以液态Ag为介质向低硅钢渗硅制备高硅硅钢毕业论文
2021-12-09 17:23:45
论文总字数:36220字
摘 要
硅钢是一种重要的软磁材料,是电力和电讯工业用以制造发电机、电动机、变压器、互感器、继电器以及其它电器仪表的重要磁性材料,约占磁性材料总量的90%-95%。硅钢作为磁性材料,在使用时必然产生能源损耗。Fe-Si合金随着含Si量的升高,硬度变高、脆性增加,无法用常规轧制方法制备成片材。为此,开发了多种高硅硅钢制备工艺。
为了验证能否通过制备某种方式由普通硅源制备高硅硅钢片。论文研究了不同硅钢制备方法的特点和优越性,最后我们选择渗硅法,以液态Ag为介质向低硅钢渗硅来制备高硅硅钢,通过文献查阅,理论计算,原料制备,以及后续的实验过程和结果分析来验证我们的想法。
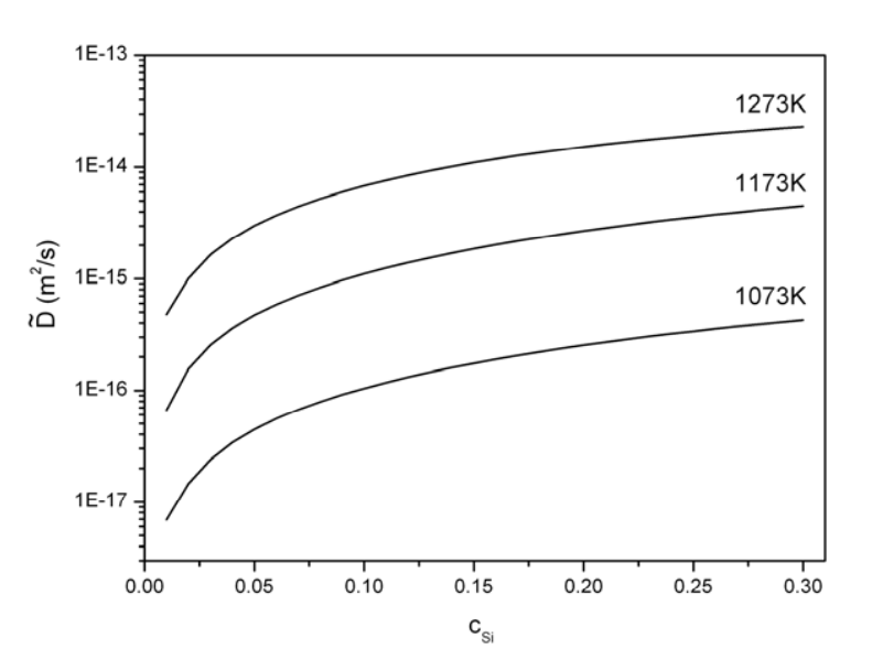
我们采用铁粉和硅粉烧结成型作为硅源进行实验,银箔作为介质,向目标基板进行渗硅,以期得到我们想要的硅钢片。得到硅钢之后,实验结果表明,渗硅实验需要在良好的密封性空间进行,避免Si元素的氧化。通过热力学计算,建立由Fe-Si,Ag-Si两个二元系统中Si元素的浓度梯度,理论计算可以得到进行渗硅实验所需大致时间,并且控制我们所需的目标Si元素含量。
对实验产物进行SEM和能谱仪分析,分析样品的表面形貌和元素组成,分析结果说明在Ag-Si系统和Fe-Si系统中产生了Si元素浓度梯度。Si元素含量距离我们的预期差1.2%左右。
实验结果说明,渗硅法制备高硅钢可行,但Si元素含量达不到预期要求,需要在避免Si元素浪费和减少人为操作失误方面进行改进。
关键词:高硅钢;渗硅;液态银;浓度梯度。
ABSTRACT
Silicon steel is an important soft magnetic material. It is an important magnetic material used in the power and telecommunications industries to manufacture generators, motors, transformers, transformers, relays and other electrical instruments, accounting for about 90%-95% of the total magnetic material. . As a magnetic material, silicon steel inevitably produces energy loss when used. With the increase of Si content, the Fe-Si alloy has higher hardness and increased brittleness, and cannot be prepared into sheets by conventional rolling methods. To this end, a variety of high-silicon silicon steel preparation processes have been developed.
