混杂纤维增强耐高温复合材料的性能研究毕业论文
2020-04-07 10:10:56
摘 要
可瓷化酚醛树脂基复合材料广泛应用于热防护材料之中,但存在高温烧蚀后结构松散,力学性能差等缺点,陶瓷纤维作为一种优质的耐高温材料,可以对其起到一定的增强作用,但是单一的纤维往往具有局限性,比如氧化锆纤维具有耐超高温性,但是力学性能较差。针对上述问题,本文从混杂纤维的角度出发,通过在硼酚醛树脂中添加成瓷填料与混杂纤维,采用模压成型工艺法来制备出一种兼具优良的耐烧蚀性和力学性能的可瓷化硼酚醛树脂基复合材料。实验主要研究成果如下:
首先选定了氧化铝纤维、高硅氧玻璃纤维、短切碳纤维、芳纶纤维分别和氧化铝纤维混杂这五种形式,通过氧-乙炔测试,力学性能测试,断面微观结构扫描测试,X射线衍射测试,热重测试等对制备的复合材料试样分析,研究发现:氧化锆纤维混杂氧化铝纤维方式增强的复合材料试样线烧蚀率接近于0mm/s,烧蚀前力学性能最好,弯曲强度达到45.46MPa,烧蚀之后结合断面扫描图像测试结果和X射线衍射分析结果,力学性能下降,但高温下陶瓷填料发生了瓷化反应,生成了新物质-尖晶石和莫来石,残余弯曲强度仍有14.71MPa。热重分析结果显示其力学热稳定性最好,最终确定了最佳的纤维混杂方式为氧化铝纤维混杂氧化锆纤维。
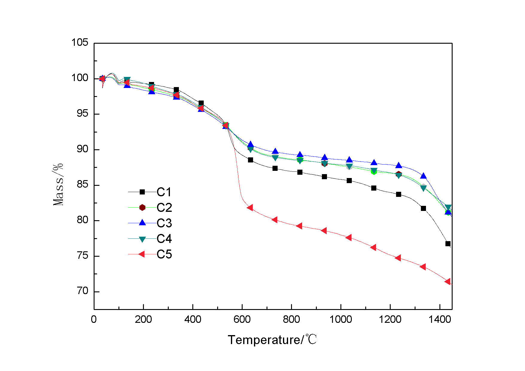
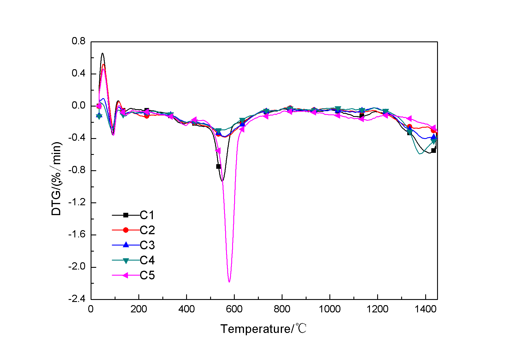
实验的第二阶段主要研究在最佳混杂纤维形式下,纤维含量对复合材料性能的影响。研究发现:所制备的复合材料线烧蚀率皆低于0.01mm/s,纤维含量对复合材料的耐烧蚀性影响不大。复合材料的力学性能随着纤维含量的增加呈现先上升后下降的趋势,弯曲强度在纤维含量为25%时达到最高为48.86MPa,热解后弯曲强度为15.57 MPa。断面扫描分析结果显示,纤维含量过高或过低都会导致树脂与纤维界面结合情况不好。X射线衍射分析结果表明,纤维含量对陶瓷化反应生成的物相种类影响不大,均生成了尖晶石、莫来石这两种物质,但纤维含量影响了物相的含量。热重曲线表明,在纤维含量为25%时,复合材料的热稳定性最好。所以,最终确定在最佳混杂方式为氧化锆纤维混杂氧化铝纤维方式下,纤维含量为25%时,复合材料的性能最好。
关键词:混杂纤维;耐烧蚀;可瓷化复合材料;硼酚醛树脂
Abstract
Porcelain phenolic resin matrix composites are widely used in thermal protection materials, but they have disadvantages of loose structure and poor mechanical properties after ablation at high temperature. Ceramic fibers, as a high-quality and high-temperature material, can play a role in reinforcement, but the single fiber often have limitations, such as zirconia fiber has ultra-high temperature resistance and poor mechanical properties. In view of the above problems, from the point of view of hybrid fibers, a porcelain-based filler and a hybrid fiber are added to a boron phenolic resin to prepare a boron phenolic resin matrix composites with excellent ablation resistance and mechanical properties by a press molding process method. The main research results of the experiment are as follows:
The experiment first selected five types of alumina fiber, high silica glass fiber, short carbon fiber, aramid fiber, and alumina fiber, through the oxygen-acetylene test, mechanical properties testing, cross-section microstructure scanning test, X-ray diffraction test and thermogravimetry test to analysis the prepared composite samples, the study found that: The line ablation rate of zirconia fiber mixed alumina fiber reinforced composite sample is closed to 0mm / s, the most pre-ablation mechanical properties Well, the flexural strength reached 45.46 MPa. After ablation, combined with cross-sectional scanning image test results and X-ray diffraction analysis results, the mechanical properties decreased, but the ceramic packing reacted at high temperatures to form a new material - spinel and mullite. The residual flexural strength is still 14.71 MPa. Thermogravimetric analysis shows that the mechanical thermal stability is the best. Finally, the best fiber hybrid method is alumina fiber hybrid zirconia fiber.
The second stage of the experiment was to study the effect of fiber content on the properties of the composite under the best hybrid fiber form. It was found that the ablation rate of the prepared composites was less than 0.01 mm/s, and the fiber content had little effect on the ablation resistance of the composites. The mechanical properties of the composites showed a tendency of increasing first and then decreasing with the increase of the fiber content. The flexural strength reached a maximum of 48.86 MPa when the fiber content was 25%. Cross-sectional scanning analysis results show that the fiber content is too high or too low will lead to poor resin and fiber interface. The results of X-ray diffraction analysis showed that the content of fiber was not related to the type of phase generated by the ceramization reaction, and spinel and mullite were both produced, but the fiber content affected the content of the phase. The thermo-gravity curve shows that the composite has the best thermal stability when the fiber content is 25%. Therefore, it was finally determined that the composite material had the best performance when the optimal mixing method was zirconia fiber mixed alumina fiber, and the fiber content was 25%.
Key words: hybrid fibers;ablation resistance;ceramic composite materials;boron phenolic resin
目录
摘 要 I
Abstract II
第1章 绪论 1
1.1 可瓷化聚合物基复合材料 1
1.1.1 可瓷化聚合物基复合材料简介 1
1.1.2 陶瓷材料简介 1
1.1.3 可瓷化树脂基复合材料研究进展 2
1.2 酚醛树脂 3
1.2.1 酚醛树脂简介 3
1.2.2 改性酚醛树脂研究进展 3
1.2.3 硼酚醛树脂性能及应用 6
1.3 混杂纤维复合材料概述 7
1.3.1 无机纤维 7
1.3.2 有机纤维 7
1.3.3 陶瓷纤维 8
1.4 论文的研究目的、研究内容 9
第2章 混杂纤维增强可瓷化硼酚醛复合材料的制备及其性能研究 10
2.1 前言 10
2.2 实验原料与仪器 10
2.3 实验工艺过程 11
2.3.1 成瓷填料体系制备 11
2.3.2 可瓷化混杂纤维增强硼酚醛树脂基复合材料制备 11
2.4 硼酚醛树脂基复合材料的结果表征与性能测试 12
2.4.1 烧蚀性能测试表征 12
2.4.2 力学性能测试表征 13
2.4.3 扫描电镜(SEM)测试表征 13
2.4.4 热重(TG)测试表征 13
2.4.5 X射线衍射分析(XRD)测试表征 13
2.5结果与讨论 13
2.5.1 烧蚀性能分析 13
2.5.2 力学性能分析 15
2.5.3 热稳定性能分析 16
2.5.4 SEM测试结果分析 17
2.5.5 XRD测试结果分析 20
2.5.6 陶瓷化机理分析 21
2.6 本章小结 22
第3章 纤维含量对可瓷化BPR基复合材料性能的影响 24
3.1 前言 24
3.2 实验原料与仪器 24
3.3 实验工艺过程 25
3.3.1 成瓷填料体系制备 25
3.3.2 可瓷化混杂纤维增强硼酚醛树脂基复合材料制备 25
3.4 硼酚醛树脂基复合材料的结果表征与性能测试 26
3.4.1 烧蚀性能测试表征 26
3.4.2 力学性能测试表征 26
3.4.3 扫描电镜(SEM)测试表征 26
3.4.4 热重(TG)测试表征 26
3.4.5 X射线衍射分析(XRD)测试表征 26
3.5 结果与讨论 27
3.5.1 烧蚀性能分析 27
3.5.2 力学性能分析 28
3.5.3 热稳定性能分析 29
3.5.4 SEM测试分析 31
3.5.5 XRD测试分析 34
3.6 本章小结 35
第四章 结论 36
参考文献 38
致谢 41
第1章 绪论
1.1 可瓷化聚合物基复合材料
1.1.1 可瓷化聚合物基复合材料简介
可瓷化聚合物在耐烧蚀阻燃材料领域应用很广,这种聚合物在常温下与普通聚合物性能并无差别,但在高温下会转化为陶瓷保护层,隔绝了热量的传递,起到保护材料内部结构的作用[1]。因此,与传统的高分子复合材料不同,可瓷化聚合物基复合材料在有着优良的阻燃和耐烧蚀性能。
2004年,澳大利亚莫纳什大学Hanu教授[2]首次在论文中提出“可瓷化”的概念。随着近些年的发展,可瓷化聚合物优良的特点如热解速率低,燃烧过程中低烟、有陶瓷化保护层等逐渐被发现,国内外开始越来越关注可瓷化复合材料领域。近些年来,可瓷化复合材料发展迅速,广泛应用于航空航天等领域。
1.1.2 陶瓷材料简介
陶瓷材料具有良好的耐高温性能,陶瓷材料可以在高温下通过自身烧结成陶瓷,或者在其它填料和基体材料的热分解后形成共晶熔融反应[3],以形成陶瓷结构,来改善陶瓷材料的耐热性能。氧化铝(Al2O3)、氧化镁(MgO)、碳化硅(SiC)、云母等作为陶瓷材料,用途广泛。
(1)氧化铝(Al2O3)
Al2O3有α-Al2O3,β-Al2O3,γ-Al2O3等多种晶体结构,其中Al2O3的晶体结构不同,它们的性质也各不相同,但在高温(1300℃以上)中进行烧蚀时,各种不同晶体结构的Al2O3几乎全部转化为α—Al2O3。α-Al2O3结构是所有Al2O3中最稳定的物相,在Al2O3的晶体结构中,3个氧原子的表面是一个两相相邻的八面体,整个晶体可以被视为众多八面体[AlO6]的共面组合中的一个大分子。这种结构提高了α-Al2O3的稳定性。
