道路沥青老化特性及其本构模型毕业论文
2020-02-13 14:49:45
摘 要
沥青的老化与沥青混凝土路面的抗裂、抗疲劳等性能以及服役寿命密切相关,通过对沥青老化前后的流变性能进行表征,并利用科学的流变学模型进行描述,对研究沥青老化性能具有重要的指导意义。
本文制备了六组不同老化程度的沥青样品,采用多种测试方法表征其性能变化,探究其老化前后的性能变化。为了探究其流变性能相关性,采用模型对其流变性能进行了模拟,选取Burgers模型并推导出了其频域和时域方程,根据频率扫描和蠕变数据进行了拟合,求出了模型参数。
研究结果表明:随着老化程度的加深,沥青的各项流变性能均发生了一定程度的规律性变化,室内模拟可以实现对自然老化进行长期的老化模拟。模型模拟结果表明,采用Burgers模型可以较好的模拟出沥青的流变性能。研究表明:不同老化程度的沥青其模型参数呈规律性变化。
本文的特色:采用流变学模型对不同老化程度的沥青的流变性能进行了模拟,并通过频域和时域下模型参数的一致性评价了模型模拟效果。
关键词:沥青;模拟老化;Burgers模型
Abstract
Asphalt aging is closely related to crack resistance, fatigue resistance and service life of asphalt concrete pavements. By characterizing the rheological properties of asphalt before and after aging, and using the scientific rheological model to describe, it has important guiding significance for the study of asphalt aging performance.
In this paper, six groups of asphalt samples with different degrees of aging were prepared. Various test methods were used to characterize the performance changes and explore the performance changes after aging. In order to explore the correlation of rheological properties, Burgers model was used to simulate its rheological properties. The equations of Burgers model in frequency domain and time domain were derived. The model parameters were obtained by fitting the data of frequency scanning tests and creep tests.
The results show that with the deepening of aging, the rheological properties of asphalt have changed regularly to a certain extent. The simulation results showed that Burgers model could better simulate the rheological property of asphalt. The study show that the model parameters of asphalt with different aging degree change regularly.
