢桥面板除了自重较轻,能铺设较长桥面外还具有高强度、高模量和自增强等优异的性能等优势,所以广泛应用在大跨径钢桥的桥面设计中[12-14]。
然而正交异性钢桥面板在桥面铺装技术上面临着难题。随着经济发展,交通量不断增加,近年来极端气候也不断出现,两种问题都很大程度上影响桥面铺装层寿命,例如九江长江大桥桥面的严重损坏。为解决这一问题研究者们想了很多办法,研制出了和很多新的材料,目前钢桥面使用的铺装材料主要有浇注式沥青混合料 、环氧沥青混合料和改性沥青玛蹄脂碎石混合料三种。
浇注式沥青混凝土是采用硬质沥青和高剂量矿粉,在高温下长时间搅拌所得。优点主要有耐久性好 ,粘韧性好 ,适应性强 ,能很好配合桥面变形,在国外使用较为广泛。然而当交通量过大或者持续高温时易发生变形,如我国的江阴大桥采用这种材料不久就发生开裂等情况不得不进行多次修补,所以并不适用于气温变化很大或高温地区。
改性沥青马蹄脂是由碎石混合料粗集料形成骨架,矿粉、沥青等其他物质填到碎石形成的骨架空隙当种,所得沥青混合料较为密实,在高温下也较为稳定,武汉军山长江大桥即采用这种设计。然而这种铺设方案虽然是三种方案中单位厚度造价最低的,但是由于结构特性需要的铺设厚度也是三种方案中最大的,并且该种材料虽然具有一定的高温稳定性但也并不属于高温热固性材料,并没有从根本上解决沥青存在的性能问题,所以在夏季气温过于炎热时,桥面往往也会出现问题需要频繁翻修,如采用这种设计的厦门海沧大桥就出现过桥面破损情况。考虑各种因素这种设计其实并不是最合算的。
而环氧沥青是将环氧树脂、固化剂及其他添加剂掺入沥青中的一种复合材料,环氧树脂经过固化反应形成一种热固性材料,沥青分散其中,从而沥青的热塑性转变为环氧沥青体系的热固性,从根本上改善沥青结构,使其力学性能有了很大的改变。目前国际上普遍使用美国环氧沥青以及日本环氧沥青。我国最先采用环氧沥青铺装材料来对桥面进行铺设的是南京长江二桥,2001年以来,经过长期高低温气候的交替和交通量的不断增加的考验仍未出现大面积破损情况,使用状况仍然良好。尽管与传统沥青材料相比,环氧沥青的造价昂贵且在三种材料中也是成本最高的,但是从长远角度来看,由于其性能优异极大减少了维护成本也极大延长了使用寿命,仍然具有很高的效益。
1.2 国内外研究现状
国外上世界五十年代末,由美国壳牌公司为解决机场路面问题开发了环氧沥青,主要用于机场路面铺设。该环氧沥青为双组分材料,A组分是环氧树脂,B 组分是其他原料组成的混合物,石油沥青、固化剂及其他助剂等。使用时需将 A、B组分分别加热,温度保持120 ℃ ,将两组分进行混合均匀。这种方法制备的环氧沥青的力学性能较好,使用寿命长,但在路面铺装过程中需要严格控制拌和温度不能高于 120 ℃ ,并对施工效率要求很高,需要在拌和完成后50 min 内铺装完成。在60年代开始环氧沥青被应用于桥面铺设。70年代日本也开始了相关方面研究,由于环氧沥青对温度和时间要求严格,直到90年代才取得进展。日本公司采用的是柔性环氧,抗变形能力好,不易留下车辙。目前环氧沥青应用最广泛的国家是美国,高质量的环氧沥青制备技术仍掌握在美国和日本手中[15]。两个国家的制备方法也有一定区别。

