光谱选择性吸收-热辐射一体化陶瓷材料的制备毕业论文
2020-04-20 13:51:46
摘 要
太阳能热发电技术是目前利用太阳能解决能源危机,发展可持续绿色能源的重要途径之一。本论文围绕太阳能热光伏系统对高效稳定的光热转换材料和选择性热辐射材料的迫切需求,基于 Sm0.5Sr0.5CoO3-CoFexAl2-xO4 的吸收-辐射器结构设计,开发高效、稳定的吸收-辐射一体化器件。采用溶胶-凝胶法成功制得了CoFexAl2-xO4选择性热辐射陶瓷,通过光学性能测试,在1100 ℃和1230 ℃两种不同温度烧结下的CoFexAl2-xO4系列样品随Fe3 掺量增大实现了光谱的向长波段迁移,接近1.7 μm以匹配GaSbs光伏电池,证明其具有良好的选择热辐射性。同时Fe3 离子掺量增大会普遍提高CoFexAl2-xO4选择性热辐射陶瓷的红外发射率。选择性吸收材料采用Sm0.5Sr0.5CoO3陶瓷。利用流延法,将上述两种材料分别薄膜化,通过交替叠加压制,经高温烧结实现对选择性吸收Sm0.5Sr0.5CoO3陶瓷和选择性热辐射CoFexAl2-xO4尖晶石陶瓷的复合,使复合样品具备选择性吸收-热辐射一体化的性能。
关键词:选择性热辐射;CoFexAl2-xO4;一体化;溶胶-凝胶法
Preparation of Spectral Selective Absorption-Thermal Radiation
Integrated Ceramic Materials
ABSTRACT
Solar thermal power technology is one of the important ways to use solar energy to solve energy crisis and develop sustainable green energy at present. This paper focuses on the urgent need of solar thermal photovoltaic system for efficient and stable photothermal conversion materials and selective thermal radiation materials, Based on the structure design of Sm0.5Sr0.5CoO3-CoFexAl2-xO4 absorbent radiator, the highly efficient and stable integrated absorbent radiator is developed. CoFexAl2-xO4 selective thermal radiation ceramics were successfully produced by sol-gel method. Through optical performance tests, CoFexAl2-xO4 series samples sintered at 1100 ℃ and 1230 ℃ at different temperatures migrated to the long band with the increase of Fe3 content, nearly 1.7 μm to match GaSbs photovoltaic cells, which proved that the CoFexAl2-xO4 series samples had good thermal radiation selection. At the same time, the infrared emissivity of CoFexAl2-xO4 selective thermal radiation ceramics is generally increased with the increase of Fe3 ion content. The selective absorption material is Sm0.5Sr0.5CoO3 ceramics. By using the flow method, the two kinds of materials mentioned above are thin-film respectively, and then pressed by alternating superposition. After high temperature sintering, the composite of selective absorption Sm0.5Sr0.5CoO3 ceramic and selective thermal radiation CoFexAl2-xO4 peak ceramic are realized, so that the composite sample has the performance of integration of selective absorption and thermal radiation.
Key words: Selective thermal radiation; CoFexAl2-xO4; Integrated; Sol-gel method
目录
摘 要 I
ABSTRACT II
第一章 绪论 1
1.1 引言 1
1.1.1 能源与社会 1
1.1.2 太阳能发电 1
1.2 太阳能热光伏系统(STPV) 2
1.3 光谱吸收材料的选择性 4
1.4 热辐射器 6
1.5 理想型的太阳光吸收和辐射器 8
1.6 吸收-辐射一体化器件 8
1.7本文研究内容 10
第二章 实验部分 11
2.1 实验原料 11
2.2 实验仪器 12
2.3 实验方法 13
2.3.1 SSC5粉体制备 13
2.4.2 CoFexAl2-xO4 尖晶石陶瓷材料制备 13
2.3.3 流延成膜 14
2.3.4 组装工艺 14
2.4 性能测试 15
2.4.1 X射线衍射分析 15
2.4.2 红外发射率分析 15
2.4.3 光学性能分析 15
2.4.4 傅里叶变换红外光谱分析 16
第三章 结果与讨论 17
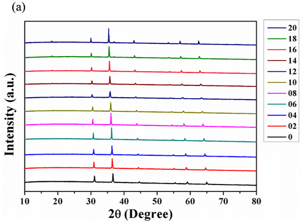
3.1 X射线衍射分析 17
3.2 光学性能分析 19
3.3红外发射率分析 22
3.4傅氏转换红外线光谱分析 23
3.5 SSC5可见-近漫反射图谱分析 24
第四章 结论与展望 25
4.1结论 25
4.2展望 25
参考文献 26
致谢 30
第一章 绪论
1.1 引言
1.1.1 能源与社会
当今社会能源紧缺问题的症结是传统能源求过于供,且现开采速度越来越快,世界面临能源紧缺问题,并且使用传统能源极易引起环境污染,产生废气和污染物加重地球负担。目前,世界上还是大量采用不可再生的能源,能耗结构不合理,80%以上的电力消耗来自化石燃料,由于电力需求的不断增长,全世界面临着巨大的挑战,预计到21世纪末,电力需求将增加一倍至两倍 [1]。争夺能源甚至引起战争的爆发,更好的开发和利用新能源迫在眉睫。因此,科学家和工程师们都在努力探索清洁和可以循环利用的能源,在既能满足人类发展需求的同时,尽量减少对生态环境的破坏,保护好这颗蔚蓝的星球,保住绿水青山,已成为全世界需要认真考虑的问题。
1.1.2 太阳能发电
德国科学家lager早在1930年第一个提出将太阳能变为电能的方法,被称为“光伏效应”。相较于传统能源,属于新能源之一的太阳能主要具有以下好处:第一点:太阳自身蕴藏的能量非常巨大。根据推算太阳在过去十几亿年的能量输出只占自身储能中极小的一部分。在接下来的数亿年里也能持续稳定的输出能量,可见太阳能来源稳定可靠。第二点:太阳能照射到地球大部分区域,免去运输的麻烦,对于交通闭塞的地区更具有开发利用的潜力。第三点:太阳能在利用的时候不会产生其他附带污染,环境不会被破坏,符合可持续发展的理念。继风能之后太阳能成为下一个无污染且可利用率高,未来发展一片光明的新兴能源[2]。面对日益严重的能源和环境问题,高效的利用太阳能是解决这个问题的关键所在。鉴于化石能源资源的有限性及其利用过程产生污染的严重性,开拓利用新的洁净能源资源,尤其是太阳能,对于今后地球环境的发展以及人类未来的生存有着至关重要的影响 [3]。太阳能热发电是一种新兴的可再生能源利用技术, 主要包括聚光光热发电(Concentrating Solar Power,CSP),太阳能热电发电器(Solar Thermoelectric Generators,STEGs),和太阳能热光伏发电(Solar Thermophotovoltaic, STPV)。
1.2 太阳能热光伏系统(STPV)
以上是毕业论文大纲或资料介绍,该课题完整毕业论文、开题报告、任务书、程序设计、图纸设计等资料请添加微信获取,微信号:bysjorg。
相关图片展示:









