梯度型树脂基复合材料制备与性能研究毕业论文
2020-02-19 15:50:41
摘 要
新时代背景下我国航空航天事业取得大发展、新突破。功能梯度复合材料不仅仅具有普通复合材料的优异性质,如低导热率、耐烧蚀、机械强度高等特点,更重要的是具有良好的热匹配性能,由于其组分以及结构上的连续性,可以避免零部件整体在材料连接处发生劈裂,有效克服了材料界面之间的“热应力突变”问题。正是由于隔热梯度复合材料具有性能呈现梯度变化的特点,因此备受科研人员的重视并且在航空航天领域有着重要应用。
本文以高硅氧玻璃纤维布作为增强相,改性酚醛树脂作为基体,添加不同比例的无机填料,通过预浸料叠层后在150~200℃下以模压成型的方式制得均质及梯度隔热复合材料板材。本文的研究内容如下:
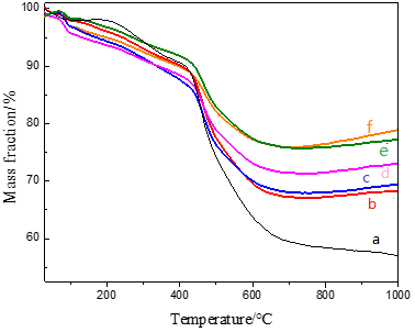
(1)均质高硅氧/酚醛树脂基复合材料的制备与性能研究。首先以纯酚醛树脂浇筑体和添加无机填料的酚醛树脂浇筑体为研究对象,通过红外光谱分析和热重分析做无机填料对酚醛树脂影响的基础性研究。之后分别制备出添加有不同比例无机填料的均质复合材料,无机填料比例按照0、20、40、60、80、100质量份加入,测得各配方复合材料的表观密度,以导热系数为主的热学性能以及以弯曲强度、线膨胀系数为主的力学性能,并通过扫描电镜观察微观形貌。研究结果表明:当无机填料添加的比例为100时均质复合材料的弯曲强度为弯曲性能最好,抵抗热形变的能力也最为优异,而常温下的隔热性能较差,但经过高温环境后隔热性能有明显提高。
(2)梯度高硅氧/酚醛树脂基复合材料的制备与性能研究。首先验证制得的复合材料板材为梯度板材,之后通过设计梯度层数,研究2、3、4、5层梯度数对于复合材料性能的影响,主要通过导热系数、弯曲强度等指标寻找制备梯度高硅氧/酚醛树脂基复合材料的最佳层数。研究结果表明:当设置的梯度层数为5时,梯度高硅氧/酚醛树脂基复合材料的隔热性能和力学性能最为优异。
关键词:梯度复合材料;无机填料;力学性能;隔热性能
Abstract
Under the background of the new era, China's aerospace industry has made great progress and new breakthroughs. Functionally graded composites not only have the excellent properties of ordinary composite materials, such as low thermal conductivity, ablation resistance, high mechanical strength, but also have good thermal matching properties due to their composition and structural continuity. It can avoid the splitting of the parts as a whole at the material joint, effectively overcoming the "thermal stress abrupt" problem between the material interfaces. It is precisely because of the characteristic that the thermal gradient composite has a gradient change in performance, it is highly valued by researchers and has important applications in the aerospace field.
In this paper, high silica glass fiber cloth is used as the reinforcing phase, modified phenolic resin is used as the matrix, and different proportions of inorganic fillers are added. After prepreg lamination, the homogenization and gradient are obtained by compression molding at 150~200 °C. Insulated composite sheet. The research content of this paper is as follows:
(1) Preparation and properties of homogeneous high silica/phenolic resin matrix composites. Firstly, the pure phenolic resin casting body and the phenolic resin casting body with inorganic filler were taken as the research object. The basic research on the influence of inorganic filler on phenolic resin was carried out by infrared spectroscopy and thermogravimetric analysis. Then, homogeneous composite materials with different proportions of inorganic fillers were prepared, and the proportion of inorganic fillers was added according to 0, 20, 40, 60, 80, 100 parts by mass, and the apparent density of each composite was measured. The thermal conductivity was The thermal properties of the main body and the mechanical properties mainly based on bending strength and linear expansion coefficient, and the microscopic morphology were observed by scanning electron microscopy. The results show that when the proportion of inorganic filler added is 100, the flexural strength of the homogeneous composite is the best, the best resistance to thermal deformation, and the poor thermal insulation performance at normal temperature, but after high temperature environment The thermal insulation performance has been significantly improved.
