图案设计对芯片电极分析性能的影响毕业论文
2020-04-25 20:26:37
摘 要
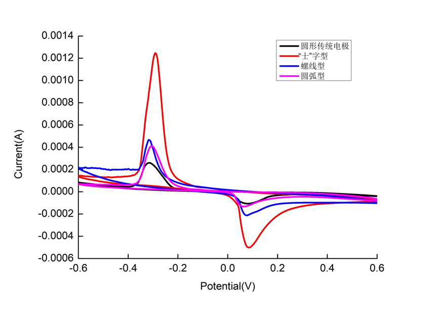
本文旨在探究平面电极宏观形状对其分析性能的影响。设计了三种集工作电极、对电极、参比电极为一体的异形芯片电极,通过COMSOL多物理场仿真软件对设计的电极进行有限元分析,模拟了电极表面及附近溶液的电场分布情况和截面电流密度分布。以丝网印刷技术制备所设计的电极,并采用循环伏安法和电化学阻抗谱法对电极的电化学性能进行测试,进而推断出工作电极与对电极间紧密交错的形态设计更利于电极表面溶液形成电势梯度差,可产生更好的物质传递效果。将最优图案电极在含有不同浓度葡萄糖的0.1 mol/L氢氧化钠溶液中进行检测,证明葡萄糖浓度与电流信号呈明显的线性关系。
关键字:平面三电极 电极形状 有限元分析 电分析化学
Effect of design on the performance of chip electrode analysis
Abstract
This paper aims to investigate the effect of the planar shape of the macroscopic electrode on its analytical performance. Three kinds of shaped chip electrodes with working electrode, counter electrode and reference electrode are designed. The finite element analysis of the designed electrode is carried out by COMSOL multiphysics simulation software. The electric field distribution and cross section of the electrode surface and nearby solution are simulated. The designed electrode was prepared by screen printing technology, and the electrochemical performance of the electrode was tested by cyclic voltammetry and electrochemical impedance spectroscopy. It was concluded that the shape of the electrode and the counter electrode were closely intertwined to facilitate the electrode surface. The solution forms a potential gradient difference, which in turn produces a better mass transfer effect. The optimal pattern electrode was detected in 0.1 mol/L sodium hydroxide solution containing different concentrations of glucose, which proved that the glucose concentration and the current signal showed a significant linear relationship.
Keywords:Planar three-electrode; Electrode shape; finite element analysis; Electroanalytical chemistry
目录
摘要 I
Abstract II
第一章 文献综述 1
1.1 平面电极概述及发展近况 1
1.1.1 平面三电极 1
1.1.2 平面叉指电极 1
1.1.3 微型平面芯片电极研究近况 2
1.2 电极制作方法 3
1.2.1 光刻蚀刻技术 3
1.2.2 丝网印刷技术 3
1.2.3 3D打印技术 4
1.3 多物理场有限元分析 4
1.4 本文思路 5
1.5 本文新颖性 5
第二章 实验部分 6
2.1 试剂与仪器 6
2.2 电极设计与制作 6
2.3 实验方法 8
2.3.1 电极表面有效电场分布的模拟 8
2.3.2 电极的预处理 8
2.3.3 电极电化学性能的测定 8
2.3.4 葡萄糖浓度的测定 9
第三章 结果与讨论 9
3.1 电极表面电场分布和电流密度的模拟 9
3.2 电极循环伏安特性的比较 13
3.3 电化学阻抗谱的测定和比较 15
3.4 计时电流法测定葡萄糖 16
第四章 结论 18
参考文献 19
致谢 24
第一章 文献综述
1.1 平面电极概述及发展近况
1.1.1 平面三电极
