界面层中催化剂对双极膜水解离性能影响研究毕业论文
2021-12-09 17:33:35
论文总字数:23083字
摘 要
双极膜(bipolar membrane ,简称BPM)是一种由阴离子交换膜层(AEL)和阳离子交换膜层(CEL)及中间界面层(interface layer,IL)复合而成的新型离子交换膜,应用前景广泛。双极膜中间界面层的结构与特性对于水解离的速率与效率至关重要,对中间界面层进行改性研究进一步增加双极膜中间界面层的水解离反应活性点,具有重要研究意义。
本毕业论文拟在中间界面层添加几种不同的水解离催化剂,包括氢氧化铝,石墨烯,二硫化钼等,考察其对双极膜水解离性能的影响。实验部分采用磺化聚醚醚酮做为阳离子交换膜,溴化聚苯醚为基体的阴离子交换膜,加入二硫化钼,石墨烯,氢氧化铝作为为中间催化层,最终通过热压法制备双极膜。通过测试可以发现,催化剂对双极膜的机械性能影响不大,石墨烯对其水解离能力提升结果最为明显,氢氧化铝和二硫化钼其次。
关键词:质子交换膜;阴离子交换膜;中间层;催化剂
Abstract
Bipolar membrane (BPM) is a new type of ion exchange membrane composed of an anion exchange membrane layer (AEL), a cation exchange membrane layer (CEL) and an interface layer (IL). widely. The structure and characteristics of the intermediate interface layer of the bipolar membrane are important to the rate and efficiency of hydrolysis. The modification of the intermediate interface layer further increases the active point of the hydrolysis separation reaction of the intermediate interface layer of the bipolar membrane, which has important research significance.
This graduation thesis intends to add several different hydrolysis ionization catalysts in the intermediate interface layer, including aluminum hydroxide, graphene, molybdenum disulfide, etc., to investigate its effect on the bipolar membrane hydrolysis ionization performance. In the experimental part, sulfonated polyetheretherketone was used as the cation exchange membrane, brominated polyphenylene ether