(2) Preparation and properties of gradient high silica/phenolic resin matrix composites. Firstly, the composite sheet produced was verified as a gradient sheet. Then, by designing the gradient layer, the influence of the number of gradients of 2, 3, 4 and 5 layers on the properties of the composite was studied. The preparation gradient was mainly found by the indexes of thermal conductivity and bending strength. The optimum number of layers for the silicone/phenolic resin matrix composite. The results show that the gradient high-silicon oxide/phenolic resin matrix composites have the best thermal insulation properties and mechanical properties when the number of gradient layers is set to 5.
Key words: Gradient composite; inorganic filler; mechanical properties; thermal insulation properties
目 录
第一章 绪论 1
1.1 引言 1
1.2 高硅氧/酚醛树脂基复合材料简介 1
1.2.1 高硅氧/酚醛树脂基复合材料的性能特点 1
1.2.2 高硅氧/酚醛树脂基复合材料的三大原料 2
1.2.2.1 硼酚醛树脂 2
1.2.2.2 高硅氧纤维布 2
1.2.2.3 无机填料 3
1.3 梯度功能复合材料制备的成型工艺 3
1.4 梯度功能复合材料的国内外研究进展 3
1.4.1 国内研究进展 3
1.4.2 国外研究进展 4
1.5 本论文的研究意义与研究内容 4
1.5.1 本论文的研究意义 4
1.5.2 本论文的研究内容 4
第二章 均质隔热复合材料的制备与性能研究 6
2.1 实验部分 6
2.1.1 实验原料与设备 6
2.1.2 均质高硅氧/酚醛树脂基复合材料试样的制备 7
2.1.2.1 原料制备 7
2.1.2.2 固化过程 8
2.1.3 结构、性能测试方法 8
2.1.3.1 表观密度测试 8
2.1.3.2 复合材料弯曲强度测试 8
2.1.3.3 傅里叶红外光谱分析 9
2.1.3.4 导热系数测试 9
2.1.3.5 热失重测试 9
2.1.3.6 扫描电子显微镜分析 9
2.2 无机填料对酚醛树脂影响的基础性研究 9
2.2.1 有无添加无机填料的酚醛树脂浇筑体的红外光谱分析 9
2.2.2 有无添加无机填料的酚醛树脂浇筑体的的热重分析 10
2.3 结果与讨论 10
2.3.1 无机填料组分对均质复合材料表观密度的影响实验原料 10
2.3.2 均质高硅氧/酚醛树脂基复合材料的热学性能分析 12
2.3.3 均质高硅氧/酚醛树脂基复合材料的力学性能分析 12
2.3.3.1 弯曲性能测试 12
2.3.3.2 扫描电镜分析 13
2.3.3.3 线膨胀系数分析 13
2.4 本章总结 14
第三章 梯度隔热复合材料的制备与性能研究 16
3.1 实验部分 16
3.1.1 实验原料与设备 16
3.1.2 梯度高硅氧/酚醛树脂基复合材料试样的制备 17
3.1.2.1 原料制备 17
3.1.2.2 固化过程 18
3.1.3 结构、性能测试方法 18
3.1.3.1 复合材料弯曲强度测试 18
3.1.3.2 导热系数测试 18
3.1.3.3 热失重测试 18
3.2 结果与讨论 19
3.2.1 梯度复合材料的验证 19
3.2.2 不同梯度层数对复合材料热学性能的影响 20
3.2.3 不同梯度层数对复合材料力学性能的影响 20
3.2.3.1 弯曲性能测试 20
3.2.3.2 线膨胀系数分析 21
3.3 本章总结 21
结论 22
参考文献 23
致谢 24
附录 25
第一章 绪论
1.1 引言
功能梯度材料(FGM)是指由两种或两种以上材料组成且成分及结构发生连续梯度变化的一种新型复合材料[1]。功能梯度材料的概念理论以及在设计方面的思考是1984年由以平井敏雄为主的科学家正式提出的[2]。最初是为满足航空航天领域中高温,大温度落差等极端条件和苛刻环境的需要。功能梯度材料凭借其新颖前沿的设计理念和优秀独特的功能特性,逐渐成为国内外科研人员研究新材料的热点方向之一。武汉理工大学在功能梯度材料领域也颇有建树,1987年我校袁润章教授首先在国内提出 FGM思想和原理,并应用于金属-陶瓷复合刀具的探索性研究当中。1988年起,我校张联盟教授先后赴日本神奈川大学,东京大学,东北大学研修,并在平井敏雄教授的指导下攻读博士学位,并且首次对“热应力缓和型梯度材料”的的结构设计和优化等内容进行了系统而又全面的研究。
功能梯度复合材料不同于普通的复合材料,是能够可以将两种甚至多种功能性质结合到一件制品当中去并发挥其功能特点。在国家大力发展航天航空事业的大背景下,科研人员对于应用于航天飞行器上的防热隔热材料也越发重视,然而传统的复合材料由于其和零部件界面之间热力学性能匹配不佳,而且在热应力的作用下材料的界面连接处会出现剥离裂纹现象,这会导致由此种材料制备的零部件会失效,进而使航空航天飞行器在运行过程中发生难以预测的事故问题。而国内外的科研人员将目光投向功能梯度复合材料很重要的原因正是基于梯度功能复合材料可以有效地克服材料界面之间的“热应力突变”问题,避免材料的界面连接处出现剥离、裂纹现象。
1.2 高硅氧/酚醛树脂基复合材料简介
高硅氧/酚醛树脂基复合材料由于具有良好的耐烧蚀性能而被广泛应用于航天飞行器的关键零部件。但是由于航天飞行器在飞行过程中受到高温灼烧的影响而降低了其力学性能,使得该种复合材料无法兼得良好的耐高温性能以及力学性能。近年来,国内外的科研人员将如纳米炭黑、石墨粉等无机填料与酚醛树脂进行物理混合,研究发现随着无机填料含量在树脂体系中的增加可以显著地提升高硅氧/酚醛树脂基复合材料的力学性能,但缺点却是与此同时降低了材料的防热隔热性能。因此,摆在我们面前的挑战是如何使我们研究的高硅氧/酚醛树脂基复合材料在改善力学性能的同时不降低其防热隔热性能。
1.2.1 高硅氧/酚醛树脂基复合材料的性能特点
高硅氧/酚醛树脂基复合材料具有以下几种性能特点:一是耐热性能优异,而耐热性能不仅和具有良好耐热性能的酚醛树脂有关,而且还与高硅氧玻璃纤维布有关,高硅氧玻璃纤维布的适量存在可以阻碍酚醛树脂高分子链段的在高温环境下的流动性,从而帮助提升其耐热性能。二是耐烧蚀性能优良,这表现为高硅氧/酚醛树脂基复合材料能够在高温的环境下保持较好的耐烧蚀性能,不会使得材料失去结构的稳定性。三是力学性能突出,高硅氧/酚醛树脂基复合材料的力学性能不仅和选择的树脂种类有关,更与高硅氧玻璃纤维布的含量密切相关,研究表明在一定范围内复合材料的弯曲强度随着高硅氧玻璃纤维布体积含量的增加而提升,但如果超过最适应量的话反而会降低其力学性能。
1.2.2 高硅氧/酚醛树脂基复合材料的三大原料
1.2.2.1 硼酚醛树脂
酚醛树脂是酚类化合物与醛类化合物通过缩聚反应制得的合成树脂。酚醛树脂本身具有以下四点优异性能:第一、热稳定好。由于酚醛树脂分子链上芳香环高度交联,因此酚醛树脂在高温下能够保持自身良好的结构完整性,这帮助酚醛树脂即使在固化后也可以具有优异的耐高温特性。第二、残碳比率高。在高温烧蚀下酚醛树脂仍能够保有较高的残碳比率,而且热固性酚醛树脂固化后形成网络状结构的内部存在空洞,可以帮助复合材料在高温环境下吸收大量的热量并形成具备一定强度的碳化层,保持一定的力学性能。第三、良好的粘黏性。酚醛树脂拥有良好的粘黏性,能够很好地结合无机填料和增强纤维从而制备出机械性能优良的复合材料。第四、优良的阻燃性。由于酚醛树脂在燃烧过程中表面会生成含有多孔形态的碳化层,而碳化层可以隔绝热量的传输,也可以隔绝氧气和其他可燃气体,因此酚醛树脂在不加入阻燃剂的前提下仍可以具有良好的阻燃性能。
而硼酚醛树脂是一种通过将硼-氧键引入到酚醛树脂体系的改性酚醛树脂。由于酚醛树脂中一些酚羟基结构上的氢原子被引入的硼原子所替代,而引入的硼-氧键的键能要大于碳-碳键的键能,意味着和破坏碳-碳键相比破坏硼-氧键需要更高的能量[3],这使得硼酚醛树脂在耐热性、耐烧蚀性等热学性能方面要优于普通未改性的酚醛树脂。而且由于硼-氧键相较于碳-碳键而言柔顺性较好,这便使得硼酚醛树脂的在力学性能方面也要优于普通的酚醛树脂。此外,硼酚醛树脂在燃烧时可以在表面形成致密层阻隔一定的热量,因此也具有良好的阻燃性能[4]。因此硼酚醛树脂的性能特点归纳为以下几点:第一、良好的热稳定性;第二、良好的耐烧蚀性能;第三、良好的力学性能。这便使得采用硼酚醛树脂作为基体的复合材料也会具备相应的功能特点。因此,硼酚醛树脂在隔热防热领域备受青睐,在航空航天、防火建材等方向领域都具有良好的发展前景[5]。
1.2.2.2 高硅氧玻璃纤维布
高硅氧玻璃纤维布是一种具备耐高温烧蚀功能特点的无机纤维,其二氧化硅的含量在95%~99%范围内,由于二氧化硅是一种传统的耐高温材料,这便帮助高硅氧玻璃纤维布具备耐高温、耐烧蚀的功能特点。高硅氧玻璃纤维布作为增强相引入到复合材料中去,其所具备的高强度特性能够帮助提升复合材料的弯曲强度、压缩强度等力学性能。本实验采用的是厚度为0.4mm以下的高硅氧玻璃纤维布,能够用于增强树脂制备耐高温烧蚀的产品[6]。目前高硅氧玻璃纤维布在生产和制备方面更多考虑的是高强度和高耐热性能,其形成这两个特点主要依靠以下两点:一是提高高硅氧玻璃纤维中SiO2含量;二是表面涂覆处理,包括涂覆Cr2O3、石墨等无机材料,以及有机材料等[7]。
1.2.2.3无机填料
高硅氧/酚醛树脂基复合材料在力学性能方面和耐热性能方面还有存在很大的上升空间,因此对其进行增韧改性、耐热改性的研究具有很大的意义。在改性酚醛树脂作为基体,高硅氧玻璃纤维布作为增强体的体系中,我们加入SiO2,,ZrO2,云母粉以及可瓷化助剂等无机填料来提升复合材料的热力学性和高温环境下的力学性能。
1.3 梯度功能复合材料制备的成型工艺
以上是毕业论文大纲或资料介绍,该课题完整毕业论文、开题报告、任务书、程序设计、图纸设计等资料请添加微信获取,微信号:bysjorg。
相关图片展示:








        
            