上世纪90年代起,我国同济大学最早进行环氧树脂相关研究,并设计了一条实验路,但是工艺并不成熟,也并未得到广泛的实际应用。最初环氧沥青在我国并不是用于桥面铺设而是用于屋顶铺装。21世纪初,随着美国环氧沥青的引入并投入实际应用,国内的相关研究也引起了越来越多研究人员的重视。东南大学利用脂肪族二元酸作为固化剂制备得到高性能产品,并在武汉和上海两地的桥面进行铺设,得到了实际应用。然而因为产品中环氧树脂和沥青的配比偏低,因此性能并不是很好。长沙理工大学选用双酚A型环氧树脂和固化剂制备得到环氧沥青产品并对路面性能进行了测试,取得了一定研究进展。随后各高校也选用不同的增韧剂、固化剂在制备得到了不同的环氧沥青样品,研究主要集中在增韧剂的选择和对最终环氧沥青性能影响等方面。黄逸舟通过单端脂肪胺与环氧基团反应制备了一系列带有不同含量、不同长度柔性侧链的环氧树脂体系,采用万能试验机分析其力学性能,研究结果表明进行侧增韧的环氧树脂的拉伸强度、断裂伸长率等力学性能均得到极大提高;雷辉斌等人以正十六胺为增韧改性剂,利用环氧树脂的环氧基团与正十六胺的氨基反应,引入脂肪侧链,合成了含柔性脂肪侧链的环氧树脂,测试性能时发现,环氧树脂的耐冲击性、柔韧性明显提高[16]。但是总的来说我国有关方面研究仍处于起步阶段,技术方面的不成熟阻碍了环氧沥青更为广泛的应用,目前环氧沥青来源主要还是依靠进口。环氧沥青的广泛应用需要更多科研人员的努力。
1.3 本课题主要研究内容
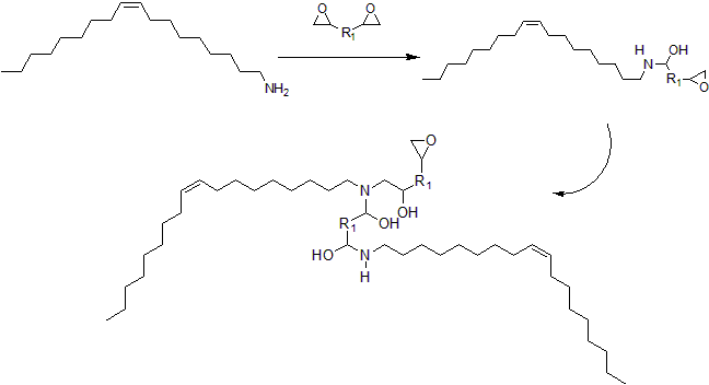
查阅资料后,本实验决定选用不同链长的增韧剂(十二胺、十八胺、油胺)来进行实验,探究温度对固化环氧树脂性能的影响,以及增韧剂链长对环氧树脂的影响。将环氧树脂混和沥青探究增韧剂链长对环氧沥青相容性的影响。环氧沥青是一种两相固化物,以固化的环氧树脂为连续相,沥青作为分散相。环氧树脂形成交联网络,基质沥青则分布在其中,这样做能从根本上改变了沥青的热塑性质。从降低成本方面来说,环氧沥青中沥青的配比越高成本越低,但环氧树脂交联网络所能容纳的沥青是有限的,沥青的含量并不是越高越好。固化环氧树脂量确定时,沥青含量增加,越来越多的沥青无法进入交联网络,固化物的表面粘度增大,相容性变差,固化物弹性降低,力学性能下降,达不到沥青改性的目的。为此需要选则合适的环氧树脂于沥青的配比,查阅资料后,决定将固化环氧树脂与沥青配比定为7:3。采用80 ℃/2 h 100 ℃/2 h 120 ℃/2 h, 80 ℃/2 h 100 ℃/2 h 120 ℃/2 h 150 ℃/2 h,80 ℃/2 h 100 ℃/2 h 120 ℃/4 h这三种升温方式。利用DMA(动态力学分析仪)分析研究样品的储能模量和损耗模量以及损耗角正切数据,从而了解环氧沥青耐高温的原理,探究固化条件对环氧树脂力学性能的影响;通过红外光谱测试探究温度对反应程度的影响;利用TG热重分析研究样品上、下部分的环氧树脂/沥青的含量,以判断样品中环氧树脂和沥青的相容性的改变,进而确定适合的固化条件。综合上述实验测试来研究固化条件对侧增韧环氧沥青性能及相容性的影响。
第2章 实验部分
2.1 实验原料
表2.1 实验原料
实验药品 | 纯度 | 生产厂家 |
E-51环氧树脂 | 分析纯 | 南通星辰合成材料有限公司 |
油胺 | 分析纯 | 阿拉丁 |
2-乙基-4-甲基咪唑 | 分析纯 | 济南澳新化工有限公司 |
十二胺 | 分析纯 | 广东翁江化学试剂有限公司 |
十八胺 | 分析纯 | 天津大茂化学试剂厂 |
沥青 | 70# | —— |
N’N-二甲基十六烷-1-胺 | 分析纯 | 麦克林试剂 |
实验选用的环氧树脂属于双酚A环氧树脂,此类环氧树脂原材料来源广泛,成本低,产量大应用也最为广泛。化学结构如图所示:

从环氧树脂的化学结构不难看出,环氧树脂两端含有活泼环氧基,主链上有很多醚键和大量的苯环、次甲基和异丙基,是一种线性聚醚结构;n值很大时主链上有规律的分布着仲羟基,可以看成一种长链多元醇。这种化学结构决定了它具有很好的工艺性能,有很高的强度和粘连性。双酚A型环氧树脂虽然是一种热塑性树脂,但具有热固性,能和其他物质等形成性能优异的固化物。但是这一结构也决定了环氧树脂不具有很高的韧性。
以上是毕业论文大纲或资料介绍,该课题完整毕业论文、开题报告、任务书、程序设计、图纸设计等资料请添加微信获取,微信号:bysjorg。
相关图片展示:







您可能感兴趣的文章
- 改善锂离子电池中硅基负极存储性能的策略研究外文翻译资料
- 通过添加压电材料BaTiO3提高大功率锂离子电池的微米级SiO @ C/CNTs负极的电化学性能外文翻译资料
- Pd和GDC共浸渍的LSCM阴极在固体氧化物电解池高温电解CO2中的应用外文翻译资料
- 利用同步回旋加速器粉末衍射的方法来研究在有其他物相的情况下C4AF的水化作用外文翻译资料
- 外国循环流化床锅炉发展现状外文翻译资料
- 含石蜡基复合材料的多壁碳纳米管的热性能外文翻译资料
- 矸石电厂炉渣机制砂的应用研究外文翻译资料
- 机动车螺旋弹簧的失效分析外文翻译资料
- 从废阴极射线管和锗尾矿制备高强度玻璃泡沫陶瓷外文翻译资料
- 作为导热液体的液态金属在太阳能储热中的应用外文翻译资料


