Cu12Sb4S13 QDsPZT异质膜界面修饰毕业论文
2020-02-19 15:39:02
摘 要
随着微机电系统的高速发展,器件微型化、集成化的要求日益提升,铁电材料在微电子器件中的作用也不断提高。单一的铁电薄膜难以满足多功能化与高性能的需求,因此将具有不同性能的铁电薄膜与量子点材料复合,以达到提高性能、扩展应用的目的。本文以PZT铁电薄膜、Cu12Sb4S13量子点为研究对象,探究量子点材料与PZT薄膜之间的相互作用以及旋涂工艺、界面物性对其异质薄膜界面结合的影响。
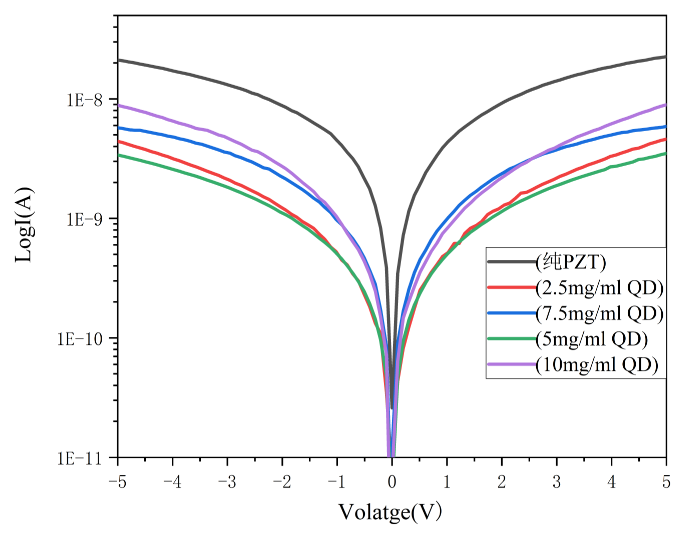
本文采用多步热分解法制备Cu12Sb4S13量子点,采用磁控溅射法在Pt/TiO2/SiO2/Si衬底上沉积PZT薄膜,成功制得PZT/ Cu12Sb4S13 QD异质薄膜。采用I-V曲线与P-E曲线表征研究不同旋涂工艺与参数对异质薄膜铁电性能的影响。研究发现,随着Cu12Sb4S13量子点浓度的增加,异质薄膜的剩余极化强度降低,但漏电流增大;随着量子点涂覆层数增加,异质薄膜表面粗糙度增大,剩余极化值减小,漏电流同样减小。
胶体半导体量子点因为其极小的尺寸与较大的比表面积,使得其表面活性较高,易发生团聚现象,因此需要长链有机物包覆表面,分散量子点溶液。然而有机长链配体的存在,抑制了量子点与PZT薄膜表面的结合,降低了电荷传输的效率。本文通过配体交换的方法,改变量子点表面特性,改善异质薄膜界面结合状态。研究不同的有机配体或无机配体在最佳旋涂工艺下对PZT/QD异质薄膜铁电性的影响,寻找最适合PZT与Cu12Sb4S13量子点界面结合的配体。
关键词 : Cu12Sb4S13 QDs/PZT异质膜,铁电存储,配体交换
Abstract
With the rapid development of MEMS, the requirements for miniaturization and integration of devices are increasing, and the role of ferroelectric materials in microelectronic devices is also increasing. A single ferroelectric film is difficult to meet the requirements of multi-functionality and high performance. Therefore, ferroelectric thin films with different properties are combined with quantum dot materials to achieve the purpose of improving performance and expanding applications. In this paper, PZT ferroelectric thin film and Cu12Sb4S13 quantum dots were studied, and the interaction between quantum dot materials and PZT thin films and the effects of spin-on process and interface physical properties on the interface of heterogeneous films were investigated.