was used as the anion exchange membrane, and molybdenum disulfide, graphene, and aluminum hydroxide were added as the intermediate catalytic layer. Finally, it was prepared by hot pressing. Bipolar membrane. Through testing, it can be found that the catalyst has little effect on the mechanical properties of the bipolar membrane, and graphene has the most obvious improvement in its hydrolytic ability, followed by aluminum hydroxide and molybdenum disulfide.
Key Words:Proton exchange membrane; Anion exchange membrane; interface layer ; catalyst
目录
1.1 引言 4
1.2 双极膜的概述 4
1.2.1双极膜的定义 4
1.2.2双极膜的应用现状 5
1.1.3 双极膜的制备 6
1.3阳离子交换层的概述 7
1.3.1阳离子交换层的定义 7
1.3.2阳离子交换层的分类 7
1.4 阴离子交换层的概述 8
1.4.1阴离子交换层的定义 8
1.4.2阴离子交换层的分类 9
1.5 水解离催化剂对中间层改性 9
1.5.1中间层的定义 9
1.5.2两性离子的定义 10
1.5.3两性离子对中间层的改性 10
第2章 中间层掺入水解离催化剂的SPEEK/QPPO双极膜的研究与制备 12
2.1制备磺化聚醚醚酮(SPEEK)质子交换膜 12
2.1.1 制备磺化聚醚醚酮 12
2.1.2制备磺化聚醚醚酮(SPEEK)质子交换膜 12
2.2季胺化聚苯醚(QPPO)阴离子交换膜的制备 13
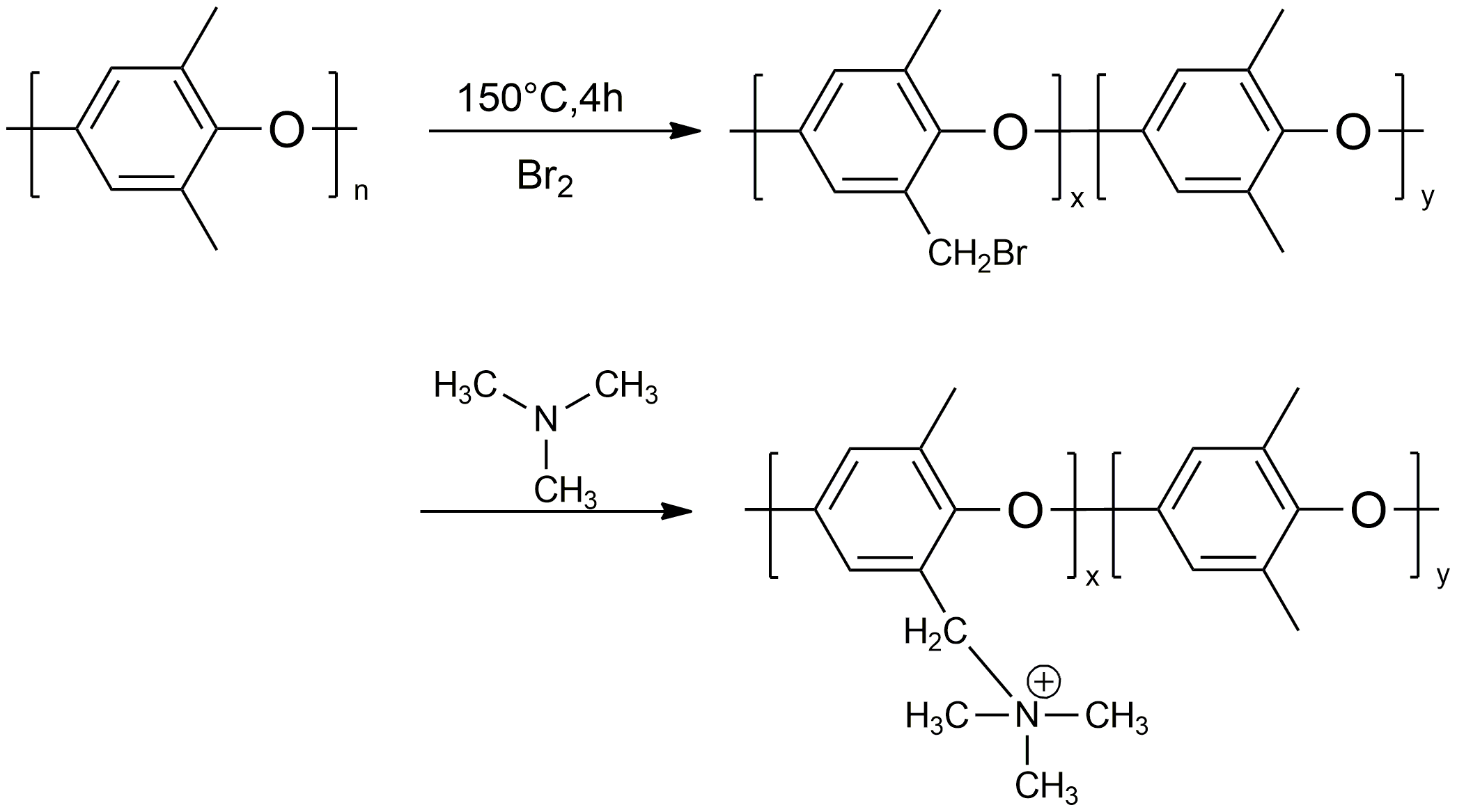
2.2.1制备溴化聚苯醚(BPPO) 13
2.2.2制备季胺化聚苯醚(QPPO)阴离子交换膜 13
2.3制备掺入水解离催化剂的SPEEK/QPPO双极膜 14
2.4实验试剂与实验仪器 14
2.5 性能表征 16
2.5.1核磁共振测试 16
2.5.2傅里叶变换红外光谱测试 16
2.5.3机械性能测试 16
2.5.4 离子交换容量测试 16
2.5.5磺化度的测试 17
2.5.6 吸水率和溶胀率测试 17
2.5.7 I-V曲线测试 18
3.1 傅里叶红外光谱分析 19
3.2 核磁共振分析 21
3.3 机械性能分析 23
3.4 离子交换容量分析 24
3.5 磺化度分析 24
3.6 吸水率和溶胀度分析 24
3.7 电渗析速率分析 25
第4章 结论与展望 27
4.1结论 27
4.2展望 28
参考文献 28
致 谢 30
第1章 绪论
1.1 引言
