热膨胀微球泡沫材料的制备及力学响应行为研究毕业论文
2020-02-19 15:38:46
摘 要
泡沫材料是一种性能优异的材料,具有密度小、比强度高、吸水率低、吸湿性小,成型加工方便、隔音效果与隔热性能优异、绝缘性好、物理性质与化学性质相对较稳定等优点,被广泛地用于各种方面。但是传统发泡方法操作相对复杂,难以精确控制泡沫密度。故本论文选择微球发泡的方法,同时以冲击防护为出发点,采用热压束缚发泡法,制备热膨胀微球泡沫材料,并测试其静态及动态力学性能,研究泡沫材料结构与其力学性能之间的关系并探究其在不同应变率下的冲击响应行为。
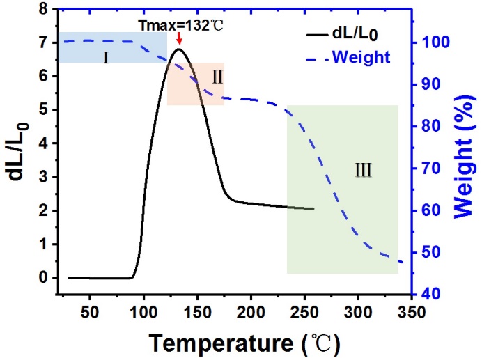
首先对微球的发泡性能进行表征,得出微球在大约90 °C时开始膨胀,膨胀最大时的温度值是132 °C,最大膨胀比为6.8。然后,热膨胀微球破裂,这导致发泡剂从壳中扩散,膨胀比开始下降。得出最佳发泡温度为120 °C。
通过对不同发泡时间下发泡的泡沫进行结构和密度表征,得出TF200和TF400样品的最佳加热时间为90 min, TF600样品的最佳加热时间为60 min。同时所有样品的平均泡孔尺寸都在11.1至19.8 μm的范围内。低密度泡沫的热膨胀微球粉量最少,自由膨胀空间最大,所以泡孔密度最低,泡孔尺寸最大。
对微球泡沫进行力学性能测试,得出了其在不同应变率下的应力-应变曲线,从曲线中观察到所有泡沫在10-4- 104 s-1的应变率范围内清楚地显示出了应变率敏感性:随着应变率的增加,抗压强度也随之增加。同时由不同应变率下致密化应变随泡沫密度的变化关系得出结论:对于所有类型的泡沫,致密化应变都随着密度和应变率的增加而减小。高密度泡沫体的致密化应变在高应变率下比低密度泡沫的致密化应变降低得更多。
研究了不同应变率和密度下热膨胀微球泡沫的吸能性能,应变率对材料的能量吸收有较大的影响,同时相对密度越大,屈服应力也越大,总能量吸收也越高。
对微球泡沫的失效机理进行研究,可以看出,无论是准静态压缩还是高应变率压缩,泡沫体的主要破坏行为都先是泡孔壁屈曲和拉伸,然后是泡孔壁折叠和局部起皱变形,最后泡孔几乎完全折叠,,泡沫变得致密,然后在薄弱处产生裂纹,这些裂纹传播并连接然后分裂泡沫,这在低密度泡沫体中更为突出。
关键词:泡沫材料;热膨胀微球;泡孔结构;动态力学性能;吸能性能
Abstract
Foam material is a kind of material with excellent performance, which has the advantages of small density and high specific strength, low water absorption, small hygroscopicity, convenient molding and processing, good sound insulation effect, excellent heat insulation performance, good electrical insulation, stable physical and chemical properties, etc., and is widely used in various aspects. However, the traditional foaming method is relatively complex and difficult to accurately control the foam density. Therefore, in this paper, the method of microsphere foaming is selected. At the same time, starting from impact protection, the hot-pressure-bound foaming method is adopted to prepare the hot expanding microsphere foam material, and its static and dynamic mechanical properties are tested. The relationship between the structure of the foam material and its mechanical properties is studied, and its impact response behavior under different strain rates is explored.