In this paper, Cu12Sb4S13 quantum dots were prepared by multi-step thermal decomposition method. PZT thin films were deposited on Pt/TiO2/SiO2/Si substrates by magnetron sputtering. PZT/Cu12Sb4S13 QD heterogeneous films were successfully fabricated. The effects of different spin coating processes and parameters on the ferroelectric properties of heterogeneous films were investigated by I-V curve and P-E curve characterization. It is found that with the increase of Cu12Sb4S13 quantum dot concentration, the residual polarization of the heterogeneous film decreases, but the leakage current increases. With the increase of the number of quantum dot coating layers, the surface roughness of the heterogeneous film increases, and the remanent polarization increases. The value is reduced and the leakage current is also reduced.
Because of its extremely small size and large specific surface area, colloidal semiconductor quantum dots have high surface activity and are prone to agglomeration. Therefore, long-chain organic materials are required to coat the surface and disperse the quantum dot solution. However, the presence of organic long-chain ligands inhibits the binding of quantum dots to the surface of PZT films, reducing the efficiency of charge transport. In this paper, the method of ligand exchange is used to change the surface characteristics of quantum dots and improve the interface state of heterogeneous films. To study the effect of different organic ligands or inorganic ligands on the ferroelectricity of PZT/QD heterogeneous films under the optimal spin coating process, and to find the ligands which are most suitable for the interface between PZT and Cu12Sb4S13 quantum dots.
Key words:Cu12Sb4S13 QDs/PZT heterogeneous film,Ferroelectric storage,Ligand exchange
目录
第1章 绪论 1
1.1 铁电薄膜材料 1
1.1.1 PZT的结构与压电效应 1
1.1.2 PZT薄膜制备方法 2
1.1.3 铁电薄膜研究现状 3
1.2 胶体半导体量子点 3
1.2.1 量子点的基本概念 4
1.2.2 量子效应 4
1.2.3 量子点的制备方法 4
