有机增强增韧碳化制品研究毕业论文
2020-02-19 15:37:36
摘 要
当前大气中二氧化碳浓度逐年升高,温室效应逐渐加剧,推进低碳材料发展刻不容缓。γ-C2S可以通过碳化反应吸收并永久储存二氧化碳。为了提高γ-C2S碳化制品的力学性能,制备高强度的γ-C2S碳化制品,推动低碳材料的发展,本文从陶瓷使用PVA作为粘结剂增强胚体中获得灵感,通过在压制成型γ-C2S碳化试样时掺入一定浓度的PVA水溶液,制备出具有较高抗压强度的γ-C2S碳化制品。通过测试直径为10mm,高度为11mm的圆柱形试样的抗压强度来表征PVA对γ-C2S碳化制品强度的影响。通过测试尺寸为37.5mm×6mm×6.7mm的长方体试样的抗折强度来表征PVA对γ-C2S碳化制品韧性的影响。
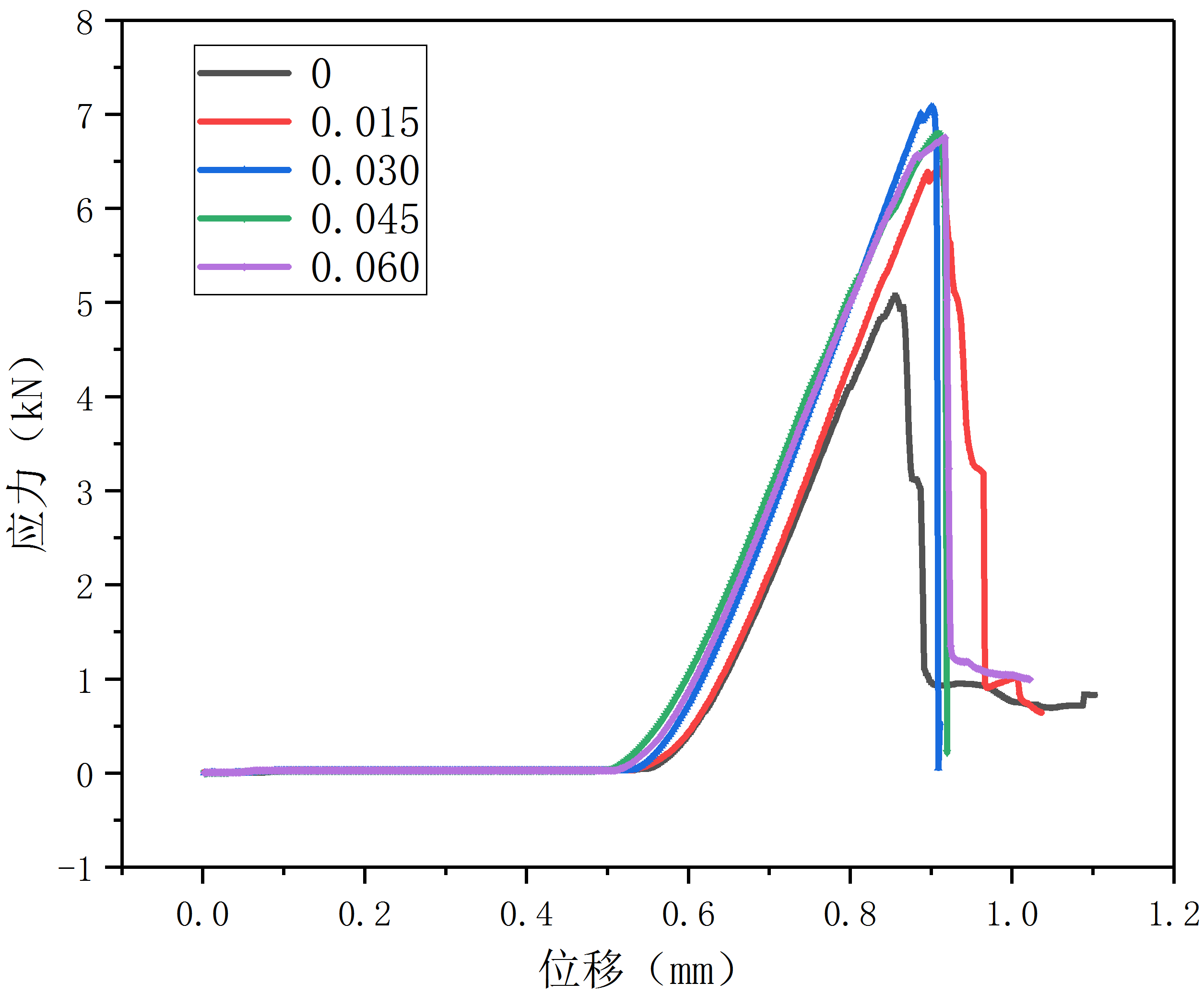
结果表明:PVA的掺入会提升试样的抗压强度,当PVA掺量较低时抗压强度随PVA掺量的加大而提升明显。当PVA掺量为0.030%时,抗压强度达到最大值88.8MPa,相较于无PVA掺入时提升20.2%。当PVA掺量超过0.030%后,抗压强度在88MPa±2MPa上下波动,无明显提升。
通过XRD、SEM、钙离子溶出、碳化反应程度、碳化反应温度、产物孔隙率的测试结果探究PVA对γ-C2S碳化制品的改性机理。结果表明:PVA的掺入对钙离子的溶出有一定的促进作用,并会延长碳化反应后期的时间提高γ-C2S的碳化程度,生成更多的碳酸钙。当PVA掺量较低时碳化程度随掺量的增大而提升的幅度较大,随着PVA掺量的逐渐升高,碳化程度的上升幅度逐渐降低。当PVA掺量达到0.075%时碳化程度达到最大值43.1%,相较于无PVA掺入时提升14.9%。当PVA掺入量在0%~0.030%时,碳化产物中的无定形相含量升高20.6%,孔隙被填充,试样内部更加致密,使抗压强度升高。当PVA掺入量在0.030%~0.060%时,碳化产物中的方解石含量随PVA掺量的升高而升高,当PVA掺入量为0.060%时方解石含量达到最大31.7%,相较于无PVA掺入时提升55.4%。γ-C2S碳化产物中的方解石多为粒径较小的方块状晶体,方解石含量的增加会对骨架结构起到一定程度的增强作用,从而使抗压强度升高。
关键词:γ-C2S;碳化;PVA;抗压强度;抗折强度
Abstract
At present, the concentration of the CO2 in atmosphere is increasing year by year。Inspired by the use of PVA as a binder to strengthen ceramic bodies, the high compressive strength of carbonized γ-C2S was obtained by adding a certain concentration of PVA aqueous solution into the shaped samples. This carbonized γ-C2S with high strength will promote the development of low carbon materials. The compressive strength of a cylindrical specimen with a diameter of 10mm and a height of 11mm was tested to show the effect of PVA on the strength of carbonized γ-C2S. The effect of PVA on the toughness of carbonized γ-C2S was characterized by testing the flexural strength of cuboid specimens with a size of 37.5 mm*6 mm*6.7 mm.
The results show that the compressive strength of the specimens increases with the addition of PVA. When the proportion of PVA is low, the compressive strength increases obviously with the proportion of PVA increasing. When the proportion of PVA is 0.030%, the compressive strength reaches the maximum of 88.8MPa, which is 20.2% higher than that without PVA. When the proportion of PVA exceeds 0.030%, the compressive strength fluctuates from 86MPa to 88MPa.
