高熵陶瓷新体系探索及其相变机理和力学性能研究毕业论文
2020-04-05 10:47:51
摘 要
高熵合金的提出是基于20世纪90年代大块非晶合金的开发,人们都致力于寻找具有超高玻璃化形成能力的合金。叶均蔚等认为这种固溶体是高混合熵稳定的固溶体,因此命名为高熵合金。近几年,一种新型高熵陶瓷(MgCoNiCuZn)O逐渐取代高熵合金成为研究热点。已有的研究报道发现,高熵材料具有一些传统合金所无法比拟的优异性能,如高强度、高硬度、高耐磨耐腐蚀性、高热阻、高电阻等,从而成为在材料科学和凝聚态物理领域中继大块非晶之后一个新的研究热点。
在(MgCoNiCuZn)O的基础上,本文从高熵陶瓷的原材料出发,通过预实验和查阅周期表金属元素氧化物的相,分析出(MgCoNiCuZn)中的氧化物可以分为三类,根据不同类别氧化物的作用,选定了CaO、Al2O3、ZrO2等作为替换氧化物,尝试通过改变部分金属氧化物的种类,改变烧结物的相组成,利用XRD、SEM和拉曼等表征方法对样品的相、表面和键进行表征,以探究单相高熵陶瓷的烧结机理。
研究结果表明,不同体系的最佳烧结温度不尽相同,且随着烧结体系的变化,烧结结果也因此改变。通过对烧结样品进行物相和微观结构的表征,分析总结了单相高熵陶瓷的烧结机理。
关键词:高熵陶瓷,二元氧化物,物相变化,结构表征,岩盐相氧化物
Abstract
High entropy alloys is put forward based on the development of the bulk amorphous alloy in the 1990 s, people are looking for alloys having the great ability of glass forming. Prof. Yeh thinks this solid solution is high entropy of mixing and stable solid solution, so named it high entropy alloys. In recent years, a new type of high entropy ceramics (MgCoNiCuZn) O gradually replace high entropy alloys become a research hotspot. Some studies report found that high entropy material has some excellent properties which traditional alloy doesn't have, such as high strength, high hardness, high wear resistance corrosion resistance, heat resistance, high resistance, etc., to become in the field of materials science and condensed matter physics relay bulk amorphous after a new research hotspot.
On the basis of (MgCoNiCuZn) O, in this paper, starting from the raw materials of high entropy ceramics, by looking at data analysis of the periodic table of metal oxide phase, selected the replace oxides such as CaO, try changing the part of the kinds of metal oxides, change the phase composition of sintering, XRD, SEM and Raman characterization methods, such as the phase, surface and the keys of the samples were characterized, to explore high entropy ceramic sintering mechanism.
Research results show that the sintering temperature of different system varies, and as the change of sintering system, sintering and therefore as a result.Combining the sintered samples were characterized, and replace the oxide phase change, the analysis of the sintering mechanism of high entropy ceramics were summarized.
Key words: high entropy ceramics, binary oxides, phase evolution, micristructure characterization, rocksalt phase oxides.
