CoNiP纳米片的合成及其电催化性能研究毕业论文
2020-07-07 21:55:15
摘 要
电解水制氢是解决能源危机的一个有效且收益良好的途径。因此,寻找一种高效且廉价的析氢反应电催化剂是很有必要的。金属有机骨架材料(MOFs)由于其孔隙率高、结构稳定、比表面积大等特性有着广泛的应用前景,是一种理想的前驱体。在本次实验中,我们以3D金属有机骨架为前驱体,采取一种简单有效的方法合成了具有均匀组分和独特多孔结构2D双金属磷化物纳米片CoNiP-NS,并与还原氧化石墨烯紧密结合,由此获得的CoNiP/rGO-NS在酸性介质中表现出了极好的析氢反应性能。
关键词:析氢反应;MOF;氧化石墨烯;CoNiP;纳米片
Abstract
Electrocatalytic water splitting has been recognized to be one of the most promising ways for energy conversion. Therefore, it’s necessary to find a highly active noble metal-free hydrogen evolution catalysts to make the water splitting process energy efficient and economical. Metal-organic framework (MOF), because of its variable pore sizes, well-organized structures and large specific surface area, has been demonstrated to be an excellent precursor. In this work, a general and effective approach was proposed to fabricate a new CoNi bimetallic phosphide ultrathin nanosheets (CoNiP-NS) with homogeneous composition and unique porous architecture using metal–organic framework/graphene oxide as a template and precursor. The resultant CoNiP/rGO-NS exhibits excellent HER activity in acid solution.
Key Words: HER; MOF; Graphene oxide; CoNiP; Nanosheets
目录
摘要 I
Abstract II
第一章 绪论 1
1.1 选题背景及意义 1
1.2 析氢反应机理 3
1.3 CoP的结构和性质 4
1.4 CoP在电催化制氢中的研究 5
第二章:CoNiP纳米片的制备 7
2.1 概述 7
2.2 实验部分 8
2.2.1 实验药品与仪器 8
2.2.2 实验步骤 8
2.3 表征方法 9
2.3.1 X射线衍射光谱 9
2.3.2场发射扫描电子显微镜 9
2.4 催化性能测试 9
2.4.1玻碳电极的打磨清洗 9
2.4.2电极活化 10
2.4.3催化剂的负载 10
2.4.4 电化学测试 10
第三章 结果与讨论 11
3.1 CoNiP/rGO-NS的物相组成和微结构 11
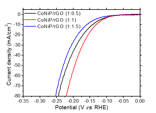
3.2 电催化性能测试 13
3.2.1 线性扫描伏安(LSV)曲线与Tafel斜率的测定 13
3.2.2 循环伏安(CV)曲线的测定 14
3.2.3 交流阻抗谱的测定 15
第四章:总结 17
参考文献 20
致谢 22
第一章 绪论
1.1 选题背景及意义
由于不断增长的人口和飞速发展的经济,能源的供求不均问题逐渐凸显并日益加重。并且,历史以来,不断累积的化石燃料的异常消耗率以及燃料碳排放导致的全球环境气候问题层出不穷。能源危机和环境污染正不断持续加峻,并对当今社会的发展造成影响[1]。因此,寻找一种资源丰富的、高效绿色的新能源替代物刻不容缓。
氢气作为一种理想的能量载体,具有清洁、高能量密度以及高储量等优点,已经成为科学研究者心目中的头号替代者,尤其是在能量转换过程中最终产物为水,不产生氮化物、硫化物等污染物。然而,目前使用的制氢技术并不完善,且主要基于化石燃料。[2]因而,传统的制氢方法并不能解决能源匮乏的根源问题。因此,当前的研究点是如何低成本、可持续、大规模在不危及环境的前提下商业化制氢。目前,有很多比较常见的制氢方法:化石燃料制氢、生物质制氢、多种化工过程制氢以及电化学析氢等等。其中,最清洁高效可循环的方法是电解水制氢,其产生的氢气纯度最高,没有温室气体排出,生成的产物还可以作为原料进行再次利用。
电解水制氢用地球上资源最多且成本最低的水资源作为原材料,其总反应:
H2O → H2 1/2O2
从理想状态说该反应是可以循环进行的,因为燃烧后的产物与制氢原料相同,都是水。电解水制氢因其制得的氢气的高纯度、低杂质、来源充足、反应条件简单,且绿色环保而得到广泛应用。但由于其对于电能消耗很大,限制了其大规模的工业使用[3]。
水电解通过以下两个电池半反应进行:阴极处氢离子的还原,即析氢反应(HER);以及阳极处水分解成氧气和氢离子,即析氧反应(OER)。乍看之下,水电解好像是一种简单无困难的生产氢气的方式,但事实并非如此。达到我们所期望的电解水制氢过程并不容易:首先,电解水过程中反应效率并不是百分之百的,反应过程中面临很多副反应,并产生各种过电位,由下式(1-1)所示的实际操作电位的公式可知包含:阳极过电位(ηa)、阴极过电位(ηc)和其他过电位(ηother),这些对电解池的法拉第效率产生极大影响。
Eop = 1.23 ηa ηc ηother(式1-1)
那么为了提高电解水的效率,核心问题是降低反应过程中的过电位。为了实现高效的水分解,不可或缺的用来降低反应活化能的物质是催化剂。Pt基催化剂是当前已知的性能最高应用最广泛的催化剂 [4-5]。但该类催化剂资源匮乏且成本极高,阻碍了它们的工业化大规模使用。因此,我们需要寻找到一种可替代的高效节能且成本低的催化剂,应用此催化剂期望能满足拥有与Pt基同等或更高的催化效率、具有较高的稳定性并同时价格低廉。在此前提下,查找文献得知,我们可以通过Thmoas F. Jaramillo等[6]研究得出的如图1-1所示的氢原子吸附吉布斯自由能的火山型结构,可以得知,吉布斯自由能最高点处是Pt原子,说明它具有最高的氢原子结合能,它可以提供快速的质子/电子转移步骤以及快速的氢释放过程。研究这张火山口曲线图,我们可以看出,Pt附近且距离其最近的非贵族金属单质为Ni、Co,这说明Co、Ni很有可能作为Pt基催化剂的良好替代物。通过阅读文献,我们可以确定, Co基催化剂被认为是一种可替代贵金属的潜在催化剂。近年来,各种地球丰富的非贵金属材料已被用作HER的替代品,如过渡金属氮化物、碳化物、硫化物、磷化物等等。其中,具有准金属特征的过渡金属磷化物已被广泛研究为有效的HER催化剂 [7-8]。

相关图片展示:







您可能感兴趣的文章
- 改善锂离子电池中硅基负极存储性能的策略研究外文翻译资料
- 通过添加压电材料BaTiO3提高大功率锂离子电池的微米级SiO @ C/CNTs负极的电化学性能外文翻译资料
- Pd和GDC共浸渍的LSCM阴极在固体氧化物电解池高温电解CO2中的应用外文翻译资料
- 利用同步回旋加速器粉末衍射的方法来研究在有其他物相的情况下C4AF的水化作用外文翻译资料
- 外国循环流化床锅炉发展现状外文翻译资料
- 含石蜡基复合材料的多壁碳纳米管的热性能外文翻译资料
- 矸石电厂炉渣机制砂的应用研究外文翻译资料
- 机动车螺旋弹簧的失效分析外文翻译资料
- 从废阴极射线管和锗尾矿制备高强度玻璃泡沫陶瓷外文翻译资料
- 作为导热液体的液态金属在太阳能储热中的应用外文翻译资料