Characteristic of this paper: Rheological model is used to simulate the rheological properties of asphalt with different aging degrees, and the simulation effect is evaluated by the consistency of model parameters in frequency domain and time domain.
Key Words: Asphalt;Simulated aging;Burgers model
目 录
第一章 绪论 4
1.1引言 4
1.2沥青室内老化模拟研究现状 4
1.3本论文选题意义及研究内容 4
第二章 沥青老化样品的制备及表征测试方法 5
2.1沥青样品的制备 5
2.1.1实验原料 5
2.1.2实验仪器 5
2.1.2实验样品制备方法 5
2.2沥青样品物理性能表征方法 7
2.2.1软化点测试 7
2.2.2黏度测试 8
2.2.3温度扫描测试 11
2.2.4频率扫描测试 12
2.2.5低温蠕变测试 12
2.3沥青化学组成表征方法 12
2.3.1红外光谱测试 12
2.3.2四组分含量测试 13
2.3.2.1溶解沉淀及色谱柱法 13
2.3.2.2沥青全自动组分分析仪 14
第三章 沥青室内老化性能分析 16
3.1流变性能分析 16
3.1.1软化点分析 16
3.2.2黏度分析 17
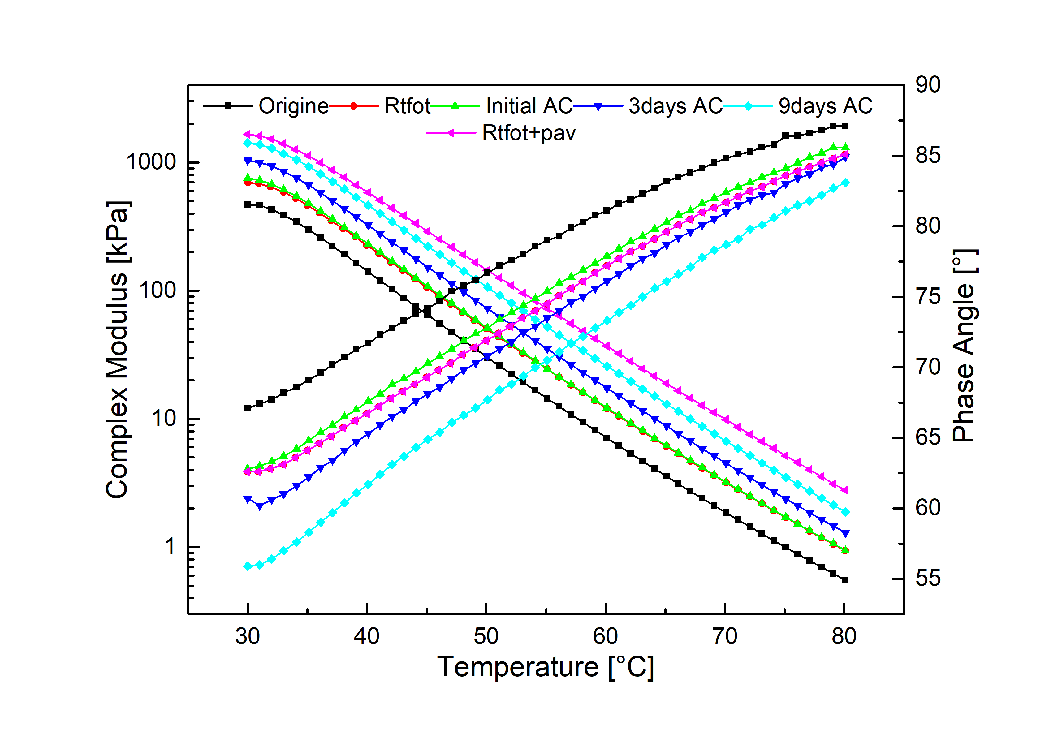
3.2.3复合模量分析 18
3.3沥青化学组成分析 24
3.3.1红外光谱测试 24
3.3.2四组分含量测试结果分析 25
3.3沥青本构模型的构建及频域时域转换 29
3.3.1流变模型中简单的黏弹性元件 30
3.3.2经典的本构模型 32
3.3.3Burgers模型 32
第四章 结论与展望 39
4.1结论 39
4.2展望 40
致谢 41
参考文献 42
第一章 绪论
1.1引言
目前,沥青混凝土路面正逐渐取代水泥混凝土路面,成为路面构筑的主要结构。在沥青混凝土路面大量构筑的同时,如何提升其路面服役寿命,从而达到投资最大化也成为路面投资者日益关注的课题。而沥青混凝土路面的服役寿命主要受沥青耐老化性能的影响,国内外对沥青耐老化性能的研究报道也不断出现。由于沥青路面寿命评价周期长,而又难以实时观测,加之路面耐老化性能评定体系不完善等因素,室内模拟老化试验成为国内外对沥青老化性能研究的首选方法。通过室内老化试验,对沥青及混合料回收沥青进行一定条件的老化模拟,短期内就可以实现对沥青耐老化性能的评价[1]。
1.2沥青室内老化模拟研究现状
国内已经有大量的研究通过室内老化模拟试验对沥青及其混合料的耐老化性能进行评价。例如许培俊[1]等人通过对沥青进行旋转薄膜烘箱老化试验、针入度测试、软化点测试和动态旋转流变分析,探讨不同老化条件对沥青性能的影响及沥青老化的机理。沈燕[3]等人通过室内模拟橡胶沥青及橡胶沥青混合料老化的试验方法,研究了不同老化程度下橡胶沥青及橡胶沥青混合料回收沥青的基本性能,建立了橡胶沥青及回收沥青性能关系模型,并对橡胶沥青混合料进行了老化分级,为室内老化模拟试验的评定提供了新的范例。大量的研究都旨在于通过室内老化模拟试验得出室内老化规律,找出室内模拟老化与自然老化的更严谨的对应关系,以期达到更可靠的模拟效果[4][5] [6]。但是对沥青与混合料之间的流变性能相关性却缺少相关深入研究。由于在沥青拌合施工过程中也存在一定程度的老化,沥青与混合料之间的流变性能也具有一定的研究意义。对沥青与混合料回收沥青进行老化模拟试验后对比测试其物理化学变化[7],从而对其相关性进行探究是一个值得研究的课题。
1.3本论文选题意义及研究内容
本报告旨在于对基质沥青进行不同条件的室内老化模拟试验,对沥青及混合料提取沥青进行室内老化模拟对比试验,测试其物理化学性能,探究老化前后沥青的性能变化,从而对不同老化条件对沥青性能的影响程度进行分析,对沥青与混合料之间的流变性能相关性进行探究。为了从流变学的角度解释沥青老化的性能变化规律,本文采用Burgers模型对沥青的流变性能进行了描述,并希望该模型能够为以后的复杂模型的建立提供一定的参考。
第二章 沥青老化样品的制备及表征测试方法
2.1沥青样品的制备
本文借助课题组与法国蒙彼利埃大学Charles Coulomb 实验室(Laboratory Charles Coulomb, University of Montpellier)的合作项目, 由该实验室提供沥青样品。
2.1.1实验原料
本文所采用的样品均为道路沥青50/70(bitumen50/70),根据老化时间及老化条件的差异分为六组样品。
2.1.2实验仪器
为制得本文所用的六组沥青样品,需要以下仪器。
旋转薄膜烘箱:能够使试样在垂直方向旋转,沥青膜较薄,能连续介入热空气,以加速老化,使老化试验时间大大缩短。其沥青膜的厚度只有5~10um,试验时间更短,更加接近沥青混合料拌合时的实际情况。
压力老化试验仪:该仪器能够控制容器内部压缩空气的压力和温度,采用高温和压缩空气在容器内部对沥青进行加速老化,从而模拟沥青在道路使用过程中的长期氧化老化。
2.1.2实验样品制备方法
沥青样品的制备方案如下:
- 将原始沥青样品作为本文的一组样品参与对比实验;
- 将该种沥青与混合料进行160˚C高温拌合后将松散混合料置于80˚C条件下静置老化,根据拌合后老化时间的不同将分离回收后的沥青分为三组样品,新拌沥青,老化3天后的沥青以及老化9天后的沥青。
- 进行了室内模拟老化试验,取基质沥青分别进行旋转薄膜烘箱老化、旋转薄膜烘箱老化之后进行压力老化以得到两组模拟老化样品。各项老化条件均按照《公路工程沥青及沥青混合料试验规程》(JTG E20-2011)进行。
共计得到6组样品可用于各项性能测试。
其样品的指标如下表:
表2-1 样品编号
|
样品编号 |
制备条件 |
|
Origine |
原始沥青样,不做处理 |
|
Rtfot |
旋转薄膜烘箱老化处理 |
|
Rtfot pav |
旋转薄膜烘箱老化处理、压力老化处理 |
|
Initail AC |
160˚C高温拌合后回收处理 |
|
3days AC |
160˚C高温拌合后松散料80˚C静置老化3天回收处理 |
|
9days AC |
160˚C高温拌合后松散料80˚C静置老化9天回收处理 |
其制备方案流程图如下:
图 0‑1样品制备方案流程图
图 2-1 样品制备流程图
2.2沥青样品物理性能表征方法
2.2.1软化点测试
沥青是一种非晶质高分子材料,具有一定的温度敏感性,温度升高时由固态熔化为液态,黏度降低;温度降低时由液态凝结为固态,同时黏度上升,固液相转变的温度无法确定,而黏度却既可以实测也可以通过其他形式表现。因此采用沥青达到规定黏度时的温度(软化点)来描述这一温度特性。软化点既可以反映沥青的温度敏感性,同时也反映了沥青的黏稠性。
针对同一样品,不同的试验方法测试得到的软化点数值不同,为使本文测试数据更具有参考性与代表性,本文采用《公路工程沥青及沥青混合料试验规程》(JTG E20-2011)(以下简称规程)中的T0606-2011沥青软化点试验(环球法)对沥青样品的软化点进行测定,试验操作及试验条件均严格按照规程进行。该方法适用于道路石油沥青、聚合物改性沥青的软化点测试。
该方法的测试仪器软化点试验仪结构图如下:

图 2-2 软化点试验仪结构图
主要部件包括:
钢球:直径9.53mm,质量3.5gplusmn;0.05g。
试样杯:黄铜制成,台阶形,作试样成型模具。
钢球定位环:黄铜制成,用于定位钢球。
金属支架:由两个主杆和三个平行金属板组成。上层为一圆盘盖子,加装温度传感器探头以及电热丝,中间平板上试样环及温度传感器探头定位孔。
耐热玻璃烧杯:容量800-1000mL。
温度传感器:量程0-100摄氏度,分度值0.1摄氏度。
本文采用的测试仪器为SYD-2806F型软化点仪,其实物图如下:

图 2-3 SYD-2806F型软化点仪
2.2.2黏度测试
沥青是一种黏弹性流体,不能以固体和液体对其进行简单的分类,而是在某种应力、剪切速率及时间条件下表现固体或液体的性质。为了表示流体抵抗形变的能力,把抵抗流体体积元不可逆位置变化的阻力叫做黏度。牛顿描述了的黏度(动力黏度)测定基本定律:

式中:
——剪切应力,
;
——黏度,
;
——剪切速率,
。
而旋转流变仪和黏度计都是通过剪切流动来表征流体的黏度。剪切流动可以概括为以下四种模式。

图 2-4 四种流动模式
(1)两个平板之间的流动,如图2-4(a)所示,通过两个平行板之间的相对位移来产生层流。
(2)两个同轴圆筒壁环缝之间的流动,如图2-4(b)所示。通过连个同轴圆筒之间的相对位移产生同心液层的流动。
(3)通过粗管、细管或毛细管的流动,如图2-4(c)所示。
(4)旋转流变仪的锥——平板或板——板之间的流动,如图2-4(d)和(e)。两个圆板之间由于相对转动产生的流动。
本文采用的黏度测试方法就属于第四种类型,旋转流变仪的锥——平板测试。而该仪器包括两种工作模式,结构示意图如下:

图2-5 流变仪两种工作模式
(1)一种是控制输入应力,测试产生的剪切速率,即控制应力流变仪或CS流变仪。如图2-5(a)所示,上椎板由特种马达M驱动,由于输入电流与马达的扭矩呈线性关系,通过控制电流可以对扭矩进行预设,扭矩通过换算转化为剪切应力。而转子的转动角度借助一个360度圆周被分为10^6个刻度的光学传感器进行测定,进而换算为剪切速率,最后根据牛顿定律计算黏度。
(2)另一种是控制输入的剪切速率,测试产生的剪切应力,即控制速率流变仪或CR流变仪。如图2-5(b)上椎板由马达M驱动,以恒定转速转动。下平板保持静止。扭转角度由扭矩弹簧之间测量,换算成剪切应力,最后根据牛顿定律计算黏度。
该流变仪的椎板测量转子系统如下图所示:

图 2-6 带截头的锥板测量转子系统
锥角通常很小,其数值必须满足圆锥表面上任何一点的角速度与板间距之比是定值,即从圆锥顶点至外半径Rc处的剪切速率都是定值。在测试过程中由于填料常常带有磨蚀性椎板尖会发生一定的磨损,为了减小磨损误差,同时保证较准确的试验结果,通常尖椎板做截头处理。
剪切速率
(s-1)
式中 ——角速度,rad/s;
—— 转子速度,r/min;
——锥角,rad;
M——剪切速率因子,1/rad,其定义如上述所述。对于特定的椎板测量转子系统是常数。
剪切应力
式中
椎板外半径,m;
测定扭矩,Nm;
A——剪切应力因子,对于特定测量转子系统是一个常数。
因此,黏度计算式为:
该剪切流变仪的实物图如下:

图2-7 动态剪切流变仪
2.2.3温度扫描测试
利用动态剪切流变仪对六组样品的流变性能进行了温度扫描测试和频率扫描测试,相关试验操作依据《公路工程沥青及沥青混合料试验规程》(JTG E20-2011)中的T0628-2011沥青流变性能试验(动态剪切流变仪法)进行,试验条件依据实际需要进行。
为了研究在不同温度下沥青流变性能的差异,依据规程利用动态剪切流变仪对六组沥青样品进行温度扫描测试。为了更好了反映不同温度下沥青的模量变化,测试温度范围为30 ˚C -80 ˚C,振幅0.5%,频率10rad/s。
2.2.4频率扫描测试
受试验设备、时间及成本等因素制约,很难通过试验直接获得宽频率、宽温度范围内的动态模量信息。而利用时间-温度等效原理,将不同温度下的频率曲线进行等效偏移,从而获得任意参考温度下宽频域曲线,可以描述更宽的频率和温度范围内的动态黏弹性能。这种宽频率、宽温度范围内的模量曲线称为主曲线。而要构建主曲线,就需要获得在不同温度下沥青样品的频率扫描信息,为主曲线的构建提供数据支持。
本文依据规程利用动态剪切流变仪对六组沥青样品进行了测试,为了保证不同温度下的频域曲线通过偏移能够获得频域足够宽的主曲线,也为了数据的准确性,不同温度点之间的梯度不宜过大,特别是对于模量随温度变化幅度大的温度点附近,还应缩小温度梯度,以满足偏移数据点后得到的主曲线足够连续。
据此,本文针对六组样品设置了相对应的测试条件。每个沥青样品测试20˚C、25 ˚C、30 ˚C、40 ˚C、50 ˚C、60 ˚C六个温度点,每个温度点的测试频率范围为0.10rad/s-400.00rad/s,加载振幅0.5%,每个温度点的频率范围内取19个数据点。其中,由于压力老化沥青样品黏度过高,利用流变仪对其进行测试时转子系统依据规范改用直径8mm的转子,同时调整测量间隙为2mm。其他样品的转子均为直径25mm转子、测量间隙为1mm。
2.2.5低温蠕变测试
为了求出沥青样品在时域的模型参数,需要沥青样品的时域蠕变数据,蠕变测试的测试条件参数如下:
表 2-2 蠕变测试条件参数
|
温度[˚C] |
施加应力[Pa] |
加载时间[s] |
回复时间[s] |
|
20 |
825 |
5 |
60 |
2.3沥青化学组成表征方法
沥青在老化过程中其化学组分也会发生一定的变化,为探究不同老化程度对沥青性能的影响,从化学组分角度进行了分析测试[8][9]。
2.3.1红外光谱测试
沥青的老化过程多为可以解释为热氧老化,即温度和氧含量的共同作用。在其老化过程中,沥青中的某些基团会被氧化而使其氧化产物含量增加,被氧化产物含量减少,通过对氧化产物的基团含量进行红外测试,分析其含量变化,可以定性的反映沥青的老化程度。针对沥青样品的红外测试,需要用涂片法制样。具体方法为:先使用二硫化碳稀释(比例为0.1g沥青样品:2mL二硫化碳溶剂),溶解均匀后涂在KBr片上,用Na灯烘干后进行测试。
2.3.2四组分含量测试
2.3.2.1溶解沉淀及色谱柱法
对六组样品进行了四组分含量测定,依据《公路工程沥青及沥青混合料试验规程》(JTG E20-2011)(以下简称规程)中的T0618-1993沥青化学组分试验(四组分法)进行,该方法采用溶剂沉淀及色谱柱法[10](又称Corbett法)对道路石油沥青及逆行四组分成分分析。该试验规程利用沥青中所含物质在有机溶剂中的溶解度及吸附性能差异,采用具有不同极性的有机溶剂对沥青中组分进行分级提取。先用正庚烷将沥青试样进行溶解并沉淀,沉淀经过过滤后再用正庚烷回流除去其中的可容分,再用甲苯溶液回流沉淀物从而得到沥青质(As)。剩余可溶分利用氧化铝色谱柱进行处理,依次用定量的正庚烷、甲苯、甲苯/乙醇等溶剂冲洗脱附得到饱和分(S)、芳香分(Ar)和胶质(R)。
该方法的分析流程图如下:

图 2-8 沉淀溶解及色谱柱法流程图
依据该流程对沥青四组分进行了分析提取,其中装置主要包括以下四个部分:
- 正庚烷对石油沥青的回流分离
- 热正庚烷及甲苯回流
- 有机溶剂对Al2O3吸附管的冲洗脱附
- 可溶分及脱附物的浓缩
2.3.2.2沥青全自动组分分析仪
沥青全自动组分分析仪,其核心仪器是一台棒状薄层色谱-氢火焰离子探测仪。采用该仪器测试时,用微量注射器将50uL溶有沥青的溶液分次点到硅胶色谱棒原点处,置于恒温缸中干燥后,用相应的溶剂将沥青的四个组分一次展开分离。之后硅胶色谱棒以恒定速度通过氢火焰,色谱棒上已经分离的有机组分从氢火焰中获得能量而离子化,通过氢火焰离子检测器检测这些离子产生的电流,由于电流与各个组分的有机物质含量成正比,从而实现对沥青中各组分含量的定量检测。
该仪器相关信息及技术参数如下表:
表 2-3 沥青全自动分析仪相关信息及技术参数
|
产品信息 |
产品型号 |
MK-6 |
|
品牌 |
IATROSCAN |
|
|
产地 |
日本 |
|
|
技术参数 |
氢气流量 |
160mL/min(电子流量计) |
|
空气流量 |
2.0L/min(浮子流量计) |
|
|
扫描速率 |
30秒/扫描 |
|
|
出图速率 |
10.0cm/min |
|
|
最多扫描根数 |
10根/次 |
使用该仪器测试时,要获得比较准确的数据,首先要保证沥青四组分能够在色谱棒上进行较好的分离展开,避免组分的堆积或重叠。因此,要采用合适的溶剂以及分离步骤,针对沥青样品,本文采用以下溶剂及分离步骤依次进行分离:
- 采用正庚烷溶剂,分离约30min,使组分展开至色谱棒刻度线值100处,80˚C干燥1min;
- 采用甲苯与正庚烷(体积比为1:1)的混合溶剂,分离约8min,使组分展开至色谱棒刻度线值50处,80˚C干燥1min;
- 采用甲苯与乙醇(体积比为1:1)的混合统计,分离约2min,使组分展开至色谱棒刻度线值50处,80˚C干燥1min;
该仪器实物图如下:

图 2-9 沥青全自动组分分析仪
第三章 沥青室内老化性能分析
本文研究沥青在室内模拟老化与自然老化条件下其性能的相关性。对代表不同老化条件及老化程度的六组样品进行了多种测试分析,以期对其老化性能的差异性与相关性进行分析。
3.1流变性能分析
3.1.1软化点分析
本文六组样品的软化点预估都在80摄氏度以下,因此采用以下测试步骤。
测试时,将带有试样的试样环、金属支架、钢球、钢球定位环等置于5摄氏度水槽中至少15min,而后向烧杯中倒入新煮沸并冷却的5摄氏度蒸馏水,水面略低于深度标记。安装好试样后开水震荡加热,使杯中水温在3min内调节至每分钟上升5摄氏度plusmn;0.5摄氏度。试样受热软化逐渐下坠,至与下层板接触时读取温度,记为软化点。
对六组沥青样品,每组样品测试两次,在满足标准规定的误差限以内取两次数据的平均值作为试验结果。

图 3-1 六组沥青样品的软化点
沥青的软化点在一定程度上可以反映沥青的流变性能,随着沥青老化程度的加深,沥青的软化点会逐渐上升。由图表1可以看出,经过拌合的沥青软化点均比基质沥青高,这是由于在拌合过程中的高温环境加速了沥青的老化,使其老化程度显著增大。其次,对比新拌沥青、拌合后3天的沥青以及拌合后9天的沥青的软化点数据,可以明显看出,随着时间的延长,沥青的软化点逐渐上升。对比室内模拟老化试验数据,旋转薄膜烘箱老化以及压力老化试验对沥青老化程度影响显著,其中,旋转薄膜烘箱和压力老化后的沥青样品软化点达到了65.8摄氏度,相比基质沥青上升了14.5摄氏度。
根据老化指数的定义推出基于沥青软化点的老化指数,定义如下式:
以上是毕业论文大纲或资料介绍,该课题完整毕业论文、开题报告、任务书、程序设计、图纸设计等资料请添加微信获取,微信号:bysjorg。
相关图片展示:


















您可能感兴趣的文章
- 改善锂离子电池中硅基负极存储性能的策略研究外文翻译资料
- 通过添加压电材料BaTiO3提高大功率锂离子电池的微米级SiO @ C/CNTs负极的电化学性能外文翻译资料
- Pd和GDC共浸渍的LSCM阴极在固体氧化物电解池高温电解CO2中的应用外文翻译资料
- 利用同步回旋加速器粉末衍射的方法来研究在有其他物相的情况下C4AF的水化作用外文翻译资料
- 外国循环流化床锅炉发展现状外文翻译资料
- 含石蜡基复合材料的多壁碳纳米管的热性能外文翻译资料
- 矸石电厂炉渣机制砂的应用研究外文翻译资料
- 机动车螺旋弹簧的失效分析外文翻译资料
- 从废阴极射线管和锗尾矿制备高强度玻璃泡沫陶瓷外文翻译资料
- 作为导热液体的液态金属在太阳能储热中的应用外文翻译资料