First on the foaming performance of the microspheres were characterized, it is concluded that the micro ball at about 90 °C began to swell, maximum temperature is 132 °C, the biggest expansion ratio of 6.8. The thermal expansion microsphere then ruptures, causing the foaming agent to diffuse from the shell and the expansion ratio to begin to decrease. It is concluded that the best foaming temperature of 120 ° C.
According to the structure and density characterization of foams with different foaming time, the optimal heating time of TF200 and TF400 samples is 90 min, and the optimal heating time of TF600 samples is 60 min. The average bubble size of all samples ranged from 11.1 to 19.8 μm. Low density foam has the lowest thermal expansion microsphere powder and the largest free expansion space, so it has the lowest bubble density and the largest bubble size.
The mechanical properties of microsphere foam were tested, and the stress-strain curves at different strain rates were obtained. It was observed from the curves that all foam clearly showed strain rate sensitivity within the range of 10-4-104s-1: the compressive strength increased with the increase of strain rate. At the same time, according to the relationship between densification strain and foam density at different strain rates, it can be concluded that for all types of foam, densification strain decreases with the increase of density and strain rate. The densification strain of high density foam decreased more than that of low density foam at high strain rate.
The energy absorption performance of thermally expanded microsphere foam under different strain rates and densities was studied. The strain rate had a great influence on the energy absorption of the material. At the same time, the higher the relative density was, the greater the yield stress was, and the higher the total energy absorption was.