氧化铝陶瓷是以α-Al2O3为主要晶相的结构陶瓷。氧化铝陶瓷具有良好的导电性、机械强度和耐高温性能,是一种用途广泛的陶瓷材料。由于其优异的性能,其在现代社会中的应用越来越广泛,已经越来越成为日常使用和满足特殊性能的需求材料之一。但由于烧结温度较高,需要消耗大量的能源,因此对氧化铝陶瓷进行低温烧结技术的研究就显得十分重要。李悦彤[4]等研究了低温烧结助剂对低温烧结技术的影响,研究发现,在氧化铝陶瓷低温烧结工艺中,使用添加剂降低烧结温度的效果非常显著。同时,还可以进行晶粒细化、稳定的结构和改善材料的力学性能。王利[5]等采用高真空烧结技术,以纯度大于99.99%的氧化铝为原材料,在1500℃的真空下烧结,制备出的高纯氧化铝陶瓷性能优异。
(2)氧化镁
氧化镁(MgO)作为一种典型的碱土金属氧化物,它的熔点在2852℃,沸点高达3600℃。当氧化镁暴露在空气中时,性质较不稳定,易与空气中的水分和CO2发生反应,逐渐成为碱式碳酸镁。氧化镁本身具有耐高温性能。当它在高温(1000℃)燃烧时会变成晶体。因其具有的耐高温的性质,氧化镁经常被用作阻燃和耐热方面。由氧化镁制成的氧化镁陶瓷在氧化气氛或氮气保护条件下稳定为2400℃。具有良好的耐高温腐蚀性能。通过将氟化镁引入氧化镁,蒋艳[6]发现,当氧化镁的量为3%时,氧化镁陶瓷在1500℃下的收缩率可降低约4%;Khalil等[7]通过在现有的以氧化镁为基体的耐火材料中加入纳米铝酸镁尖晶石的粉末,研究结果表示当纳米铝酸镁尖晶石的含量为10%时,样品的机械性能和耐火性能最佳。
(3)碳化硅(SiC)
碳化硅具有稳定的化学性能、高的导热性、小的热膨胀系数和良好的耐磨性等一系列优异性能。作为成瓷填料,它能显著提高复合材料的耐高温性能,并且在材料经历高温烧蚀后仍以SiC的形式存在。丛丽娜[8]研究了温度及氧化物对SiC抗氧化性能的影响。研究发现:温度越高,碳化硅的被氧化程度越高;而在各种氧化物中,氧化铝的效果最好,随着氧化铝加入量的提高,SiC 抗氧化性能越好。但是氧化铝含量过多会导致SiC性能的下降,最适宜的加入量为2%。
- 云母
云母是层状硅酸盐矿物。其上下两层为二氧化硅四面体,中间层为氧化铝八面。云母有黑云母,白云母,金云母,锂云母等,在现代工业中主要使用的是白云母。白云母具有耐高温,物理化学性质稳定的特性,同时具有很好的隔热性,热解后的尺寸稳定性较好,被广泛应用于可瓷化聚合物基复合材料中。郝宝华[9]通过在硅胶中加入硅灰石和云母提高了硅橡胶的阻燃性。结果表明,在添加云母后,硅橡胶的弯曲强度在烧蚀后增加。Hanu等[10]研究了添加了白云母后的硅氧烷聚合物的热稳定性,证明了在硅氧烷聚合物中添加白云母可以有效提高陶瓷残留物的极限强度。
1.1.3 可瓷化树脂基复合材料研究进展
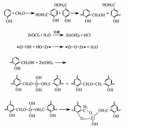
可瓷化树脂基复合材料通常是以残炭率较高的热固性树脂作为基体材料,如酚醛树脂。但传统的酚醛树脂虽然残炭率较高,但是在烧蚀过程中留下的无定形碳层容易受到气流的作用产生机械剥离,从而减弱材料的隔热性能。武汉理工大学秦岩[11]等以酚醛树脂为基体,添加功能填料微珠,可瓷化助剂等制备出了低密度可瓷化酚醛树脂基复合材料。研究表明:在 800℃ 以上可瓷化助剂与酚醛树脂开始发生了可陶瓷化反应,且随着烧蚀温度的提高陶瓷化程度加深,生成的晶粒排列规则整齐。由于发生可陶瓷化反应使疏松无定型炭层变得更加致密化且形成致密的陶瓷层,陶瓷保护层起到阻碍对流和热量传导的作用,在抑制材料内部热分解的同时,能有效地阻隔外界热量向材料内部扩散,从而使酚醛复合材料获得更好的烧蚀隔热性能。丁杰[12]将经过表面改性的云母粉-玻璃料按照一定比例加入到硼酚醛树脂中,制备了云母/玻璃料BPR基复合材料,通过测试,发现云母和玻璃料有效的阻止了残留炭的氧化,使热分解产物的体型结构得以保留。石敏先[13]等将硼酸锌、氧化锑加入到硼酚醛树脂中,降低共晶液相的形成温度,促进陶瓷化进程,结果表明:助熔剂促进了陶瓷化和致密化过程,最终产物是陶瓷被大量玻璃相包围。
1.2 酚醛树脂
1.2.1 酚醛树脂简介
以上是毕业论文大纲或资料介绍,该课题完整毕业论文、开题报告、任务书、程序设计、图纸设计等资料请添加微信获取,微信号:bysjorg。
相关图片展示:









