BiAlO3基储能薄膜结构与性能研究毕业论文
2020-02-19 15:32:06
摘 要
电介质电容器比其他储能设备具有长寿命,高效率,短的充放电时间等优势,而电介质材料的介电常数和击穿强度是影响电容器储能性能的主要因素。研究新的电介质材料来提高电容器的储能密度成为了一个重要的课题。铝酸铋(BiAlO3)是近年发现的一种新型钙钛矿结构无铅压电材料,本课题采用溶胶凝胶法合成BiAlO3基薄膜,主要研究改变退火工艺对BiAlO3基薄膜结构与性能的影响,对其应用在高储能方面的实际意义进行研究探索。
本文主要分为三个部分。第一部分,结合当前社会背景对课题研究的目的和意义进行论述,并利用图例阐明一些相关理论知识。第二部分,介绍实验所使用到的材料、仪器以及研究方法,其中利用表格和流程图更直观地补充说明。第三部分,课题主要从退火时间、退火温度、退火层数和退火方式这四个方面对BiAlO3基薄膜的结构和性能进行了研究分析,这也是论文最主要的部分。其中具体采用X射线衍射分析仪(XRD)测试BiAlO3薄膜的物相,原子力显微镜(AFM)观察BiAlO3薄膜的表面形貌和表面粗糙度,以及扫描电子显微镜(SEM)观察BiAlO3基薄膜的断面。此外,还采用了精密阻抗分析仪测试BiAlO3薄膜的介电性能,得到介电常数和介电损耗。利用铁电测试仪器测试BiAlO3薄膜的铁电性能,并由电滞回线通过积分计算得到BiAlO3薄膜的储能密度。
根据AFM和SEM图谱,退火温度为500 ℃的6层薄膜高度基本在-1.5 nm至2 nm之间,其粗糙程度小,平整度好且致密度高。通过实验数据的分析计算表明,在晶化温度为500 ℃,退火时间2 min,退火层数为6层的经过一次退火的BiAlO3基薄膜在击穿场强 2801.20 kV/cm 时充电储能密度达到24.35 J/cm3,放电储能密度到18.58 J/cm3。研究发现在相同条件下,一次退火和层层退火得到薄膜的储能密度差异不大,但是前者节约了极大的时间成本和能源消耗。
关键词:储能性能;BiAlO3基薄膜;铁电性能;介电性能
Abstract
Dielectric capacitors have advantages over other energy storage devices such as long life, high efficiency, short charge and discharge time, etc., and the dielectric constant and breakdown strength of dielectric materials are the main factors affecting the energy storage performance of capacitors. It has become an important issue to study new dielectric materials to increase the energy storage density of capacitors. Bismuth aluminate (BiAlO3) is a new lead-free piezoelectric material with perovskite structure discovered in recent years. The BiAlO3 based thin film was synthesized by sol-gel method. The effect of annealing process on the structure and properties of BiAlO3 based film was studied to explore the practical significance of its application in high energy storage.
This article is divided into three parts. The first part, based on the current social background, discusses the purpose and significance of the research, and uses the legend to clarify some relevant theoretical knowledge. The second part introduces the materials, instruments, and research methods used in the experiment, which are more intuitively supplemented with tables and flowcharts. In the third part, the research focuses on the structure and properties of BiAlO3 based films from four aspects: annealing time, annealing temperature, annealing layer and annealing method. This is also the main part of the paper. The phase of BiAlO3 film was measured by X-ray diffraction analyzer (XRD). The surface morphology and surface roughness of BiAlO3 film were observed by atomic force microscopy (AFM), and the cross section of BiAlO3 film was observed by scanning electron microscope (SEM). In addition, a precision impedance analyzer was used to test the dielectric properties of the BiAlO3 film to obtain a dielectric constant and a dielectric loss. The ferroelectric properties of the BiAlO3 film were tested by a ferroelectric tester, and the energy storage density of the BiAlO3 film was calculated by integrating the hysteresis loop.
According to the AFM and SEM spectra, the thickness of the 6-layer film with an annealing temperature of 500 °C is basically between -1.5 nm and 2 nm, and the roughness is small, the flatness is good, and the density is high. The experimental data show that the charge energy density of the annealed BiAlO3 based film with a crystallization temperature of 500 °C and an annealing time of 2 min and an annealing layer of 6 layers at a breakdown field strength of 2801.20 kV/cm 24.35 J/cm3, discharge energy density to 18.58 J/cm3. It is found that under the same conditions, the energy storage density of the film obtained by one annealing and layer annealing is not much different, but the former saves great time cost and energy consumption.