随着人类社会的进程进入21世纪,科技和社会生产力都在以日新月异的速度发展与提高,相应的,人们对能源,尤其化石能源的需求量在近十年来逐渐增长到地球本身的储能量无法维持的地步,能源危机不可避免地成为了全球各国的人民都必须面对的严峻问题。许多大型能源公司的报告都明确地显示出,如果按照目前的趋势,一直对现有的石油与天然气等化石燃料进行不节制地挖掘与开发,那么在不远的将来,世界将必然会面临一场严重而持久的能源危机。
在这一严峻形势下,开发新一代绿色能源,包括太阳能、核能、风能与氢能等能源,成为了目前科学研究领域中热门且前景宽广的课题。而燃料电池正是其中氢能目前最为常见与高效的动力系统。储存于氢能源中的化学能在燃料电池中经过多种且复杂的反应过程,可直接转化为人们在日常生活中需求量最大的电能。燃料电池的优点包括对能源的转化效率高,清洁无污染,且具有可持续发展的特点。双极膜燃料电池是一种核心结构——膜电极组件由阴极、阳极与双极膜所组成的燃料电池,其中双极膜正是保证这种燃料电池能够正常工作的重中之重,因为燃料电池中离子的交换过程正是依靠这种交换膜来维系。
双极膜(bipolar membrane,简称BPM)是一种新型的离子交换膜,其组成包括三个部分:阴离子交换层(AEL)、阳离子交换层(CEL)和中间界面层(IL)。 双极膜最简单的形式可表现为通过中间层将交换膜与阴离子交换膜叠合在一起,对于双极膜而言,中间层是膜最重要的部分。双极膜的工作原理可简要地表述为:在采用直流电场时,水从阳离子交换层和阴离子交换层扩散到中间界面层,并且在中间界面层分解为H 和OH-,然后H 穿过阳离子交换层向负极迁移,而OH-穿过阴离子交换层向正极迁移,最终在阳离子交换层处得到OH-,阴离子交换层处得到H-,而此时电解液中任何的其他的阴离子被阳离子交换层排除在中间界面层之外,任何其他的阳离子被排除在阴离子交换膜排除在中间界面层之外。[1]双极膜应用于燃料电池中,具有显著提高水解速率,产生反应副产品数量较少等优点,为燃料电池的研究与发展拓宽了前景。不仅如此,结合双极膜的工作原理,可以使得传统的单级离子交换膜与发生在双极膜中的水分解过程进行,加入相应的盐后用于支配酸与碱。围绕双极膜的研究所展开一系列研发技术更是逐渐地成为膜领域中一个备受关注的分支,如双极膜电渗析技术、双极膜分离技术等可应用于多种领域中,包括酸碱制造、海水淡化、处理工业废水等等,达到减少能耗,提高资源回收率,控制污染以及保护环境的目的,同时实现对传统工业技术的革新,这些独特的优势都是传统离子膜不可替代的。
1.2 双极膜的概述
1.2.1双极膜的定义
用最为简单的形式来介绍双极膜(BPMs),即双极膜是一种阳离子交换膜与阴离子交换膜层合在一起,通过一个中间层或者说接合层来成为两者之间的“桥梁”,其中中间层是膜最重要的部分。由于双极膜由两个不同的层组成,它们对电荷相反的离子具有选择性。双极膜最初也最为常见的应用出现于电解水,总所周知,从水中生成H 和OH-离子的常规方法是用电解法。在电解过程中还会产生氧气和氢气,这些气体的产生消耗了的电能占据整个过程一半。相比之下,利用特殊的离子交换膜,如双极膜,能够将水直接分裂成H 和OH-离子而不产生氧气和氢气。目前在工业上,也常用双极膜与传统的阳离子和阴离子交换膜相结合,被用来从相应的盐中生产酸和碱。
1.2.2双极膜的应用现状
