氧化钼对n型硅异质结电池性能影响的模拟研究毕业论文
2020-04-26 12:48:30
摘 要
传统的SHJ太阳能电池,是在晶体硅(c-Si)衬底和掺杂的非晶硅(a-Si:H)之间插入具有稳定界面钝化的薄的本征氢化非晶硅层。然而,带隙仅为1.8 eV的传统的掺杂a-Si:H发射层实验中显现出高缺陷密度状态和大的寄生光吸收系数,从而减少了光生载流子的产生。为了避免上述的的缺点,本课题对于替代金属氧化物材料进行了研究。最终选定氧化钼(MoOx)作为替代,其具有优越的空穴选择性,电阻率低,带隙宽,以及低温的特点为了产生较为优良的光学改善。此外,与a-Si:H薄膜相比,MoOx膜的较低电阻率和较高的透射率改善了短波长响应并降低了硅太阳能电池的串联电阻。整合所有的模拟实验数据结果我们得到,当氧化钼空穴传输层度为5nm,其掺杂浓度为1E20 cm-3,衬底层厚度层厚度为0.02cm,掺杂浓度为1.55E17cm-3,并且TCO功函数为4eV时,此种结构的MoOx-i-n-i-n 太阳能电池转换效率(PCE)可以达到25.2%。它的开路电压(Voc)达到744.8mV,填充因子(FF)达到85.13%,短路电流密度(Jsc)达到39.47mA/cm2。因此,我们可以认为认为MoOx-i-n-i-n 结构的异质结太阳能电池方案为日后的发展提供了新的思路和机会。
关键词:异质结 太阳能电池 MoOx
Simulation Study on the Effect of Molybdenum Oxide on the Performance of n-type Silicon Heterojunction solar cell
Abstract
A conventional SHJ solar cell is a thin intrinsic hydrogenated amorphous silicon layer with stable interfacial passivation interposed between a crystalline silicon (c-Si) substrate and doped amorphous silicon (a-Si:H). However, the conventional doped a-Si:H emissive layer with a band gap of only 1.8 eV exhibits a high defect density state and a large parasitic light absorption coefficient, thereby reducing the generation of photogenerated carriers. In order to avoid the above disadvantages, this subject has studied the replacement of metal oxide materials. The final choice of molybdenum oxide (MoOx) as an alternative, it has superior hole selectivity, low resistivity, wide band gap, and low temperature characteristics in order to produce better optical improvement. In addition, the lower resistivity and higher transmittance of the MoOx film improves the short wavelength response and reduces the series resistance of the silicon solar cell compared to the a-Si:H film. Integrating all the simulated experimental data, we obtained that when the molybdenum oxide hole transport layer is 5 nm, its doping concentration is 1E20 cm-3, the thickness of the substrate layer is 0.02 cm, the doping concentration is 1.55E17 cm-3, and when the work function of the TCO layer is 4eV, the conversion efficiency (PCE) of the MoOx-ini-n solar cell of this structure can reach 25.2%. The open circuit voltage (Voc) reaches 744.8mV, the fill factor (FF) reaches 85.13%, and the short-circuit current (Jsc) ) reached 39.47 mA/cm2. Therefore, we can think that the heterojunction solar cell scheme of MoOx-i-n-i-n structure provides new ideas and opportunities for future development.
Keywords: heterojunction; solar cell; MoOx;
目录
摘要 I
Abstract II
第一章 绪论 1
1.1 引言 1
1.2 异质结的概述和研究背景 1
1.2.1 异质结的概述 1
1.2.2异质结的研究背景 3
1.3 异质结的制备工艺 4
1.3.1 制备工艺简述 4
1.3.2 材料的选择 4
1.3.3 表面处理技术 5
1.3.4 a-Si:H薄膜沉积 6
1.3.5 透明导电氧化薄膜 7
1.3.6 格栅金属电极 8
1.4 SHJ电池工业化进展及发展方向 9
1.4.1 工业化进展 9
1.4.2 未来的发展方向 9
1.5本论文的研究内容和意义 10
第二章 理论模拟基础 11
2.1引言 11
2.2 AFORS-HET软件建模与模拟原理 11
2.2.1基本模拟方法 12
2.3 半导体复合效应 12
2.3.1 Auger复合 12
2.3.2辐射复合 13
2.3.3 Shockley-Read-Hall复合 13
2.3.4表面复合 14
第三章 模拟内容及结果 15
3.1 引言 15
3.2 模拟方案建模 15
3.3 实验结果及讨论 17
3.3.1 MoOx发射层对电池性能的影响 17
3.3.2不同厚度以及掺杂的氧化钼层对电池性能的影响 18
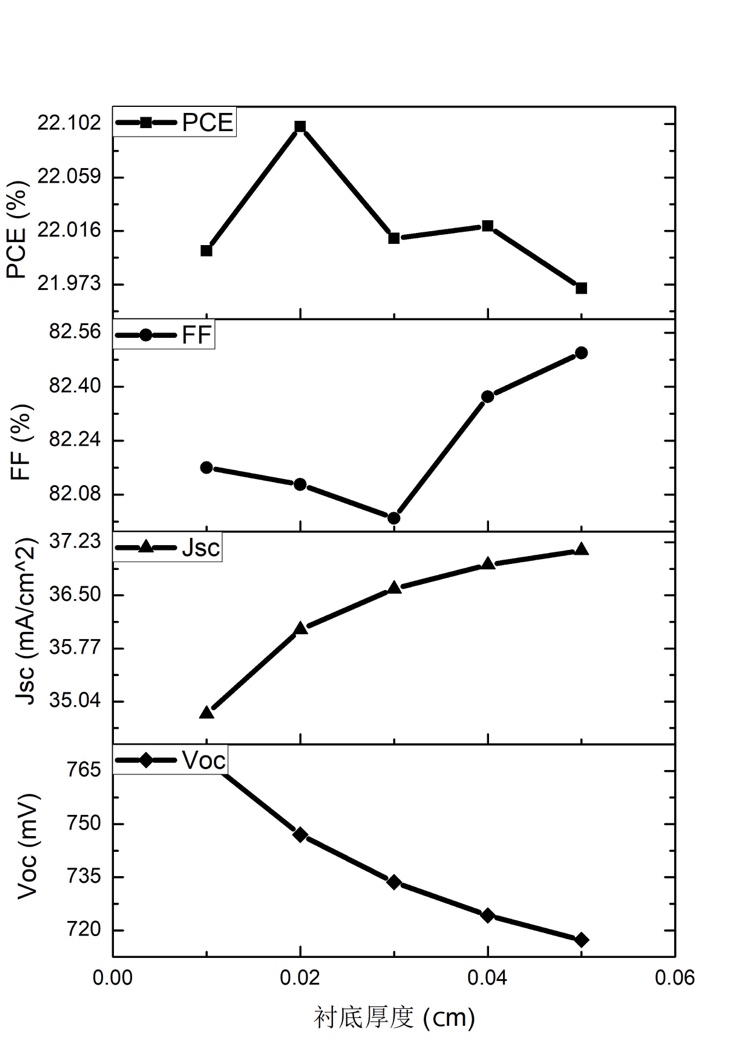
3.3.3不同厚度以及掺杂的衬底对电池性能的影响 20
3.3.4 TCO功函数对电池性能的影响 23
第四章 结论和展望 25
4.1 结论 25
4.2 展望 25
参考文献 27
致谢 30
第一章 绪论
1.1 引言
当今社会,能源问题愈加严峻,气候问题更加收到重视,人类更多的会去思考如何在确保环保的前提下,更加高效率低成本的解决能源问题。光伏(PV)设备能将太阳光直接转换为电能。由于太阳可以为地球提供人类目前消耗的能量的10,000以上的能源,所以PV有极大的可能成为一个产能巨大并且又环境友好的能源。与传统的电网电力相比,长期以来PV的价格以及使用成本仍然很昂贵。然而,现在的太阳能电力可以以0.10-0.20 €/kWh的价格与电网竞争。这其中价格的下降原因,可以通过光伏技术的稳定以及成本的降低来解释。其最主要的原因是由于制造规模的增加以及技术的重大进步[1]。
1941年,新泽西的贝尔实验室发现了晶体硅(c-Si)的PV特性,并阐述了第一个硅基PV器件的概念[2]。在1954年,相同的设施中使用了扩散p-n结开发了一种能量转换效率为6%的太阳能电池[3],该装置可以被视为是第一个现代太阳能电池。由于当时化石燃料的成本迅速上升以及环境问题的日益严重,因此在20世纪70年代初期引发了大规模的地面光伏设备的搭建,从那时起,c-Si一直主导着光伏市场。随后80年代的后期,日本公司三洋开始在c-Si晶片太阳能电池中加入异质结构造。千禧年之际,三洋公司生产出了效率超过20%的面积(gt;100 cm2)更大的电池装置。2009年时,世界上第一块电池效率达到22%且面积为100 cm2的电池装置也由三洋公司制造实现[4]。此后,人们不断通过改变发射层材料、厚度、制备工艺等方法来提升电池的效率。
1.2 异质结的概述和研究背景
1.2.1 异质结的概述
异质结是一个界面区域,如图1-1所示,是由两种不同的半导体相接触形成。SHJ器件成功的关键是通过插入具有更宽带隙的钝化半导体薄膜[5],将高度重组-活性(欧姆)触点与晶体表面分离。理想情况下,SHJ器件缓慢的通过该缓冲层充电以形成高电压,但是又可以足够快的避免载体在收集之前进行重新组合。因此,缓冲层可以被认为是为了载体而提取的半透膜。晶圆表面的界面态密度应该是最小的,反之缓冲层将会增强,而不是抑制复合过程。SHJ的概念在原理上与金属-绝缘体-半导体(MIS)太阳能电池很相似,它依赖于载流子通过绝缘缓冲层产生的量子力学范畴内的隧道效应[6]。然而,这种隧道效应的发生,在SHJ器件中并不是必要的。比较而言,载流子的扩散传输可能是同等的重要。对于SHJ器件,几纳米厚的,氢化非晶硅(a-S:H)薄膜是缓冲层的备选材料之一:他们的带隙比c-Si稍稍略宽,它们可以更相对容易地发生掺杂,无论n型亦或是p型,都能够制造电子异质结。
相关图片展示:






您可能感兴趣的文章
- 改善锂离子电池中硅基负极存储性能的策略研究外文翻译资料
- 通过添加压电材料BaTiO3提高大功率锂离子电池的微米级SiO @ C/CNTs负极的电化学性能外文翻译资料
- Pd和GDC共浸渍的LSCM阴极在固体氧化物电解池高温电解CO2中的应用外文翻译资料
- 利用同步回旋加速器粉末衍射的方法来研究在有其他物相的情况下C4AF的水化作用外文翻译资料
- 外国循环流化床锅炉发展现状外文翻译资料
- 含石蜡基复合材料的多壁碳纳米管的热性能外文翻译资料
- 矸石电厂炉渣机制砂的应用研究外文翻译资料
- 机动车螺旋弹簧的失效分析外文翻译资料
- 从废阴极射线管和锗尾矿制备高强度玻璃泡沫陶瓷外文翻译资料
- 作为导热液体的液态金属在太阳能储热中的应用外文翻译资料