Key Words:energy storage performance; BiAlO3 based film; ferroelectric properties; dielectric properties
目 录
摘 要 I
Abstract II
第1章 绪论 1
1.1 课题背景及研究目的与意义 1
1.2 铁电体相关理论 2
1.2.1 电介质极化 2
1.2.2 介电常数 3
1.2.3 电滞回线P-E 3
1.2.4 BiAlO3铁电材料 4
1.3 高储能材料研究进展 5
1.4 课题主要研究目标 6
第2章 实验材料及研究方法 7
2.1 实验材料及仪器 7
2.1.1 实验材料 7
2.1.2 实验设备与仪器 7
2.2 实验过程 8
2.2.1 薄膜的制备 9
2.2.2 顶电极的制备 9
2.2.3 薄膜的性能测试 10
第3章 退火温度对BiAlO3基储能薄膜结构与性能影响 11
3.1 引言 11
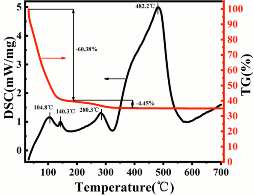
3.2 前驱体溶液的同步热分析 11
3.3 退火温度对BiAlO3基储能薄膜结构的影响 12
3.3.1不同退火温度的BiAlO3的物相结构 12
3.3.2不同退火温度的BiAlO3的显微结构. 12
3.4 退火温度对BiAlO3基储能薄膜性能的影响 13
3.4.1不同退火温度的BiAlO3的介电性能 13
3.4.2不同退火温度的BiAlO3的储能性能 14
3.5 本章小结 15
第4章 退火时间对BiAlO3基储能薄膜结构与性能影响 16
4.1 引言 16
4.2 退火时间对BiAlO3基储能薄膜结构的影响 16
4.2.1不同退火时间的BiAlO3的物相结构 16
4.2.2不同退火时间的BiAlO3的显微结构. 16
4.3 退火时间对BiAlO3基储能薄膜性能的影响 17
4.3.1不同退火时间的BiAlO3的介电性能 17
4.3.2不同退火时间的BiAlO3的储能性能 18
4.4 本章小结 19
第5章 退火层数对BiAlO3基储能薄膜结构与性能影响 20
5.1 引言 20
5.2退火层数对BiAlO3基储能薄膜结构的影响 20
5.2.1不同退火层数的BiAlO3的物相结构 20
5.2.2不同退火层数的BiAlO3的显微结构 20
5.3退火层数对BiAlO3基储能薄膜性能的影响 21
5.3.1不同退火层数的BiAlO3的介电性能 21
5.3.2不同退火层数的BiAlO3的储能性能 22
5.4 本章小结 23
第6章 退火方式对BiAlO3基储能薄膜结构与性能影响 24
6.1 引言 24
6.2 退火方式对BiAlO3基储能薄膜结构的影响 24
6.2.1不同退火方式的BiAlO3的物相结构 24
6.2.2不同退火方式的BiAlO3的显微结构 24
6.3 退火方式对BiAlO3基储能薄膜性能的影响 25
6.3.1不同退火方式的BiAlO3的介电性能 25
6.3.2不同退火方式的BiAlO3的储能性能 26
6.4 本章小结 27
第7章 总结 28
参考文献 29
致 谢 31
附录1 32
附录2 33
第1章 绪论
1.1 课题背景及研究目的与意义
随着化石能源的日渐消耗和人类环保意识日益增强,开发新能源已成为必然趋势。自然界中被开发用来替代化石能源发电的更清洁的可再生能源有很多,如风能、太阳能、潮汐能等等,但这些能源有着转化效率低、分散程度高、不稳定性等弊端,使得其难以应用于实际中。例如,交通运输领域以及大型电网基建领域等常常需要大规模电能存储技术,比如:抽水蓄电技术、超导电磁储能、铅酸电池技术等等[1]。除此之外,人们对电能的使用有很强的时间依赖性,这便会对电能的存储、吸收和供应设备有很高的要求,研发更高效便捷的储能技术势在必行。
根据储能时间来看,商业中的储电装置一般分为短期(如电池)和长期(如电容器)两类。如图1.1所示,普通电池和燃料电池储能密度分别为10-300 W·h/kg和200-1000 W·h/kg,但是其功率密度一般低于500 W/kg,这是因为电荷载体的移动较为迟缓。所以电池主要用于提供长期且稳定的能量,但这限制了其在高功率系统中的应用。电化学超级电容器能够提供很高的功率密度 (101-106 W/kg),但是其放电过程依然需要几秒甚至几十秒。相比之下,电介质电容器能够提供一个非常高的功率密度 (高达108 W/kg) 以及极快的放电速度 (毫秒甚至微秒)[2,3],所以电介质储能电容器具有的长寿命,高效率,短的充放电时间等优势。电容器是由两块导电的极板和中间的电介质材料组成,对于电容器来说,电介质通过利用外加电场来获得储存电能的特性。电容器的储能能力和电容有关,而电容又取决于电介质的结构和介电常数。所以总而言之,电介质电容器中,电介质的相关参数直接决定着电容器的性能好坏。

图1.1 不同储能装置功率密度与能量密度的函数关系图
铁电压电材料是非常重要的功能材料,其在工业和社会发展中都起着十分重要的作用。根据资料表明,高储能密度电介质材料的研发和应用到目前为止只有60多年的历史,而多数被应用的电介质材料是含铅的铁电压电材料[4]。含铅铁电压电材料虽然具有类型丰富、性能优异、成本低廉等优势而被广泛应用。但是氧化铅是一种易挥发的有毒物质,在生产、使用及废弃的这些过程中,其会对人体健康及环境会造成不利的影响,而且当下提倡的是绿色可持续发展观念。此外,含铅的材料的居里温度低,耐疲劳性能差。再者,随着计算机网络的快速发展,现代社会需要微电子器件向小型化,集成化和轻量化的快速转变,即需要薄膜电容器来取代传统电容器[5]。而且与块状陶瓷等相比较而言,薄膜电介质材料通常具有更高的击穿场强。所以,开发环境友好型的无铅压电薄膜材料成为铁电压电材料学科的重要研究方向,是很有前景的。
1.2 铁电体相关理论
铁电体是指具有铁电效应的晶体。本节主要将从电介质极化、介电常数、电滞回线P-E以及BiAlO3铁电材料四个方面对铁电体的一些特性进行论述。
1.2.1 电介质极化
电介质的极化是指当把电介质物体放入电场中,中性分子受电场力作用成为按电场力方向顺序排成的电偶极子,使得电介质两端成局部带电现象,在宏观上显示出电性来。所以可以解释为什么充满电介质的电容器会比真空电容器的电容大很多。理论上来讲,理想的绝缘介质内部并不会有自由电荷,实际存在的电介质内部却是存在少量自由电荷,这也是造成电介质会漏电的原因[6,7]。
极化强度为一个矢量,其定义是物质单位体积内电偶极子电矩的矢量和。一般不同电介质的极化程度会用物理量极化强度(P)来表征,从而根据其大小来展现出电介质极化的宏观效应。一般来说,电介质极化主要包括四种极化机制,即电子和离子位移极化、弛豫极化、取向极化和空间电荷极化。其中按极化时间来看,电子和离子位移极化时间最短,空间电荷极化时间最长。在外加电场中,电介质表现出的极化强度便是这些电介质中不同的极化机制一同表现出来的。不同机制的极化强度在不同的实验条件下表现的大小程度也不同。比如空间电荷极化会随温度升高而下降。这是因为当温度升高时,离子的运动会变的剧烈,离子更容易扩散,因而空间电荷便会减少。
1.2.2 介电常数
介电常数ε(F/m)表现的是,材料中不自由的电子在外加电场作用下产生电极化从而削弱外电场的能力,其从宏观上体现了电介质的极化性质。
用数学解释介电常数,假设极化电荷建立的电场E1削弱了外电场E0,所以电介质内部的电场为E=E0-E1,定义介电常数ε=E0/E,即原外加电场(真空中)与最终介质中电场强度的比值。介电常数随物质可极化性的增大而增大,介电常数越高就说明外电场被削弱越厉害,物质的电极化越强。实际材料中自由和不自由的电子同时存在,介电常数是和非自由电子相关的,决定的是电容,只影响交流电[6]。所以物质的介电常数是指相对于真空来说增加电容器电容能力大小的度量,也是在实验数据分析中很重要的一个参数。
不是所有的电极距都是理想状态下旋转的,会有畴壁和一些缺陷等的阻碍,就会产生损耗。tanδ(损耗角正切值)代表损耗的表示。tanδ值也是选择材料和制作器件的重要依据。
以上是毕业论文大纲或资料介绍,该课题完整毕业论文、开题报告、任务书、程序设计、图纸设计等资料请添加微信获取,微信号:bysjorg。
相关图片展示:







您可能感兴趣的文章
- 改善锂离子电池中硅基负极存储性能的策略研究外文翻译资料
- 通过添加压电材料BaTiO3提高大功率锂离子电池的微米级SiO @ C/CNTs负极的电化学性能外文翻译资料
- Pd和GDC共浸渍的LSCM阴极在固体氧化物电解池高温电解CO2中的应用外文翻译资料
- 利用同步回旋加速器粉末衍射的方法来研究在有其他物相的情况下C4AF的水化作用外文翻译资料
- 外国循环流化床锅炉发展现状外文翻译资料
- 含石蜡基复合材料的多壁碳纳米管的热性能外文翻译资料
- 矸石电厂炉渣机制砂的应用研究外文翻译资料
- 机动车螺旋弹簧的失效分析外文翻译资料
- 从废阴极射线管和锗尾矿制备高强度玻璃泡沫陶瓷外文翻译资料
- 作为导热液体的液态金属在太阳能储热中的应用外文翻译资料