一个电极体系一旦有电流流过,就意味着发生反应,偏离平衡态,其电位也会随着发生变化,因此二电极体系通常只用于测量电路中没有电流流过的电位分析。在测量回路中有电流流过的分析过程中,为更好的控制研究电极的电位,一般选择引入一个新的参比电极,和原体系构成三电极体系。Ag/AgCl是一种常用的参比电极,它内部均为液体,不使用时需要浸泡在与内充液相同的溶液中以维持电位的稳定,携带起来比较麻烦,且外壳材料一般是单晶体或多晶体膜,弹性较差,比较容易破裂 [1-4]。于是,制作出携带方便且不易损坏的固态参比电极引起了较大关注。Mamińska等制作了Ag/AgCl平面电极,表面覆盖一层含有离子液体的聚氯乙烯(PVC)膜,可以保持恒定的氯化物浓度,进而保证Ag/AgCl电极电位的恒定 [5]。Lewenstam实验室则制备了涂覆聚合物膜的新型参比电极,将银纳米线、溴化银、溴化钾悬浮在含有聚氯乙烯和癸二酸二辛酯的四氢呋喃溶液中,以Ag作为基板,所制备的参比电极电势可以稳定在−157±2 mV范围内[6]。Guinovart 课题组,基底为饱和甘汞电极,在上面附着一层含Ag/AgCl、NaCl的聚乙烯醇缩丁醛膜,它的电位稳定在 99±33 µV,寿命长达四个月之久 [7]。Ag单质具有优良的导电性,而纳米银粒子(AgNPs)则具有较大的表面积与比表面积,纳米微粒呈球形结构,有利于堆积形成紧密的膜,膜层的稳定性得以提高 [8]。传统的棒状电极造价较为昂贵,且每次测定前均需耗费大量时间进行预处理。先用砂纸打磨工作电极表面,再用不同粒度的Al2O3粉末抛光,最后还要用超声清洗,费时费力,且一致性难以保证,进而影响实验的重现性和稳定性。
1.1.2 平面叉指电极
近些年来,叉指电极在食物安全测量,发酵过程控制和环境监测等方向中,对于无机盐离子的检测应用十分广泛。而传统的方法如对化学反应生成物进行分析的方法来检测无机盐离子浓度,比较费时费力。而目前较为实用的检测方法,如包括离子色谱分析,生物技术,电化学方法,光学方法等 [9-11]。其中,依赖于离子色谱仪的离子色谱分析,一种在线取样,在线分离与分析同时进行的方法,结离子色谱仪结构复杂,造价昂贵。对于复杂环境下离子的分离分析一般采用电化学方法,其中离子选择性电极,是一种非常流行且精度高的方法 [12]。但是需要经常校正,且成本昂贵,维护较为麻烦。如今,传感器的发展趋势正逐渐走向小型化,集成化,因其复杂度低,维护方便成为离子检测的新宠儿。其中的叉指电极广泛应用于科学技术的各个领域。叉指电极根据阻抗特性可以划分为三类,第一类为电感型,通常被用以导电性和磁性材料完整性的无损检测。第二类是电容型,通常应用于纸浆水分含量的测量,检测特定细菌,皮肤表面含水量测定,湿度传感器等 [13]。第三类是电感型和电容型的结合,可远程操作的特点使其广泛用于土木工程材料含水量的实时监测。
1.1.3 微型平面芯片电极研究近况
在临床诊断,食物新鲜度测量,食物污染,发酵过程控制和环境监测等方向中,为克服传统生物测定的限制,许多人开始进行设计制备可以对生物分子活性进行的连续,原位测量的新型生物传感器,其中微型电化学传感器受到了越来越多的关注,例如新型葡萄糖传感器等。作为传统诊断技术的替代品,可以进行生化分析和酶联免疫吸附等方向的测定。操作技术简单,响应迅速和低成本的优点是这些生物传感器用于临床护理点应用的关键因素 [14-17]。在许多文献中已经报道了通过改变电极几何形状来设计新型生物电化学传感器。从线性和盘形到叉指型。这类微型传感器可以将生物分子之间的相互作用直接转换成电信号 [18-20]。现在已经提出了几种方法来增加这些电极的灵敏度。其中包括陈等人提出3D大孔金层以及其他人使用的纳米多孔氧化铝等 [21-22]。因为生物分子通常距离电极表面20-200 nm。这些方法大多数旨在使传感元件在空间上更靠近生物分子。然而,这些方法增加了制造复杂性,从而增加了生产和实施成本。我们了解到有人已经提出一种以3D纳米间交叉电极为基础的生物传感器,易于大规模生产和检测,在缓冲液和临床相关样品中具有高灵敏度的生物分子相互作用 [23]。生物分子在金属表面与金属结合产生了后者的物理属性的变化,例如光学,机械,机电和电化学等物化性质,已经被用作用于检测生物分子活性的换能器元件 [24]。电化学方法在开发用于护理方向和个人用途的商业生物传感器装置方面取得了最大的成功,其中一个主要的例子是葡萄糖生物传感器 [17]。可以把几种不同的电化学技术已经一并使用,例如计时电流法(CA)和循环伏尔法(CV)。最近,电化学阻抗谱法(EIS)已经在检测电极表面的生物分子方面占据了一席之地。 EIS传感器基于生物活性层对金属电极表面电荷转移动力学的扰动,阻抗变化可与生物分子活动息息相关 [25-28]。
1.2 电极制作方法
1.2.1 光刻蚀刻技术
刻蚀是一种在半导体,微电子,微纳米等领域应用广泛的细微图案制造工艺。先用光致抗蚀剂进行曝光,再以其它方式处理掉不需要的部分。随着微型电极制备方法的快速发展,已经可以用化学溶液进行刻蚀去除不需要的部分,这种方法一般称之为湿法刻蚀。刻蚀技术的区别就在于是否使用溶剂或溶液。
光刻技术是利用光致抗蚀剂刻蚀模型的一种技术。附着光致抗蚀剂的基板在紫外光照射下,发生曝光反应,而对于未曝光的部分,通过显影技术将使模板上的图案转移到薄膜上,最后利用刻蚀技术将图在基板上表现出来。以前的光刻技术是用紫外光作为图像信息载体,现在已经发展到可以应用其他离子束作为图像信息载体,如激光,x射线等,这样可以将光刻技术图形传递的尺寸缩小到很小很小,甚至可以达到亚微米。主流的光刻技术按原理分为准分子光刻技术和极紫外光刻技术。
相关图片展示:







您可能感兴趣的文章
- BN嵌入型四苯并五苯:一种工具高稳定性的并五苯衍生物外文翻译资料
- MoS2和石墨烯作为助催化剂在增强的可见光光催化H2生产活性的多臂CdS纳米棒的作用外文翻译资料
- 通过在BiVO4的不同晶面上进行双助剂的合理组装制备高效率的光催化剂外文翻译资料
- 非编码RNA的固相合成研究外文翻译资料
- 氢化驱动的导电Na2Ti3O7纳米阵列作为钠离子电池阳极外文翻译资料
- 高能量及功率密度的可充电锌-二氧化锰电池外文翻译资料
- 利用导电聚合物纳米线阵列来增强电化学性能外文翻译资料
- 自支撑Na2Ti3O7纳米阵列/石墨烯泡沫和石墨烯泡沫准固态钠离子电容器电极外文翻译资料
- 基于碳纳米管金纳米粒子辣根过氧化物酶构建的过氧化氢生物传感器毕业论文
- 新型联二吡啶Pt(II)炔配合物的设计、合成及光物理性质研究毕业论文


