Na3MnTi(PO4)3电极的制备及海水淡化性能研究毕业论文
2020-04-19 21:19:14
摘 要
水资源紧缺已成为全世界需共同面对的一个难题,而海水淡化作为开源增量技术,为解决人类水资源问题提供了可能,而传统海水淡化难以走出高能耗的技术困境。基于法拉第电池的海水淡化体系因具有高脱盐效率和低能耗等特点,引起了广泛关注,而发展高性能电极材料是实现该体系应用的关键。本文以既能作为正极活性物质,也能充当负极的电极材料的Na3MnTi(PO4)3储钠电极为研究对象,开展Na3MnTi(PO4)3电极材料的制备及其在氯化钠水溶液的可逆储钠性能研究。研究结果如下:Na3MnTi(PO4)3电极材料主要通过正极上的Mn3 /Mn2 和负极上的Ti4 / Ti3 氧化还原能力使钠离子发生嵌入和脱出,在NaCl(1.0M)水溶液形成稳定的工作电压为0.8 V左右,具有较为良好的循环稳定性和储钠性能,该电极材料的容量在56.7 mA·h·g-1,具有良好的的可逆性能。
关键词:海水淡化;Na3MnTi(PO4)3;脱盐电池;储钠性能
Preparation of Na3MnTi (PO4)3 electrode material and its desalination performance
Abstract
Water shortage has become a common problem in the world, and seawater desalination, as an open source incremental technology, provides a possibility to solve the problem of human water resources. However, traditional seawater desalination technology has been faced with high energy consumption. Faraday cell-based seawater desalination system has attracted wide attention due to its high desalination efficiency and low energy consumption. In this article, Na3MnTi(PO4)3 sodium storage electrode, which can be used as active material of positive electrode and electrode material of negative electrode, was used to study the preparation of Na3MnTi(PO4)3 electrode material and its reversible sodium storage performance in sodium chloride aqueous solution. The results are as follows: Na3MnTi(PO4)3 electrode materials mainly through Mn3 / Mn2 on the positive and negative on the Ti4 / Ti3 redox ability embedding and emerge in the sodium ions, in NaCl aqueous solution (1.0 M) to form stable working voltage is about 0.8 V, the sodium has a relatively good cycle stability and storage performance, the capacity of the electrode material in 56.7 mA, h. g - 1, has the good performance of reversible.
Key words: desalination; Na3MnTi(PO4)3; desalination battery; dodium storage properties
目录
摘 要 I
Abstract II
第一章 绪论 1
1.1选题背景及意义 1
1.2传统海水淡化的方法及制约发展因素 2
1.3新型海水淡化技术的研究 3
1.4 Na3MnTi(PO4)3的结构和性质 5
1.5 Na3MnTi(PO4)3的研究进展 6
第二章 实验部分 7
2.1概述 7
2.2制备方法 7
2.3电极材料制备 8
2.3.1实验药品和仪器 8
2.3.2实验步骤 8
2.4表征方法 9
2.4.1 X射线衍射光谱(XRD) 9
2.4.2扫描电子显微镜(SEM) 9
2.5电化学性能测试 10
2.5.1 电化学性能测试系统 10
2.5.2 循环伏安法(CV) 10
2.5.3 充放电测试 10
2.5.4 恒电位电化学阻抗谱(PEIS) 10
第三章 结果与讨论 11
3.1 表征分析 11
3.1.1 XRD 11
3.1.2 扫描电子显微镜 11
3.2电化学性能分析 12
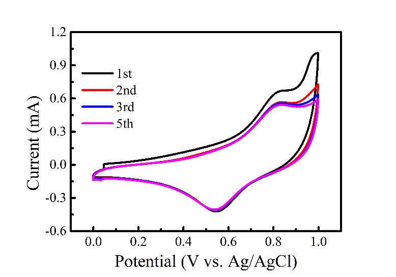
3.2.1 循环伏安(CV)曲线的测定 12
3.2.2 恒电位电化学阻抗谱(PEIS) 13
3.2.3充放电性能测定 14
第四章 结论 16
4.1性能对比 16
4.2实验分析 16
4.3实验总结 17
参考文献 18
致谢 21
第一章 绪论
1.1选题背景及意义
水资源匮乏已成为全世界共同面对的难题,而随着人口的快速增长和生活水平的提高,以及自然环境的破坏,人们可利用的淡水日益匮乏。据联合国教科文组织估计,按目前的增长率,到2030年,全世界将近一半的民众面临水资源紧缺的问题,涉及的国家和地区达40多个[1]。水资源短缺和清洁水源的减少,正逐渐成为世界范围内资源危机,这是关乎人类生存的根本性问题。
淡水资源匮乏是我国面临的制约可持续发展的重要问题。为满足工业生产用水和生活用水需求,地表和地下的水资源曾被过度的开发和开采,引起一系列地表水环境破坏、地下水超采、生态用水被挤占等环境问题,给生态环境的保护造成了较大压力。除上述以外,由于我国水资源的分地区配不均,国家组织实施跨区域调水的战略工程,在一定程度上对华北的经济环境、生态环境和社会经济都带来了巨大改善和持续发展,但是由于过多的占用大量耕地,造成严重的水土流失和水质下降的问题,还存在被引水地区的环境危害等问题,成本较高。所以我们亟需更加行之有效的方法来解决淡水资源紧缺的问题,保障供水安全、推进生态文明建设、促进经济社会可持续发展。
地球上水资源丰富,但绝大多数为海水,淡水资源仅占地球总水量的2.5%,而人类能有效利用的淡水仅占全球淡水总量的0.3%,其余淡水主要以冰、雪的形式存在于地球南北两极、高山冰川及存在地下水中,可利用的淡水中分布有很不均。[2]更糟糕的是,由于生态环境的破坏,全球的水质污染严重,淡水资源危机进一步加强。
以上是毕业论文大纲或资料介绍,该课题完整毕业论文、开题报告、任务书、程序设计、图纸设计等资料请添加微信获取,微信号:bysjorg。
相关图片展示:







您可能感兴趣的文章
- 改善锂离子电池中硅基负极存储性能的策略研究外文翻译资料
- 通过添加压电材料BaTiO3提高大功率锂离子电池的微米级SiO @ C/CNTs负极的电化学性能外文翻译资料
- Pd和GDC共浸渍的LSCM阴极在固体氧化物电解池高温电解CO2中的应用外文翻译资料
- 利用同步回旋加速器粉末衍射的方法来研究在有其他物相的情况下C4AF的水化作用外文翻译资料
- 外国循环流化床锅炉发展现状外文翻译资料
- 含石蜡基复合材料的多壁碳纳米管的热性能外文翻译资料
- 矸石电厂炉渣机制砂的应用研究外文翻译资料
- 机动车螺旋弹簧的失效分析外文翻译资料
- 从废阴极射线管和锗尾矿制备高强度玻璃泡沫陶瓷外文翻译资料
- 作为导热液体的液态金属在太阳能储热中的应用外文翻译资料