In order to verify whether a high-silicon silicon steel sheet can be prepared from a common silicon source by preparing a certain method. The paper studies the characteristics and advantages of different silicon steel preparation methods. Finally, we choose the silicon infiltration method, using liquid Ag as the medium to infiltrate low silicon steel to prepare high silicon silicon steel. Through literature review, theoretical calculations, raw material preparation, and subsequent experiments Process and result analysis to verify our ideas.
We used iron powder and silicon powder sintering molding as the silicon source for the experiment, and silver foil as the medium, siliconized to the target substrate, in order to get the silicon steel sheet we want. The experimental results show that the siliconization experiment needs to be carried out in a well-sealed space to avoid oxidation of the Si element. Through thermodynamic calculation, the concentration gradient of Si element in the two binary systems of Fe-Si and Ag-Si is established. The theoretical calculation can obtain the approximate time required for the siliconization experiment and control the target Si element content we need.
The experimental products were analyzed by SEM and energy spectrometer to analyze the surface morphology and element composition of the samples. The analysis results showed that the Si element concentration gradient was generated in the Ag-Si system and the Fe-Si system. The Si element content is about 1.2% away from our expectation.
The experimental results show that it is feasible to prepare high-silicon steel by silicon infiltration method, but the Si element content does not meet the expected requirements, and improvements need to be made in order to avoid Si element waste and reduce human operation errors.
Keywords: high silicon steel; siliconized; liquid silver; concentration gradient.
目 录
摘 要 3
第1章 绪论 1
1.1硅钢的特性和应用领域 1
1.2硅钢制备工艺 1
1.3高硅钢制备工艺特点 8
1.4本论文工作的提出和主要研究内容 9
第2章 热力学计算 10
2.1实验准备工作 10
2.2成分-自由能曲线计算 10
2.2.1Fe-Si系统 10
2.2.1Ag-Si系统 12
第3章 液相渗硅法制备高硅钢实验 16
3.1实验仪器 16
3. 2实验材料 16
