中空高比表面生物活性炭的制备及分析应用毕业论文
2020-04-25 20:26:40
摘 要
以具有中空管状结构的梧桐絮、水杉果作为前驱体,采用两步升温碳化法和氢氧化钾活化法制备出生物活性炭,研究了原材料类别和活化温度对生物活性炭性质的影响。采用X射线衍射光谱仪、拉曼光谱仪、全自动比表面积和孔径分布仪对生物活性炭的结构进行表征。结果表明,通过控制碱炭比为3:1、两步升温到700 °C、维持活化温度2 h,由BET方程计算得出所制备的生物活性炭W-400 700的比表面积为404.73 m2/g。在电化学测试中,经生物活性炭W-400 700修饰后的电极表现出良好的导电能力。
关键词:活化方法 高比表面积 生物活性炭 电极材料
Preparation and analysis of hollow high specific surface biological activated carbon
Abstract
With the use of chinar fluff and cedar fruit full of tubular structure as the precursor, the activated carbon of the birth material was prepared by two-step carbonization and potassium hydroxide activation method.. I make research on the qualities of biomass activated carbon caused by different raw materials and activation temperature. The structure of biomass activated carbon was characterized by X-ray diffraction spectrometer, Raman spectrometer, fully automatic specific surface area and pore size distribution instrument. The outcomes reveal that the specific surface area of the produced biomass activated carbon W-400 700 is 404.73 m2/g depending on controlling the ratio of alkali to carbon to 3:1, heating to 700 °C in two steps, and maintaining the activation temperature for 2 h. And W-400 700 reflects excellent electrical conductivity during electrochemical test.
Key Words:Activation methods;High specific surface area;Biomass-based carbon;Electrode materials
目录
摘要 I
Abstract II
目录 1
第一章 前言 3
1.1生物质材料的来源 3
1.2生物活性炭的制备方法 4
1.2.1化学活化法 4
1.2.2物理活化法 4
1.2.3物理-化学活化法 4
1.3生物活性炭的应用 5
1.3.1作为吸附剂的应用 5
1.3.2作为催化剂及其载体的作用 5
1.3.3作为储能材料的应用 5
1.4生物活性炭的再生 6
1.4.1加热再生法 6
1.4.2酸碱再生法 6
1.4.3有机溶剂萃取法 6
1.5 研究意义与内容 6
第二章 实验部分 8
2.1药品和仪器 8
2.2生物活性炭的制备 9
2.3样品的表征 9
2.4电化学性能测试 9
2.4.1工作电极的修饰 9
2.4.2电化学性能测试 10
第三章 结果分析与讨论 11
3.1生物质原材料结构观察 11
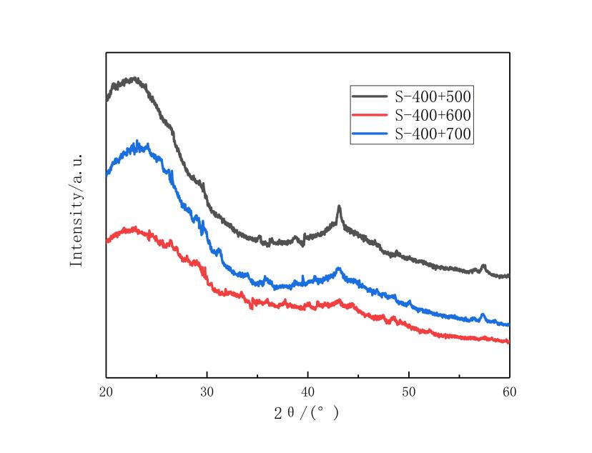
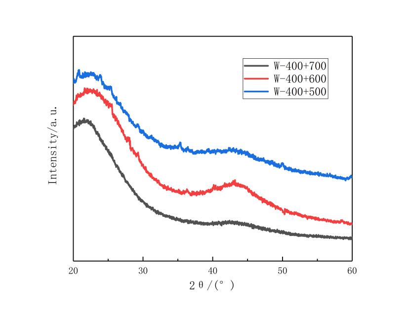
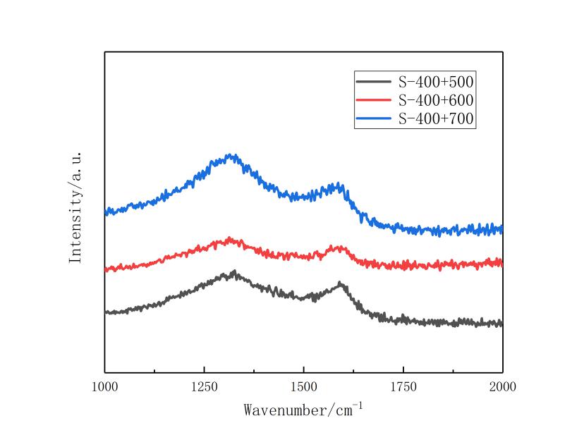
3.2石墨化程度测试 11
3.3比表面积及孔径分布分析 13
3.4电化学测试 13
3.5本章小结 14
第四章 结论与展望 15
参考文献 16
致 谢 18
第一章 前言
1.1生物质材料的来源
进入新世纪以来,为了满足全球经济发展的要求,大规模的使用一级能源,使得全球可再生能源的存储量逐年减少。由于对此类不可再生资源大肆开采,特别是煤炭等化石燃料,在经济快速发展的同时也造成全球的环境日益恶化,如全球气候变暖、海平面上升、各类动植物资源减少等,使得人们生产生活安全受到极大挑战。因此,如何减少对于不可再生资源的使用、如何开发出新型的可替代性能源以及如何满足人们的生活环境需求,成为我们全人类所共同面临的世纪难题。基于此,利用一些废弃的生物质原材料,多数为废弃的农作物(如玉米秸秆、花生壳等)开发新出新资源,不仅保护了环境,同时又探索出一条开发新的可替代性能源的途径,实现全球的可持续发展,符合全球绿色、和谐的发展理念。
对于生物质原材料,一般来说大多数都是废弃的农作物,和化石燃料等其他不可再生资源相比,具有来源广、可再生性强、成本低、经济效益高等优点,从而成为制备生物活性炭的重要物质基础[1],如花生壳[2] 、蔗渣[3] 、山竹壳[4] 、核桃壳[5]、辣椒秸秆[6]、木屑[7]等。此前,对于此类废弃农作物的处理,造成了一定程度上的环境污染并且也浪费了一部分资源。除此之外,基于人们对于生活环境要求的提高和在全球范围内寻找可代替新能源,此类废弃生物质材料的价值也日益凸显出来。
实验之初,经过查阅文献和普通光学显微镜的显微涂片观察,发现法国梧桐絮、水杉果有着天然的中空管状结构。因此,本次实验主要以法国梧桐絮、水杉果为研究材料,寄希望于探索一条开发新型资源的途径。梧桐絮在早春时期大量生长,悬浮在空气中,四处飘舞,是春季时期不可忽视的一种污染源,容易刺激呼吸道诱发哮喘、刺激皮肤诱发皮肤疾病等,给人们的生活带来了极大的困扰。同样,脱落的水杉果自然降解,也造成了资源浪费和经济损失。在此基础上将梧桐絮、水杉果经过预处理、活化、碳化后,使之成为一种新的资源,一方面可减轻对环境的污染,另一方面,也可开辟一条获得新型能源的途径,实现绿色发展,可谓一举两得。
1.2生物活性炭的制备方法
1.2.1 化学活化法
该法是利用化学试剂作为活化剂,如氢氧化钾[8],氯化锌[9-10],磷酸[11]等,将经过初步加工处理的废弃生物质原材料在上述试剂中浸泡一段时间后,置于惰性气体中加热炭化,炭化温度一般保持在400-800 °C[12] 。采用化学活化法,在一定的温度范围内,可同时实现生物质原材料的炭化和活化。本法对于化学试剂活化生物质材料机理的研究还不是很透彻,一种为人们普遍接受的理论是生物质材料中的碳氢化合物在活化过程中能够被此类化学试剂降解,生成小分子气体逸出,在生物活性炭表面形成大量大小不一的孔洞。本法制备的生物活性炭比表面积较大,据报道,赵阳[13]等采用氢氧化钾为活化试剂,维持800 °C的活化温度1 h,制备出的核桃壳基活性炭,其比表面积为1551.85 m2/g。但是,由于本法活化所使用的有机试剂的存在,造成活性炭制备过程中生成许多副产物,会对环境造成一定的影响。
1.2.2 物理活化法
本法是利用二氧化碳或者空气作为活化剂,包括两个过程,即高温裂解与活化[14]。在第一个过程中,在400-800 °C的温度范围内,生物质原材料在不活泼气体的氛围中炭化之后,即获得具有一定孔隙结构的炭。在第二个过程中,在800-1000 °C的温度范围内,采用CO₂或水蒸气对第一阶段获得的产物进行活化,活化之后孔洞数量大大增加,从而最终获得具有较大比表面积的的生物活性炭[15] 。该法的生产过程难度系数不大,且生产过程中产生的废弃物多是二氧化碳和水蒸气,所以本法对环境比较友好。