1.3 本论文的研究目的与意义 5
1.4 本论文的研究内容 6
第2章 PZT/QDs异质薄膜的制备及性能表征 7
2.1 实验原料与仪器 7
2.2 PZT薄膜的制备与表征 8
2.2.1 基片的清洗 8
2.2.2 PZT薄膜的制备 8
2.2.3 PZT薄膜结构表征 9
2.2.4 PZT薄膜电性能表征 10
2.3 Cu13Sb4S12量子点的制备与表征 10
2.3.1 热分解法制备Cu13Sb4S12量子点 11
2.3.2 量子点结构分析 12
2.4 PZT/QDs异质薄膜的制备 12
2.4.1 旋涂工艺参数 13
2.4.2 PZT/QDs异质薄膜的制备 13
第3章PZT/QDs异质薄膜界面修饰及性能表征 15
3.1 PZT/QDs异质薄膜电性能表征 15
3.1.1 量子点浓度对PZT/QDs异质薄膜铁电性能的影响 15
3.1.2 旋涂层数对PZT/QDs异质薄膜铁电性能的影响 16
3.2 PZT/QDs异质薄膜结构表征 17
3.3 PZT/Cu13Sb4S12量子点界面修饰 17
3.3.1 量子点表面配体交换 17
3.3.2 PZT/QDs异质薄膜配体交换 19
3.3 界面修饰的PZT/QDs异质膜性能表征 19
3.3.1 界面修饰的异质薄膜铁电性能表征 19
3.4 本章小结 20
第4章 结论与展望 22
参考文献 23
致谢 25
- 绪论
随着科技的不断发展,越来越多的电子产品问世,在许多方面改变了人们的生活。在各式各样的计算机、通信设备和智能家电、智能办公设备中存储器毫无疑问发挥着十分重要的作用。铁电薄膜材料具有介电性、压电性、热释电性、铁电性等特性,广泛应用与动态随机存储器、能量收集器、超级电容器、声表面波器件等器件之中。同时铁电薄膜还具有较差的频率稳定性与疲劳特性,这些缺点制约了他们的应用,难以满足现代生产生活需要。因此需要将不同性能的两种或多种材料相结合达到调控物理化学性能、提高材料应用领域与疲劳特性的目的。
1.1 铁电薄膜材料
1.1.1 PZT的结构与压电效应
PZT是一种典型的ABX3型钙钛矿结构化合物,其中A代表Pb2 ,B代表Zr4 和Ti4 ,X代表O2-。如图1所示,半径较大的Pb2 占据了晶胞的八个角,Zr4 和Ti4 则位于晶胞的中心位置,而O2-则是在六个面心的位置。如图1.1所示。[1]

图1.1 钙钛矿结构铁电材料
PZT是由PbZrO3和PbTiO3组成的连续固溶体,也是一种多晶材料。PZT具有压电效应,即当施加外力使PZT发生形变,这时晶体相应的表面产生极性相反的两种电荷,这种由压力产生电的现象就是PZT的压电效应。[2]
PZT晶胞中原子的排列方式为中心对称时,此时PZT无压电性,是立方对称钙钛矿结构。而PZT晶胞中的Zr4 和Ti4 会非常容易偏离原本的八面体中心,产生电偶极矩,这就引发了自发极化现象。对于单个晶胞其极化方向是确定的,形成一个偶极矩。而对于不同晶胞其偶极矩会发生相互作用产生一个极化方向相同的区域,称为电畴。在未施加电场时,PZT内部电畴方向任意,材料整体对外不表现出电性。而当施加一定外电场后,PZT内部极化方向不同的电畴会朝着外电场的方向运动。当去掉外电场后部分电畴会恢复到原本的状态,而另一部分电畴受材料内部应力的影响无法恢复,这一部分电畴的极化强度就是剩余极化强度。如图1.2中C点。这时施加反向电场,当电场增加到一定值时,晶粒恢复到初始状态,这个电场强度就是矫顽场强度。如图1.2中D点。像这样在电场的作用下,通过使电畴运动来使PZT产生形变,称为逆压电效应。再随着反向电场增大,PZT会达到反向饱和状态。如图1.2中F点。而随着反向电压减小并再次反向增大,极化强度会再次减小到0之后继续增加到饱和。[1,2]

图1.2 电滞回线
1.1.2 PZT薄膜制备方法
PZT薄膜的制备方法主要分为物理法和化学法两大类。物理法主要是溅射法、脉冲激光沉积法;化学法包括溶胶-凝胶法、金属有机物化学气相沉积法、水热合成法。下面对这些方法做简单的介绍。
(1)溅射法:是一种物理气相沉积过程。利用高速的惰性粒子轰击靶材,将产生的原子或分子沉积到基片上从而形成薄膜。在溅射开始前要进行抽气保证腔体内处于真空状态。开始进行溅射时,先给靶材施加负电产生辉光放电现象,而在等离子区域中的带正电的离子因为静电吸引会以非常高的速度撞向负极靶材区域,从而轰击出靶材原子或分子用于沉积。采用溅射仪制备的PZT薄膜具有成分均匀,表面平整,杂质较少,适合用于较大面积的薄膜制备。[3,6]
(2)溶胶-凝胶法:将相应的金属醇盐溶于溶剂中,通过一系列的水解和缩聚过程行成成分均匀的溶胶,再将溶胶均匀的涂到基底上,经过蒸发干燥和热处理后的到最终的PZT薄膜。溶胶-凝胶法制备工艺流程较简单,所需时间较少,和溅射法相比成膜温度低,不需要大型贵重仪器,成本也较低。并且制成的薄膜均匀性好,膜的组分可通过改变原料组成来精确控制,适合用来制备组分较复杂的薄膜。该方法的缺点在于,在制备反应所需的前驱溶液时会产生复杂的化学反应,原料之间的水解,缩聚过程中会产生许多中间产物,使得最终反应可能并不是按照预计的步骤进行。[3,4]
(3)金属有机物化学气相沉积法:所使用的原料是金属醇盐,将其蒸汽通入反应室,通过热分解沉积在基底上。该方法容易控制所制薄膜的均匀性较高。并且和溅射法相比可以在相对较低的温度下进行PZT薄膜的生长,有效避免了薄膜和电子层之间的扩散。同时该方法可用于大面积制膜。其缺点是难以控制薄膜结构和带你性能,且所需设备较贵,使得制备成本较高。[6]
(4)水热合成法:原料是锆、钛的醇盐以及硝酸铅等水溶液。先将金属钛版清洗干净放入内衬中,加入上述无机盐溶液,再将其放入反应釜中,置于烘箱中进行反应。反应过程中溶液中的离子会发生反应,并聚集在钛基板上,从而结晶出PZT薄膜。采用水热法成膜温度较低,成本低操作较简单,制成薄膜厚度大。其缺点是薄膜组分较难控制,且结构疏松,薄膜表面较粗糙。[3,5]
1.1.3 铁电薄膜研究现状
在二十世纪五十年代锆钛酸铅材料问世,研究人员发现其优良的压电性能,那时起锆钛酸铅材料就成为了十分热门的功能材料。到了二十世纪七十年代,PZT陶瓷材料研制成功,并且在众多领域得到应用,例如压电变压器、陶瓷滤波器等。然而在半导体器件领域其应用受到了限制,虽然PZT陶瓷具有良好的性能,但是它工作电压较高,而工作频率较低。并且随着行业发展,要求电子器件尺寸更小,集成度更高。于是到二十世纪八十年代时,铁电薄膜成为了新的热门研究方向。与块体PZT陶瓷相比,PZT薄膜体积更小,工作电压更低,有利于集成,更适用于半导体工业中。由于PZT薄膜的优异性能,许多研究人员投身于该领域的研究中。[7]
Taylor等人测量了在一定锆钛比下不同取向的PZT薄膜的纵向压电系数和外电场的关系,发现(100)取向薄膜的纵向压电系数比其他取向的更大。[8]Ledermann等人也证明了在另一锆钛比之下得出了相同的结论,即(100)取向薄膜压电性能更优。[9]
S.K. Pandey等人将脉冲激光沉积法和溶胶凝胶法进行对比,使用上述两种方法在Pt电极上制备PZT薄膜。测试结果是溶胶凝胶法制备的薄膜性能更优。[10]
P.Jegatheesan等人比较了不同锆钛比例下PZT薄膜的性能,研究发现在锆钛比例为0.65:0.35时薄膜的铁电性能更好。[11]
Y.J.Yu等人研究了使用Eu3 对PZT薄膜进行参杂的影响,发现其具有受主掺杂和施主掺杂双重效果。一定量的Eu3 参杂使薄膜的介电常数和抗疲劳性提高的同时还降低了介电损耗。[12]
1.2 胶体半导体量子点
近几年,半导体量子点(QDs)的出现与发展得到了学者的广泛关注。量子点具有超快电子传导、多激子激发等物理效应,电荷传输率高,光稳定性强。铜硫锑量子点(CAS)是具有高吸收系数的p型半导体。Tablero分析了O掺Cu3SbS3的电子特性,评估了该化合物在光伏应用中的潜力。此外,CuSbS2具有优异的缺陷物理性质,具有极低的重组中心缺陷浓度。研究人员已经证明CAS在理论上是可持续性应用于半导体器件上的材料,在电荷传输等领域具有广泛的应用前景。[13]
1.2.1 量子点的基本概念
以上是毕业论文大纲或资料介绍,该课题完整毕业论文、开题报告、任务书、程序设计、图纸设计等资料请添加微信获取,微信号:bysjorg。
相关图片展示:







您可能感兴趣的文章
- 改善锂离子电池中硅基负极存储性能的策略研究外文翻译资料
- 通过添加压电材料BaTiO3提高大功率锂离子电池的微米级SiO @ C/CNTs负极的电化学性能外文翻译资料
- Pd和GDC共浸渍的LSCM阴极在固体氧化物电解池高温电解CO2中的应用外文翻译资料
- 利用同步回旋加速器粉末衍射的方法来研究在有其他物相的情况下C4AF的水化作用外文翻译资料
- 外国循环流化床锅炉发展现状外文翻译资料
- 含石蜡基复合材料的多壁碳纳米管的热性能外文翻译资料
- 矸石电厂炉渣机制砂的应用研究外文翻译资料
- 机动车螺旋弹簧的失效分析外文翻译资料
- 从废阴极射线管和锗尾矿制备高强度玻璃泡沫陶瓷外文翻译资料
- 作为导热液体的液态金属在太阳能储热中的应用外文翻译资料