3.2.1低硅硅钢片 16
3.2.2 14wt%高硅硅钢片的制备 16
3. 3液相渗硅法制备高硅硅钢片 17
3.3.1实验材料 17
3.3.2主要实验仪器 17
3.3.3实验过程 18
第4章 实验结果分析 19
4.1实验样品表面形貌检测 19
4.1.1X射线能谱分析情况(EDS) 20
4.1.2各区域元素含量 30
4.2扫描电镜图像(SEM) 37
第5章 结论 38
参考文献 40
致 谢 44
第1章 绪论
硅钢是一种重要的软磁材料,是电力和电讯工业用以制造发电机、电动机、变压器、互感器、继电器以及其它电器仪表的重要磁性材料,约占磁性材料总量的90%-95%。硅钢作为磁性材料,在使用时必然产生能源损耗。(存在涡流损耗。为减小损耗,一般是将硅钢制成片材,然后堆叠到一起,但是损耗仍不可忽视。)提高硅钢的软磁性能对于提高电器效率、节约能源非常重要[11]。对于硅钢,一个重要的磁性能指标就是铁损[10]。有数据统计显示,由于铁损所造成的电量损失占各国全年发电总量的2.5%-4.5%。对于我国来说,如果提高硅钢片磁性能,使铁损损失降低0.1%,则每年可节约40-50亿度电[12]。
1.1硅钢的特性和应用领域
增加硅钢中的硅含量是提高硅钢磁性能的一个有效途径。随着硅含量的增高,硅钢的电阻率升高、磁导率升高、磁致伸缩系数降低、磁晶各向异性常数降低。6.5wt%与3.5wt.%硅钢相比,交流铁损大幅度下降,而且磁致伸缩系数近乎为零因此,用高硅钢取代一般的冷轧取向硅钢,可以大幅度降低输电过程中变压器的能耗,同时还可以减小变压器的噪音[12]。随着信息产业的高速发展,高硅钢展示出更大的优越性,更适合制造高频高速电机、音频和高频变压器、高频下的磁屏蔽和扼流线圈等[13]。这是由于频率越高,高硅钢低铁损的优势越明显。同时,由于磁性能的提高,含硅量的增加大幅度地减轻了电器设备的重量和体积,进而提高了电子和电器元件的灵敏度和效率,提高工作频率[14,15]。从以上分析可以看出,Fe-6.5wt%Si高硅钢有其重要的经济效益和社会效益,有着非常广泛的应用前景。因为Fe-6.5wt%Si电工钢具有几乎零磁致伸缩、低涡流和磁滞损耗等优良的软磁性能,尤其是在高频领域得到了广泛的应用[1]。
Fe-Si合金随着含Si量的升高,硬度变高、脆性增加,无法用常规轧制方法制备成片材。为此,开发了多种高硅硅钢制备工艺。
1.2硅钢制备工艺
- 控温轧制
 
日本专利提出控温轧制,研究了含 6. 5 %Si 的 Si- Fe 合金的加工特性,结果表明含 4 % ~7 %Si 的高硅钢坯,在 900 ℃ 以上温度范围内有很好的加工性能,在 900 ℃以下时加工性能下降,到 600 ℃左右就难以轧制。可见高硅钢带轧制时,材料组织与加工温度关系极大,存在不可轧制的极限温度[17]。控温轧制,保证温度维持在900℃及以上,并且尽量规避能源的浪费。与此同时我们发现大量均匀变形孪晶的形成可以提高Fe-6.5wt%Si合金的中温变形性能。实验过程表明在Fe-6.5wt%Si合金中发现了显著的形变孪晶晶粒取向依赖性。孪晶倾向于出现在靠近lt;001gt;角的拉伸取向或靠近lt;101gt;elt;111gt;线的压缩取向的晶粒中[42]。理论计算表明,满足这种取向关系的晶粒对{112}lt;111gt;孪晶系统具有较大的切应力,促进了孪晶变形[5]。利用变形孪晶的晶粒取向依赖性,在定向凝固控制晶粒取向的基础上,开发了一种无边缘裂纹Fe-6.5wt%Si合金板材的温冷轧制工艺。对比轴晶和柱晶Fe-6.5wt%Si合金的变形行为,我们可以得出柱晶合金增强变形性能的机理。孪晶倾向于出现在lt;001gt;角附近的拉伸取向和lt;101gt;elt;111gt;线附近的压缩取向的晶粒中。柱状晶Fe-6.5wt%Si合金变形性能的显著提高主要归因于晶粒取向控制对孪晶变形的促进作用。这些结果为Fe-6.5wt%Si合金等脆性金属的组织设计提供了理论指导。
(2)包套轧制
请支付后下载全文,论文总字数:36220字
相关图片展示:





您可能感兴趣的文章
- 改善锂离子电池中硅基负极存储性能的策略研究外文翻译资料
 - 通过添加压电材料BaTiO3提高大功率锂离子电池的微米级SiO @ C/CNTs负极的电化学性能外文翻译资料
 - Pd和GDC共浸渍的LSCM阴极在固体氧化物电解池高温电解CO2中的应用外文翻译资料
 - 利用同步回旋加速器粉末衍射的方法来研究在有其他物相的情况下C4AF的水化作用外文翻译资料
 - 外国循环流化床锅炉发展现状外文翻译资料
 - 含石蜡基复合材料的多壁碳纳米管的热性能外文翻译资料
 - 矸石电厂炉渣机制砂的应用研究外文翻译资料
 - 机动车螺旋弹簧的失效分析外文翻译资料
 - 从废阴极射线管和锗尾矿制备高强度玻璃泡沫陶瓷外文翻译资料
 - 作为导热液体的液态金属在太阳能储热中的应用外文翻译资料
 

        
            