1.2.3 物理-化学活化法
本法是把上述的两种活化方法联合使用,将生物质原材料首先用化学试剂(如氢氧化钾、氯化锌和磷酸等)进行处理后,再用二氧化碳或者空气进行活化,故又称为物理-化学活化法。和上述两种活化方法相比,由该法制备得到的生物活性炭具有更发达的孔径结构和更优良的理化性质等。最近研究表明,微波辐射加热法也是一种逐渐发展起来的加热方法,Yang[16]等以椰壳作为生物质原材料,以二氧化碳为活化剂,经微波加热后制备出的椰壳基活性炭,其比表面积高达2280 m2/g 。此外,由微波加热法联合化学活化法制备得到的生物活性炭具有更均匀的孔径结构和更大的比表面积等,特别值得注意的是,本法在使用氢氧化钾作为化学试剂时,所制备出的生物活性炭表现出优越的电化学性能,为生物质材料在电化学领域的应用提供新的研究思路[17] 。
1.3生物活性炭的应用
生物活性炭作为一种新型的活性炭,应用前景广阔,在许多领域都有所使用,例如作为吸附剂,既可以吸附空气中污染物,也可以吸附液体中悬浮的杂质,此外也可以作为催化剂和储能材料应用在化学领域等。和传统的活性炭材料相比,此类活性炭在催化和电化学领域中的独特优势逐渐凹显出来[18-19]。
1.3.1 作为吸附剂的应用
生物活性炭作为吸附剂的应用,可以具体分为在气相和液相中两个方面。作为气相吸附剂,目前最主要的还是用于吸附空气中的各种污染物,如二氧化氮和二氧化硫等,据相关报道,Pietrzak[20]等以KOH为活化试剂制备出的李子核基活性炭,其对二氧化氮的饱和吸附量为67 mg/g。而对于在液相中发挥吸附作用时,尤其在水处理行业,利用活性炭吸附水体中的有色悬浮杂质进行预处理,达到净化水体的目的,市场前景十分广阔。
1.3.2 作为催化剂及其载体的作用
生物活性炭孔隙结构发达,比表面积大,在酸碱等化学环境中性质都比较稳定。生物活性炭作为催化剂应用前景比较好,在脱硫及光催化领域市场比较大。在此基础上,以生物活性炭作为催化剂的载体,将二者联合使用,可以增大催化剂与被催化物质的接触机会与面积,从而提高催化剂的活性,同时可以扩大催化剂的应用范围。例如,在光催化领域,生物质活性炭作为金属氧化物二氧化钛的载体,具有更好的稳定性与催化活性,日益被人们所重视[21-22] 。
1.3.3 作为储能材料的应用
进入新世纪以来,在储能材料的研发领域,凭借超大的功率和储能性能,超级电容器备受欢迎[23]。生物质原材料经过加工处理得到的生物活性炭,并且用作电极材料修饰电极,其电化学性能较其他用于修饰电极的材料有着明显的优点,具体来说有优良的导电和储能的性质。据报道,Wang[24]等以废弃木材为原材料,采用硝酸活化法制备出的生物活性炭,将其用于修饰电极之后,电极的电容由14 F/g上升至115 F/g,体现出良好的电化学性能。
相关图片展示:







您可能感兴趣的文章
- BN嵌入型四苯并五苯:一种工具高稳定性的并五苯衍生物外文翻译资料
 - MoS2和石墨烯作为助催化剂在增强的可见光光催化H2生产活性的多臂CdS纳米棒的作用外文翻译资料
 - 通过在BiVO4的不同晶面上进行双助剂的合理组装制备高效率的光催化剂外文翻译资料
 - 非编码RNA的固相合成研究外文翻译资料
 - 氢化驱动的导电Na2Ti3O7纳米阵列作为钠离子电池阳极外文翻译资料
 - 高能量及功率密度的可充电锌-二氧化锰电池外文翻译资料
 - 利用导电聚合物纳米线阵列来增强电化学性能外文翻译资料
 - 自支撑Na2Ti3O7纳米阵列/石墨烯泡沫和石墨烯泡沫准固态钠离子电容器电极外文翻译资料
 - 基于碳纳米管金纳米粒子辣根过氧化物酶构建的过氧化氢生物传感器毕业论文
 - 新型联二吡啶Pt(II)炔配合物的设计、合成及光物理性质研究毕业论文
 

        
            