To study the failure mechanism of microsphere foam, it can be seen that both quasi static compression and high strain rate compression, the main damage behavior of the foam were first bubble buckling of hole wall and stretch, and then the bubble hole wall collapse and wrinkle deformation, bubble hole is almost completely folded, finally, become dense foam, and then in a weak place crack, the crack propagation and connect and then split the bubble, it is more outstanding in the low density foam.
Key words: foam material; Thermal expansion microspheres; Bubble structure; Dynamic mechanical properties; Energy absorption performance
目 录
摘 要 I
Abstract II
第1章 绪论 1
1.1 泡沫材料概述 1
1.1.1 泡沫材料的特点与应用 2
1.1.2 泡沫材料的发泡方法 3
1.2 热膨胀微球泡沫材料 3
1.2.1 热膨胀微球泡沫材料的结构与发泡原理 3
1.2.2 热膨胀微球泡沫材料的特点与应用 4
1.3 泡沫材料在防护方面的研究进展 5
1.4 本论文的主要工作 7
1.4.1 本论文工作的提出 7
1.4.2 本论文的主要研究内容 7
第2章 实验与测试 8
2.1 实验原料 8
2.2 实验方案设计与工艺路线 9
2.2.1 实验方案设计 9
2.2.2 实验工艺流程 9
2.3 测试方法 10
2.3.1 发泡性能表征 10
2.3.2 密度表征 11
2.3.3 微观结构表征 11
2.3.4 力学性能测试 11
第3章 结果与讨论 13
3.1 前言 13
3.2 微球的发泡性能表征 13
3.3 泡沫的结构和密度表征 14
3.4 泡沫的力学性能测试 16
3.4.1 压缩测试 16
3.4.2 吸能性能研究 20
3.4.3 失效机理分析 21
第4章 结论 25
参考文献 26
致 谢 30
第1章 绪论
当今国际的安全环境已进入新时期,局部地区恐怖袭击活动愈演愈烈。现在的恐怖袭击活动经常使用小型炸弹如人体炸弹或者汽车炸弹,不但隐蔽性高、便于携带、易于获得,而且操作简单、破坏威力很大,对普通民众的人身财产安全是一个极大的威胁。
在防护材料选择上,泡沫材料因为优异的吸能效果而越来受到人们的重视,而且已经有所应用。如泡沫塑料在汽车保险杠中的应用,由于泡沫材料泡孔的存在以及泡沫材料柔软有弹性,它可以起到一定的缓冲作用从而可以避免车辆在碰撞时对车身以及关键零部件造成破坏。
泡沫材料是一种应用广泛的多胞工程材料,诞生于20世纪40年代, 它是一种由特殊的发泡工艺制作而成的多孔材料。由于它相对密度较低,比强度较大,同时具有较好的绝热、隔音、抗化学腐蚀等物理、化学性能(例如聚氨酯泡沫塑料),所以在金属电极、结构材料、吸附材料、能量吸收材料等领域获得广泛的应用。随着时代的发展,传统泡沫材料已经不能满足各行业的需求,拥有高性能的新材料越来越受到欢迎,新型的泡沫材料应运而生。新型泡沫材料最主要都是在原料、增强相、成型制造工艺或者孔隙率等方面进行改进。经过改进之后新型泡沫材料各方面表现优秀,所以与之相关的研究也成为热点[1-2]。
1.1 泡沫材料概述
泡沫材料一般是指一种整体布满无数互相连材料通或互不连通的孔而使表观密度明显降低的材料。泡沫材料分类方法有多种,基体或者使用的制备工艺等方面不同,得到的泡沫材料也不同,性能上可能也会有很大的差别。按基体材料不同分类,可以分为有机泡沫材料、金属泡沫材料、植物纤维泡沫材料、陶瓷泡沫材料等;按泡孔结构分类,微孔间互相连通的称为开孔型泡沫材料,互相封闭的称为闭孔型泡沫材料[3],如图1.1就是一种典型的闭孔型泡沫材料的SEM图像;按硬度大小可分为软质泡沫材料、硬质泡沫材料以及介于以上两类之间的泡沫体。
图1.1 一种典型的闭孔型泡沫材料的SEM图像
1.1.1 泡沫材料的特点与应用
泡沫材料密度较小,比强度较高,受到冲击时可吸收载荷与冲击能量,可以减震缓冲,成型加工比较方便,绝缘性较好,吸水率与吸湿性低,隔音效果与隔热性能较好,化学与物理性质比较稳定,因此被广泛应用于很多领域中[5-7]。例如:
(1)食品包装领域。利用模压发泡的方法制备出来的聚丙烯泡沫不但可以承受高载荷,而且还可以回收二次利用,既能节省资源又能避免污染。所以耐油性好、隔热保温性好并且可降解无污染的聚丙烯泡沫已经逐步替代聚苯乙烯泡沫称为一次性餐具首选材料[8]。
(2)保温材料。发泡聚丙烯可以用作太阳能热水器上的铜管和橡胶软管的保温和隔热材料,因为这些管道中的热水温度很高,只有聚丙烯泡沫材料才能够在这种高温度下长时间使用。石化管道或者自来水管道的保温防冻层,以及热水管、暖房或贮槽的绝缘材料等都基本上是聚丙烯泡沫材料[9]。
(3)建筑材料。泡沫材料还可以在建筑和交通行业中填充不平坦表面的空隙,如:作为屋顶、墙壁或者公路的伸缩缝中的填充材料和密封剂材料、密封条等。此外,塑料野营房的门窗、墙壁和屋顶等都可以使用低发泡聚丙烯泡沫材料来制作。
(4)在塑料薄膜领域的应用。低密度聚乙烯吹塑低发泡薄膜的生产是一种比较新型的塑料成型工艺技术。各种精美的塑料袋、塑料纸通常都是采用低密度聚乙烯发泡薄膜加工方法制造而成[10]。
(5)缓冲防护材料。由于泡沫材料具有优良的抗冲击性能,聚合物泡沫已被广泛的应用于缓冲结构,例如头盔,包装部件和汽车保险杠或座垫的夹层复合材料,用来减轻冲击应力所带来的伤害。近年来,随着航空航天技术的发展,要求简单有效的制造方法来制造具有特定形状或密度的大尺寸泡沫,先进的轻质聚合物泡沫有了进一步发展[11]。
1.1.2 泡沫材料的发泡方法
泡沫材料的制备过程最主要是发泡这一步骤,常见泡沫材料的发泡制备方法可以根据引入气体的方式分为物理发泡法、化学发泡法和机械发泡法[12]。
物理发泡法,其主要原理是将某些液态烷烃或者一些挥发性的液体用做物理发泡剂,再将发泡剂使用注塑机等设备注入材料中,完成发泡。
化学发泡法是将发泡剂加入高分子材料中,然后加热到一定温度后,发泡剂就会产生化学反应并且放出气体,这些气体扩散到液态高分子材料中形成聚合物。最后释压完成发泡。
机械发泡法,主要是借助外部工具,进行剧烈搅拌,把大量的空气或者其他的气体引入到液态的材料中完成发泡。
但是,传统发泡技术无论是哪一种,其发泡过程通常都包括两个阶段,即先将热塑性基体(如聚丙烯、聚苯乙烯、聚甲基丙烯酸甲酯、聚乙烯醇、聚乙烯等)与发泡剂(化学或物理剂)混合,然后通过改变外部环境(如升温、减压或化学反应等)来发泡[13-16]。但是有时候,为了获得不规则或着复杂的形状,就需要在发泡过程中增加额外的程序。然而,这些程序有些操作相对复杂,或者在某些领域不可用。此外,传统发泡技术泡沫密度也难以精确控制。为了解决这些问题,一种微球发泡技术引起了人们的关注。
1.2 热膨胀微球泡沫材料
1.2.1 热膨胀微球泡沫材料的结构与发泡原理
热膨胀微球(TEMs)是一种具有核/壳结构的球形聚合物颗粒,其由包封在芯中的一滴液态烃和外部的聚合物壳组成[17],其外观与结构如图1.2所示。当微球被加热到高于玻璃化转变温度时,液态烃气化,同时软化热塑性壳。这将导致微球粉末发生显著的不可逆膨胀,密度大大减小,当冷却至低于玻璃化转变温度后,膨胀的微胶囊依然保留。只有聚合物的热塑性和发泡剂的气化性都达到最佳,微球才会有最佳的膨胀性能[18]。
图1.2 微球外观与结构示意图
约4-8 μm
壳体:可塑性的高分子材料
内含物:碳氢化合物
微球泡沫材料泡孔结构的形成原理和化学发泡的泡沫材料虽然相似但是有着明显的区别。微球泡沫的泡孔是由封闭在微球中的物质气化膨胀而成。化学发泡的泡沫是基体材料中混合的发泡剂受热膨胀形成泡孔。所以微球泡沫材料可以改善化学发泡材料在成型时无法控制工艺参数的缺点。所以微球泡沫材料更容易成型, 而且生产效率较高。
1.2.2 热膨胀微球泡沫材料的特点与应用
热膨胀微球最初是由陶氏化学公司发明的,上世纪70年代,随着微中空球生产技术的大力发展, 他的应用范围也大大增加。经过世界各地研究人员数十年研究,热膨胀微球已被证明是各种行业特别是印刷行业中非常有用的产品,如印刷油墨,壁纸和三维图案盲文印刷[19-20]。
以上是毕业论文大纲或资料介绍,该课题完整毕业论文、开题报告、任务书、程序设计、图纸设计等资料请添加微信获取,微信号:bysjorg。
相关图片展示:







您可能感兴趣的文章
- 改善锂离子电池中硅基负极存储性能的策略研究外文翻译资料
- 通过添加压电材料BaTiO3提高大功率锂离子电池的微米级SiO @ C/CNTs负极的电化学性能外文翻译资料
- Pd和GDC共浸渍的LSCM阴极在固体氧化物电解池高温电解CO2中的应用外文翻译资料
- 利用同步回旋加速器粉末衍射的方法来研究在有其他物相的情况下C4AF的水化作用外文翻译资料
- 外国循环流化床锅炉发展现状外文翻译资料
- 含石蜡基复合材料的多壁碳纳米管的热性能外文翻译资料
- 矸石电厂炉渣机制砂的应用研究外文翻译资料
- 机动车螺旋弹簧的失效分析外文翻译资料
- 从废阴极射线管和锗尾矿制备高强度玻璃泡沫陶瓷外文翻译资料
- 作为导热液体的液态金属在太阳能储热中的应用外文翻译资料


