Zr掺杂BNKT-ST无铅压电陶瓷应变性能研究毕业论文
2020-04-18 20:05:07
摘 要
压电陶瓷由于其良好的压电性能,被广泛地运用在电子器件、航空航天、通信、机械、汽车、探测器等领域。目前世界范围内的市场中份额最多的还是铅基压电陶瓷,但是铅具有毒性,为了环保,需要研究出无铅压电陶瓷来取代以往的铅基压电陶瓷。在众多无铅压电材料中,BNT基(Bi0.5Na0.5TiO3)材料由于其优异的铁电性能得到了研究者们广泛的关注。
目前研究者们主要的研究方向集中在通过在BNT基材料中加入其他组元,进行离子掺杂等方法来对BNT基材料进行改性处理,以期能够达到降低材料矫顽场、提高材料电致应变性能等目的,从而提高BNT基材料的整体性能,最后取代铅基压电陶瓷材料。
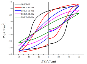
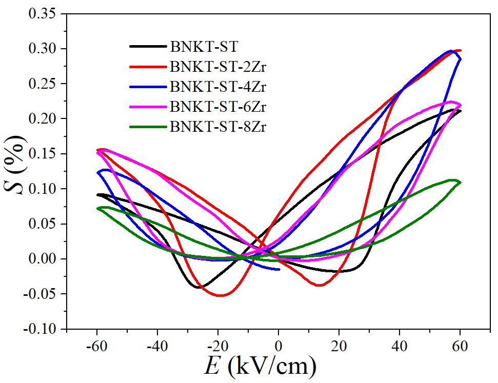
本实验主要研究了在0.96[Bi0.5(Na0.84K0.16)0.5TiO3]-0.04SrTiO3材料(以下简称BNKT-ST材料)中通过离子掺杂的手段,加入不同梯度浓度的Zr4 离子,来观察其对BNKT-ST无铅压电陶瓷材料电致应变性能的影响。本实验选用Zr4 离子掺杂BNKT-ST,制备出0.96[Bi0.5(Na0.84K0.16)0.5Ti1-xZrxO3]-0.04SrTiO3,简称BNKT-ST-100xZr,其中x设置为x = 0、0.02、0.04、0.06、0.08,通过观察对比在外加60 kV/cm电场情况下各组分陶瓷样品的P-E曲线、S-E曲线,发现在x = 0.02时,陶瓷样品拥有最大的应变性能,其双极应变达到0.302%,归一化应变d33*(Smax/Emax)达到503.3 pm/V。
本实验还研究了Zr4 离子掺杂对BNKT-ST材料物相、微观形貌的影响。结果表明,加入Zr4 离子会抑制BNKT-ST的晶粒生长,不过加入Zr4 离子不会对BNKT-ST物相产生明显影响。
关键词:无铅压电陶瓷 应变性能 钛酸铋钠 掺杂
Strain properties of Zr-doped BNKT-ST lead-free piezoelectric ceramics
ABSTRACT
Piezoelectric ceramics are widely used in electronic devices, aerospace, communications, machinery, automobiles, detectors and other fields because of its excellent piezoelectric properties. At present, PZT ceramics are the most widely used in the world, but the pollution of lead is serious. In order to protect the environment, lead-free piezoelectric ceramics need to be researched to replace the conventional PZT ceramics. Researchers noticed the excellent performance of BNT materials.
At present, the main research direction of researchers is to modify BNT materials by adding other components into BNT materials and ion doping, so as to reduce the coercive field and improve the Electro-induced strain properties of materials, so as to improve the overall performance of BNT-based materials, and finally replace lead-based piezoelectric ceramics.
In this experiment, we mainly studied the addition of Zr4 ions with different gradient concentrations by means of ion doping in 0.96[Bi0.5(Na0.84K0.16)0.5TiO3]-0.04SrTiO3 material. The effect of its electrical strain properties on BNKT-ST lead-free piezoelectric ceramics was observed. In this experiment, BNKT-ST-100xZr was prepared, x = 0、0.02、0.04、0.06、0.08. By observing and comparing the P-E curve and S-E curve of each component ceramic sample under the electric field of 60kV/cm, it was found that x = 0.02 The ceramic sample has the highest strain performance with a bipolar strain of 0.302% and a normalized strain d33*(Smax/Emax) of 503.3 pm/V.
In this experiment, we found that adding Zr4 will affect grain growth, but will not affect the phase of BNKT-ST.
Key words: Lead-free piezoelectric ceramics, Strain property, BNT, Doping
目 录
摘 要 I
ABSTRACT II
第一章 绪论 1
1.1压电材料的背景 1
1.1.1 压电效应 1
1.1.2 压电材料的应用 2
1.2 无铅压电陶瓷研究状况 2
1.2.1 钛酸钡(BT)基无铅压电陶瓷 3
1.2.2 铌酸盐系无铅压电陶瓷 4
1.2.3 钛酸铋钠(BNT)基无铅压电陶瓷 4
1.3 钛酸铋钠(BNT)基无铅压电陶瓷的研究进展 5
1.3.1 制备技术 5
1.3.2 BNT基陶瓷的应变性能 6
1.3.3 多元BNT基陶瓷的研究 6
1.4 固相合成法概述 8
1.4.1 固相合成法中产物生成机理 8
1.4.2 固相合成法的特点 8
1.5 课题研究的意义和主要内容 9
第二章 BNKT-ST-100xZr陶瓷的制备及性能表征 10
2.1 实验原料与设备 10
2.2 实验方法与流程 11
2.3 性能测试方法与流程 13
第三章 Zr4 掺杂对BNKT-ST陶瓷结构及性能的影响 15
3.1 BNKT-ST-100xZr的性能研究 15
3.1.1 晶体结构分析 15
3.1.2 微观形貌分析 15
3.1.3 铁电性能分析 16
3.1.4 应变性能分析 19
第四章 结论与展望 21
4.1 结论 21
4.2 展望 21
参考文献 22
致 谢 27
第一章 绪论
19世纪末,居里兄弟研究石英晶体时,发现其具有一种特殊的效应:当晶体某个部位受压力时,两个对应的表面会产生异号电荷。之后沃伊特又指出,具有手性中心的晶体材料都有可能是压电材料[1]。随着压电材料的不断发展,人们开发出越来越多种类的压电陶瓷材料,而压电材料也被运用在航空航天、信息通信、能源转换、电子设备、机械产品、汽车、探测器等领域。时至今日,压电陶瓷材料已经成为一种新型高技术功能材料,在各行各业都拥有广阔的应用前景,高性能的压电陶瓷材料是本世纪最为重要的材料类型之一,研制新型的高性能压电陶瓷材料也是全世界都在进行的一个重要研究课题。
目前在市场中占据最大份额的、应用最广的仍属铅基压电陶瓷[2]。锆钛酸铅(PZT)基陶瓷以及铌镁酸铅(PMN)陶瓷具有良好的电致应变性能以及优越的压电性能被广泛应用在各个领域,但是铅基陶瓷在生产过程中会使用PbO(或Pb3O4)作为原料,烧结过程中很容易挥发出有毒物质Pb气体,对人体、对环境都会造成危害。为了环保起见,自2001年起各国政府纷纷确立了有关“禁止使用含有有毒物质的电子器件”相关法案。我国于2003年颁布的《电子信息产业部污染防护管理办法》中也明确指出要限制含铅物质的使用。于是,研发新型无铅压电材料来替代以往的铅基材料就变成了当务之急,世界各国都在进行有关无铅压电陶瓷材料开发的课题[3,4]。
1.1压电材料的背景
1.1.1 压电效应
用具体的概念来描述压电效应,就是说:对压电材料施加一定的外力,会导致其内部会因发生形变从而使材料的内部出现了电极化,在其表面会形成电荷的过程。这种我们一般称其为正压电效应。与之相对的还有逆压电效应,是指在电场的作用下,压电体的内部出现了电极化,正负电荷中心产生了一定程度的偏移,进而导致了压电体产生一定形变的过程。压电效应可以说是一种反映了“电”与“力”之间耦合关系的机电耦合效应[5,6]。居里兄弟最早在石英晶体中发现了压电效应,后来人们也发现压电效应一般出现在具有不对称结构的晶体材料中。
以上是毕业论文大纲或资料介绍,该课题完整毕业论文、开题报告、任务书、程序设计、图纸设计等资料请添加微信获取,微信号:bysjorg。
相关图片展示:









