N型萘二酰亚胺稠杂环芳烃合成及其光电性质研究毕业论文
2020-04-25 19:46:44
摘 要
有机半导体材料如今已成为全球半导体领域科研人员的研究热点,相较于传统的无机半导体材料,有机材料的优势在于可以通过化学手段进行修饰调制以达到不同的功能需求,由于有机材料具有成本低廉、柔软性好和可适应性强等优异特性,人们希望凭借其优异特性加速半导体领域乃至整个光电领域的快速发展和技术更新。由于稠环芳香烃化合物所具备的大共轭平面结构,有利于电子传输的π-π堆积,使其成为一类非常有前景的半导体材料。
本文将从有机半导体材料的研究出发,围绕缺电子的萘二酰亚胺基团,通过并环的方法,增加共轭结构,并引入缺电子的C=N单元,制备萘二酰亚胺稠杂环芳烃化合物,以期获得高效N型有机半导体材料。
关键词:N型半导体材料; 稠杂环芳烃化合物; 萘
Synthesis and Photoelectric Properties of N-type Naphthalimide Fused Heterocyclic Aromatic Hydrocarbons
Abstract
Organic semiconductor materials have become a research hotspot for researchers in the field of semiconductor all over the world. Compared with traditional inorganic semiconductor materials, the advantages of organic materials lie in that they can be modified and modulated by chemical means to meet different functional requirements; they are rich in diversity and low in cost; they have excellent properties such as flexibility, adaptability and high biocompatibility. By virtue of the excellent properties of organic materials, people expect that the organic materials could accelerate development and technological updating in the semiconductor field and even in the photoelectric field. The good structure of polycyclic aromatic hydrocarbons, the accumulation of π-π conducive to electron transport, and the good planar structure make them a very promising class of semiconductor materials.
In this paper, we will start the research from organic semiconductor materials, and based on the electron-deficient building block of naphthalene diimide (NDI), by means of ring-fusing to increase the conjugated structure and introduce an electron-deficient C=N unit. Thus to prepare the Heterocyclic aromatic hydrocarbon compounds with a view obtain highly efficient N-type organic semiconductor materials.
Key Words: N-type Semiconductor Materials; Polycyclic Aromatic Hydrocarbon; Naphthalene
目录
摘 要 I
Abstract II
第一章 绪论 1
1.1有机电子学概述 1
1.2 有机电子学及有机半导体材料 2
1.3 有机半导体材料 4
1.3.1有机光电材料中的电子过程 4
1.3.2有机半导体材料的分类 4
1.3.3空穴传输材料和电子传输材料 5
1.4 有机半导体材料的应用 6
1.4.1 有机场效应晶体管(OFET) 6
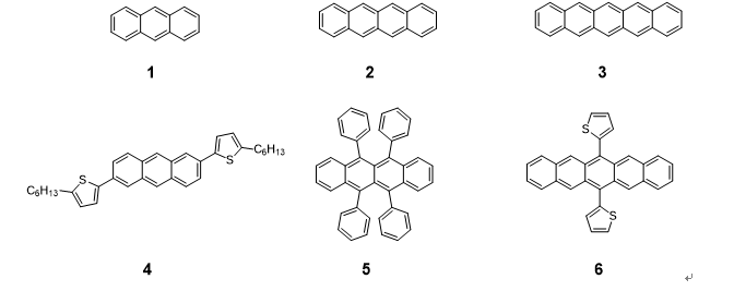
1.5稠环芳烃化合物 8
1.5.1 酰胺类半导体材料及其衍生物 9
1.6 毕业设计工作方向及其意义 10
第二章 萘二酰亚胺稠环芳烃的研究背景、分子设计及合成 11
2.1 引言 11
2.2 分子设计思路 11
2.3 实验 13
2.3.1 试剂与仪器 13
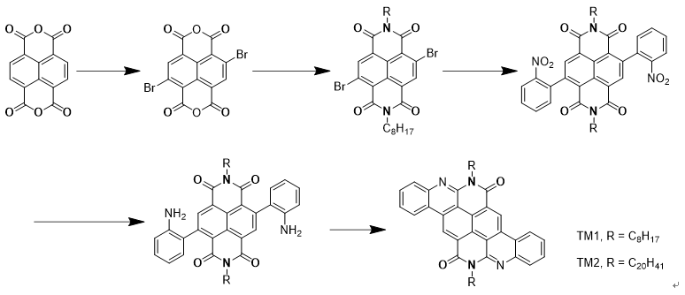
2.3.2 具体合成步骤 14
2.4 结果与讨论 20
第三章 结论与展望 23
3.1 结论 23
3.2 展望 23
参考文献 25
致谢 32
第一章 绪论
1.1有机电子学概述
全球科研人员对半导体材料的不断摸索与探究,支撑着电子学的迅速发展以及信息时代的迅速降临于普及,并形成了电子信息化的庞大产业,对人类科技和社会的进步做出了巨大的贡献,渗入到我们每个人生活的点点滴滴中。这一切得益于集成电路的开发以及电子器件的日渐小型化,譬如人类研发出的第一台电子计算机由18000个电子管组成,重达30吨,而如今人们人手一台的笔记本电脑最轻的已不足1 kg但却能集成上亿个晶体管。

图 1-1 摩尔定律
虽然无机半导体物理学和集成电路工艺的日益成熟使得无机半导体材料已经被成熟的运用在包括电子元件,信息显示和高密度信息储存等诸多领域,但是无机半导体材料的弊端也日渐显露,电子性能发展已接近物理极限,其中有关电子方面的进展已无限靠近物理极致,半导体界有名的摩尔定律说明,合成电路上能够放置元器个数每经历18-24个月就能增大一倍,各方面能力也会提升一倍,但是如今元器件的制作工艺已接近10 nm,过小的元器件尺度导致量子隧穿漏电问题已经不可忽视,摩尔定律几近失效;同时无机半导体材料种类少(硅、锗、砷化镓),对环境污染大,制备成本高的缺点也不容忽视。
为了解决这些问题,使电子学能够得到进一步发展,全世界的半导体研究人员更多的致力于对有机半导体材料的研究,人们对于有机材料是绝缘体的观念也有了实质性转变,至此有机电子学应运而生,半导体器件从无机半导体发展到有机半导体这一重要迈步,必将对半导体电子学领域科技的进步带来深远的影响。
1.2 有机电子学及有机半导体材料
人们对于有机材料是绝缘体的观念也有了实质性转变,至此有机电子学应运而生,半导体器件从无机半导体发展到有机半导体这一重要迈步,必将对半导体电子学领域科技的进步带来深远的影响。半导体材料的主要特点是其异于绝缘体和导体的导电性质,在无机半导体中,价带充满电子处于高能量轨道而导带充满空穴处于低能量轨道,对其施加电压或强光会激发价带导带中的电子和空穴穿越禁带达到电子流动的效果。有机半导体中具有离域特性的孤对电子起到类似的作用,有机半导体中具有离域特性的孤对电子起到类似的作用,因此半导体材料又被称为有机固体,是一类具有特殊光、电、磁特性的有机半导体物质。
相关图片展示:







您可能感兴趣的文章
- 改善锂离子电池中硅基负极存储性能的策略研究外文翻译资料
- 通过添加压电材料BaTiO3提高大功率锂离子电池的微米级SiO @ C/CNTs负极的电化学性能外文翻译资料
- Pd和GDC共浸渍的LSCM阴极在固体氧化物电解池高温电解CO2中的应用外文翻译资料
- 利用同步回旋加速器粉末衍射的方法来研究在有其他物相的情况下C4AF的水化作用外文翻译资料
- 外国循环流化床锅炉发展现状外文翻译资料
- 含石蜡基复合材料的多壁碳纳米管的热性能外文翻译资料
- 矸石电厂炉渣机制砂的应用研究外文翻译资料
- 机动车螺旋弹簧的失效分析外文翻译资料
- 从废阴极射线管和锗尾矿制备高强度玻璃泡沫陶瓷外文翻译资料
- 作为导热液体的液态金属在太阳能储热中的应用外文翻译资料


