双圆柱绕流及涡激振动数值模拟研究开题报告
2020-02-18 20:01:15
1. 研究目的与意义(文献综述)
1.1研究背景
随着社会的发展,人们对于资源和能源的需求日益增长,并已经从陆地逐渐地转移到了海洋。在海洋资源开发利用中,各种各样的海洋工程结构物应运而生,比如海洋平台,海上风力发电装置,水下机器人等,在这些海洋结构物中,不可避免的大量使用了圆柱形结构,比如海洋平台桩腿、海洋立管、海洋系泊索等,这些圆柱形结构是海洋资源开发工程装备中的重要组成部分,在复杂的海洋环境中,极易发生破坏,引起破坏的重要原因是涡激振动。涡激振动的产生是由于流体经过结构物后,在其左右两侧产生周期性交替脱落的旋涡,使结构物受到周期性变化的升力,如果升力变化的频率与结构物的固有频率相近,就会导致共振。近年来关于海洋结构物的涡激振动的研究越来越受到重视,在数值模拟和实验方面都取得了一定的进展,但是还有很多问题亟待解决。
1.2 目的和意义
2. 研究的基本内容与方案
2.1 基本内容和目标
本文在了解圆柱绕流和涡激振动问题的相关基本理论知识和掌握ANSYS使用方法的基础上,运用数值方法对此问题开展研究。论文主要包括以下两方面的内容:
(1)运用ANSYS对二维圆柱绕流和涡激振动问题进行数值模拟,掌握绕流特性和涡激振动规律。这些特性和规律包括流场分布、涡的脱落形式、圆柱的升力系数及阻力系数分布、振动幅值等等。
(2)在单圆柱问题的基础上进行延伸,运用ANSYS对二维双圆柱的绕流和涡激振动问题进行数值模拟,研究圆柱之间的相互扰动,研究圆柱间隔距离对圆柱尾流以及涡激振动的影响。
2.2 技术方案
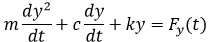
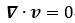
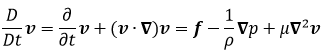
本文采用的物理模型是受弹性支撑的二维圆柱体振动模型,计算流体力学方程是不可压缩流体的连续性方程和N-S方程
| 忽略二维圆柱体的顺流向运动,其控制方程是 |
运用ANSYS建立圆柱模型和计算网络模型并进行求解,对计算结果进一步分析,研究其流场分布、涡的脱落形式、圆柱的升力系数及阻力系数分布、振动幅值等性质。ANSYS对此有成熟、可视化的后处理方法。
本文技术路线如图2所示。

图2 技术路线框图
3. 研究计划与安排
第 1-3 周 查阅相关资料,学习圆柱绕流及涡激振动的基本理论和研究现状,学习使用ansys,完成外文翻译与提交开题报告。
第 4-5 周 熟练掌握ansys的使用,并构建好二维圆柱绕流计算模型。
第 6-9 周 完成二维圆柱绕流数值模拟,并得到有效的结果。并建立二维圆柱涡激振动模型。
4. 参考文献(12篇以上)
[1] issc’2000. structural design of pipeline, riserand subsea system, special task committee v.5 report[a]. proc. of the 14thissc[c], ohtsubo, h. and sumi, y., edts., nagasaki, japan, 2002,2.
[2] hartlen r t, currie i g. lift-oscillator model ofvortex-induced vibrations[j], asce journal of engineering mechanics, 1970, 96:577-591.
[3] vandiver j k, li l. shear7 program theorymanual[r]. mit, department of ocean engineering, 1999.