在燃料电池中,为了解决单极电解质膜上不需要的物质的问题,双极膜可用于分离阳极和阴极室。双极膜包含明显的阳离子和阴离子交换相,并在两相之间有固定的界面或连接。双极膜的质子交换膜段与阳极相接,而阴离子交换膜段与阴极相接。在这种情况下,阴极的pH值保持酸性,而阳极的pH值保持碱性。由于双极膜由带负电荷的阳离子交换层(CEL)和带正电荷的阴离子交换层(AEL)组成,分别只对阳离子或阴离子有选择性的运输。[1]因此,任何盐离子都不应该通过这两层膜,从而导致在电场作用下,两层膜的界面都发生了水的解离,即水分子变为氢氧根离子或者氢离子。由于水的离解作用,质子被供给到电解液,在电解液中(在理想情况下)质子以相同的速率消耗,例如,在析氢过程中,而氢氧化物被供给到阳极液中进行氧化反应。[2]因此,膜的两边保留有不同的pH值。

图1.1 双极膜技术工业制酸碱原理图
双极膜(BPMs)引起了人们对电化学和光电化学系统越来越多的兴趣,因为它们使两种不同的电解质配对的独特能力得以优化,从而实现各自的氧化和还原反应。在膜的应用中,膜电压pH梯度(ΔpH lt; 14)是一个重要的一步电化学转换实际应用,这是因为尽可能多的电极和催化剂只能在有限的pH值范围内有效运作。为了更好地理解决定BPM电压的个别影响,通常需要进行一系列完整的实验。[3]测量实际BPM电压与pH、盐类型/浓度、流速和电流密度的关系,离子跨界和局部扩散边界层都在双极膜的电压中起着重要的作用,同时也意味着其在支撑电解质的组成起着重要的作用,甚至比pH值本身更重要,pH值是实现双极膜在电化学电池中实际应用的重要参数。
1.1.3 双极膜的制备
制备性能优异的双极膜所需要考虑到的因素主要指向连接双极膜中间催化剂层和离子交换膜的途径。原则上,有两种方法可以实现催化剂层及其与所相对应的离子交换膜的连接,这种膜层和催化剂层的组合称为膜电极组装:第一种方法是将催化剂层沉积在多孔衬底上,即所谓的气体扩散层,通常是碳纤维纸或碳布,然后将其通过热压成型到离子交换膜上。第二种方法是将催化剂层直接应用于离子交换膜上,形成所谓的三层催化离子交换膜,随后可增加一个气体扩散层,或作为制备的一个额外步骤,在对离子交换膜进行堆叠组装过程中进行运用。在多孔衬底或膜上沉积催化剂层的方法有几种,如扩散、喷涂、溅射、喷涂、丝网印刷、贴花、电沉积、蒸发沉积和浸渍还原。目前来说,工业上常见的制备双极膜的方法主要有:
(1)通过热压成型法制备双极膜,热压成型法是目前最为广泛普遍的制备双极膜的方法,更准确地说,是膜或半透膜的热成型。[4]热压法成型是指是指以热塑性聚合物薄膜或板材的形式对加热后软化的半成品进行成形,其边缘通过三维拉伸固定,成型主要是将薄膜或板材成形为阴离子交换膜或阳离子交换膜。
请支付后下载全文,论文总字数:23083字
相关图片展示:





您可能感兴趣的文章
- 改善锂离子电池中硅基负极存储性能的策略研究外文翻译资料
- 通过添加压电材料BaTiO3提高大功率锂离子电池的微米级SiO @ C/CNTs负极的电化学性能外文翻译资料
- Pd和GDC共浸渍的LSCM阴极在固体氧化物电解池高温电解CO2中的应用外文翻译资料
- 利用同步回旋加速器粉末衍射的方法来研究在有其他物相的情况下C4AF的水化作用外文翻译资料
- 外国循环流化床锅炉发展现状外文翻译资料
- 含石蜡基复合材料的多壁碳纳米管的热性能外文翻译资料
- 矸石电厂炉渣机制砂的应用研究外文翻译资料
- 机动车螺旋弹簧的失效分析外文翻译资料
- 从废阴极射线管和锗尾矿制备高强度玻璃泡沫陶瓷外文翻译资料
- 作为导热液体的液态金属在太阳能储热中的应用外文翻译资料