目 录
摘要..............................................................................................................................Ⅰ
Abstract........................................................................................................................Ⅱ
目录..............................................................................................................................Ⅲ
第1章 绪论...................................................................................................................1
1.1 高熵陶瓷介绍.................................................................................................1
1.2 国内外研究成果.............................................................................................1
1.3 工作提出及研究内容.....................................................................................2
第2章 实验与测试方法..............................................................................................5
2.1 实验原料.........................................................................................................5
2.2 测试分析方法................................................................................................5 2.3 实验所需仪器.................................................................................................6
2.4 实验方案设计与工艺流程.............................................................................7
- 实验结果与讨论分析....................................................................................10
3.1 (MgCoNiCuZn)O体系的物相演变过程分析...............................................10
3.1.1 (MgCoNiCuZn)O体系的物相演变过程............................................10
3.1.2 (MgCoNiCuZn)O体系中氧化物物相的分类....................................10
3.2 岩盐相氧化物对五组元高熵陶瓷物相及烧结的影响...............................11
3.2.1 含有2种岩盐相氧化物的五组元高熵陶瓷的烧结机制.................11
3.2.2 含有3种岩盐相氧化物的五组元高熵陶瓷的烧结机制.................18
3.3 综合分析与讨论...........................................................................................21
3.3.1 岩盐相氧化物对单相高熵陶瓷烧结影响的讨论..............................21
- 总结................................................................................................................23
参考文献......................................................................................................................24
致谢..............................................................................................................................27
第1章 绪论
1.1 高熵陶瓷介绍
针对合金体系的研究趋近于饱和的现状, 台湾学者叶均蔚于1995年提出新的合金设计理念——高熵合金,这对传统的多元合金设计理念是一种突破。高熵合金一般由5~13 种主要元素组成。该合金在热力学上具有很高的熵值(大于1.61R),动力学上具有原子迟缓扩散效应,晶体结构上具有严重的晶格畸变效应,此外多种元素的特性和它们之间的复杂作用使高熵合金呈一种鸡尾酒效应。这些特性使高熵合金相比传统多元合金更不倾向于形成金属间化合物且更易形成简单的固溶体结构和纳米结构,甚至非晶质结构。在性能上,高熵合金具有较高的强度,良好的耐磨性、高加工硬化,耐高温软化、耐高温氧化、耐腐蚀和超高电阻率等优异性能或这些优异特性的组合,这也引起了研究者的广泛兴趣。
继高熵合金的概念提出以后,关于高熵材料的研究逐渐兴起。目前,拥有更高混乱度、更好的性能、低成本以及更好的环境兼容性的新型材料正在成为研究热点。类比来说,构型熵(Configurational entropy)在特定温度下主导了热力学过程的现象同样适用于陶瓷材料。例如,混合四或五种金属或者二元离子氧化物以获得足够的熵,在高温下形成一个高对称的结构。在冷却到常温后,由于高熵陶瓷的迟缓扩散效应,其岩盐结构的固溶体相可以保持稳定。尽管有此理论基础,但直到2015年,一种熵稳定(Entropy-stabilized)的(MgCoNiCuZn)O的氧化物才进入我们的视野。高熵陶瓷拥有较大的介电系数,因此,掺杂异价或等价的熵稳定氧化物有广泛的应用前景。
目前,通过等摩尔比混合五到七种稀土元素氧化物烧结而成的熵稳定氧化物陶瓷正在成为研究热点。因此,探索该种氧化物烧结为单相的机理尤为重要。通过调研文献,查阅了MgO, CoO, NiO, CuO, ZnO五种氧化物的物相,根据之前已有的研究结果,猜想五种氧化物的在烧结过程中可能起到的作用可以归为三类,第一类是岩盐相的MgO, CoO, NiO,它们在烧结中起到稳固晶格;第二类是黑铜矿相的CuO,其熔点为1026℃,因此可能起到助烧结的作用;第三类是纤锌矿相的ZnO,在烧结反应中的作用暂时未知。
1.2 国内外研究成果
自叶钧蔚教授于1995年提出高熵合金的概念以后,关于高熵合金的研究逐渐兴起,但直到2015年,才有第一篇关于熵稳定氧化物的文章。文章中,以五种氧化物(MgO, CoO, NiO, CuO, ZnO)为原料粉,尝试在不同温度下进行烧结,并成功制得了单相的熵稳定氧化物。文章中提到,高熵合金的四大效应在高熵陶
瓷中可能同样适各项性能进行探究。目前研究处于比较初级的阶段,所使用的体系也大多数是以用,分别为高熵效应,晶格畸变效应,鸡尾酒效应和缓慢扩散效
应。这些特性使得高熵陶瓷具有特殊的晶格结构,从而具备独特的性能,如良好的介电性能、较好的力学强度,以及在掺锂之后良好的离子电导。
基于该文章,高熵陶瓷的研究才得以开展。包括前文中提到的介电性能和离子电导率在内,研究者们就高熵陶瓷的(MgCoNiCuZn)O为基本体系,进行介电、力学性能的探究。
1.3 工作提出及研究内容
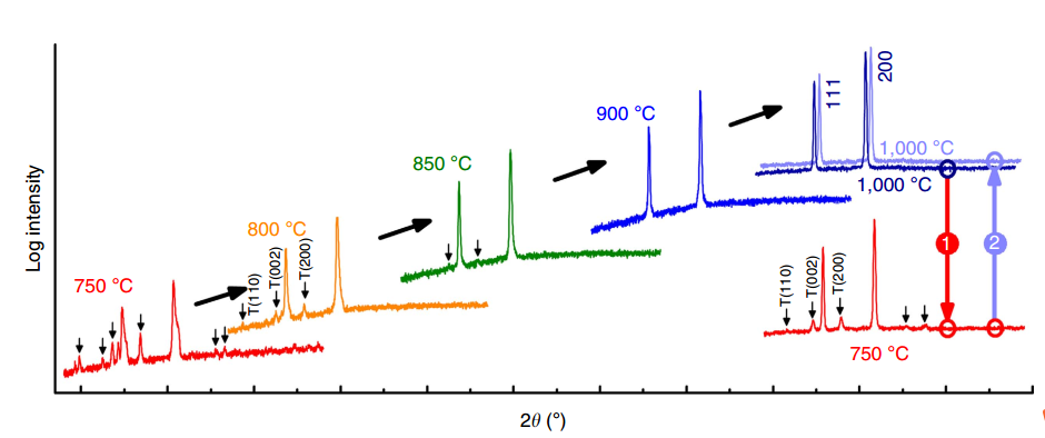
通过调研文献[1],得到(MgCoNiCuZn)O体系在不同烧结温度下的物相组成,如下图所示:

图1.1 (MgCoNiCuZn)O体系在不同烧结温度下的物相组成
可以看出随着温度的上升,(MgCoNiCuZn)O体系的杂峰在逐渐减少,并在1000℃左右物相不再发生变化。推测杂峰是因为温度不足,导致部分氧化物没有进行反应。在查阅PDF卡片后可以将(MgCoNiCuZn)O体系的五种氧化物的物相归为三类:第一类是具有岩盐相和其他物相的MgO、CoO和NiO;第二类是黑铜矿相的CuO;第三类是纤锌矿相的ZnO。(MgCoNiCuZn)O体系最终在1000℃下烧结为岩盐相的高熵陶瓷,因此推测其岩盐相的形成与其组成氧化物的物相、岩盐相氧化物的数量有关。综合以上两个推测,开展毕业设计的工作。
首先探究的是(MgCoNiCuZn)O体系物相变化的过程,并探究杂峰的属性。因此,不改变氧化物的种类及配比,改变烧结温度,烧结速率为100℃/min,进行烧结。通过对比PDF卡片,将杂峰进行匹配,从而可以表示反应过程中各氧化物的演变过程。
其次探究氧化物的物相与烧结结果即单相结构的高熵陶瓷之间的关系。(MgCoNiCuZn)O体系中的氧化物的物相可以分为三类,其在烧结过程中所起的作用也因物相的不同而有所区别。因此,可以通过改变不同物相氧化物数量的方法,用控制变量的方法进行实验,通过对物相、微观结构和拉曼图谱进行表征和分析,对单相高熵陶瓷的烧结机理进行探究。考虑到(MgCoNiCuZn)O体系的烧结温度为1000℃,因此需调研替换氧化物的熔点和物相等信息,以下为调研结果。
氧化物名称 | 分子式 | 熔点(℃) |
氧化镁 | MgO | 2852 |
氧化钴 | CoO | 1935 |
氧化镍 | NiO | 1980 |
氧化铜 | CuO | 1026 |
氧化锌 | ZnO | 1975 |
氧化钙 | CaO | 2572 |
二氧化钛 | TiO2 | 1850 |
二氧化锆 | ZrO2 | ~2700 |
三氧化二钇 | Y2O3 | 2410 |
氧化铝 | Al2O3 | ~2000 |
表1.1 金属氧化物熔点
岩盐相氧化物 | K2O,FeO,Y2O3,ZrO2,SnO,BaO,HfO2,TaO,PtO,PbO2,BiO2,MnO, |
非岩盐相氧化物 | Al2O3、TiO2,V2O5,Cr的全部氧化物,MnO2,Co3O4,,Ga、Ge、Nb、Mo、Ag、Sb的全部氧化物,Ta2O5,WO3,Re的全部氧化物,PtO2 |
表1.2 金属氧化物相的调研
组别 | 成分 |
System1 | CaO、CoO、NiO、CuO、ZnO |
System2 | TiO2、CoO、NiO、CuO、ZnO |
System3 | MgO、Y2O3、NiO、CuO、ZnO |
System4 | MgO、CoO、Al2O3、CuO、ZnO |
System5 | MgO、CoO、NiO、ZrO2、ZnO |
表1.3 五个体系的氧化物组成
第2章 实验与测试
2.1 实验原料
本实验的原料组成较为简单,在(MgCoNiCuZn)O体系的基础之上改变其中一种组分,一共产生了五个体系,因此使用了十种氧化物粉末。列表如下:
氧化物名称 | 分子式 | 纯度 | 生产厂家 |
氧化镁 | MgO | 分析纯 | 美国阿拉丁工业公司 |
氧化钴 | CoO | 分析纯 | 美国阿拉丁工业公司 |
氧化镍 | NiO | 分析纯 | 国药集团化学试剂公司 |
氧化铜 | CuO | 分析纯 | 美国阿拉丁工业公司 |
氧化锌 | ZnO | 分析纯 | 美国阿拉丁工业公司 |
氧化钙 | CaO | 分析纯 | 国药集团化学试剂公司 |
氧化钛 | TiO2 | 分析纯 | 国药集团化学试剂公司 |
氧化钇 | Y2O3 | 分析纯 | 美国阿拉丁工业公司 |
氧化铝 | Al2O3 | 分析纯 | 美国阿拉丁工业公司 |
氧化锆 | ZrO2 | 分析纯 | 广东东方锆业有限公司 |
表2.1 实验原料的基本信息
2.2 测试分析方法
- SEM扫描电子显微镜:从电子枪阴极发出的直径20nm~30nm的电子束,受到阴阳极之间加速电压的作用,射向镜筒,经过聚光镜及物镜的会聚作用,缩小成直径约几毫微米的电子探针。在物镜上部的扫描线圈的作用下,电子探针在样品表面作光栅状扫描并且激发出多种电子信号。这些电子信号被相应的检测器检测,经过放大、转换,变成电压信号,最后被送到显像管的栅极上并且调制显像管的亮度。显像管中的电子束在荧光屏上也作光栅状扫描,并且这种扫描运动与样品表面的电子束的扫描运动严格同步,这样即获得衬度与所接收信号强度相对应的扫描电子像,这种图像反映了样品表面的形貌特征。本实验用其来观察多个体系不同组分高熵陶瓷的形貌,包括晶粒的尺寸大小,高熵陶瓷的烧结情况。
(2)FESEM场发射扫描电子显微镜:该仪器具有超高的分辨率,能进行待测样品表面形貌的二次电子像、反射电子像观察及图像处理。附有高性能X射线能谱仪,能同时进行待测样品表层微区点、线、面上元素的定性、半定量及定量分析,拥有对形貌、化学组分综合分析的能力。本实验用其来观察多体系高熵陶瓷的晶粒尺寸、微观结构。
以上是毕业论文大纲或资料介绍,该课题完整毕业论文、开题报告、任务书、程序设计、图纸设计等资料请添加微信获取,微信号:bysjorg。
相关图片展示:







您可能感兴趣的文章
- 改善锂离子电池中硅基负极存储性能的策略研究外文翻译资料
- 通过添加压电材料BaTiO3提高大功率锂离子电池的微米级SiO @ C/CNTs负极的电化学性能外文翻译资料
- Pd和GDC共浸渍的LSCM阴极在固体氧化物电解池高温电解CO2中的应用外文翻译资料
- 利用同步回旋加速器粉末衍射的方法来研究在有其他物相的情况下C4AF的水化作用外文翻译资料
- 外国循环流化床锅炉发展现状外文翻译资料
- 含石蜡基复合材料的多壁碳纳米管的热性能外文翻译资料
- 矸石电厂炉渣机制砂的应用研究外文翻译资料
- 机动车螺旋弹簧的失效分析外文翻译资料
- 从废阴极射线管和锗尾矿制备高强度玻璃泡沫陶瓷外文翻译资料
- 作为导热液体的液态金属在太阳能储热中的应用外文翻译资料