The mechanism of modification of carbonated γ-C2S which has added PVA solution is investigated by XRD, SEM, calcium ion dissolution, the degree and temperature variation of reaction, and porosity test. The results show that the addition of PVA will promote the dissolution of calcium ions, prolong the duration of later reaction so that increase the degree of carbonization of γ-C2S, and produce more calcium carbonate. When the proportion of PVA is low, the degree of reaction increases greatly with the increase of the proportion of PVA. Then with the gradual increase of the proportion of PVA, the extent of the carbonization degree increasing declines. When the proportion of PVA reaches 0.075%, the degree of carbonization reaches the maximum of 43.1%, which is 14.9% higher than that without PVA. When the proportion of PVA is between 0% and 0.030%, the proportion of amorphous phase in the products increases by 20.6%, the pore is filled, the internal structure becomes more compact, result in the increase of compressive strength. When the proportion of PVA is 0.030%~0.060%, the proportion of calcite in carbonized products increases with the increase of the proportion of PVA. When the proportion of PVA is 0.060%, the proportion of calcite reaches the maximum of 35.2%, which is 55.4% higher than that without PVA. Calcite in the product of carbonization is mostly small-sized block crystals. The increase of calcite proportion will enhance the skeleton structure to increase the compressive strength.
Keywords: γ-C2S;Carbonation;PVA;strength;toughness
目录
第一章 绪论 1
1.1 课题研究背景及意义 1
1.2 国内外对硅酸钙碳化的研究现状 2
1.3 国内外对C2S碳化制品改性的研究现状 4
1.4 国内外对PVA的研究现状 4
1.5 研究目标和研究内容 5
1.5.1 研究目标 5
1.5.2 研究内容 5
第二章 原材料与实验方法 6
2.1原材料 6
2.2实验方法 6
2.2.1 力学性能测试 6
2.2.1 X射线衍射分析(XRD) 7
2.2.2 扫描电镜分析(SEM) 7
2.2.3 钙离子溶出测试 7
2.2.4 碳化程度测试 8
2.2.5 碳化反应过程温度变化测试 8
2.2.6 孔隙率测定 9
2.3 实验工艺过程 9
2.3.1 γ-C2S生料的制备 9
2.3.2 γ-C2S熟料的烧成与粉磨 9
2.3.3 γ-C2S碳化硬化体的制备 10
2.3.4 PVA的掺入 10
第三章 测试结果与分析 11
3.1 PVA对γ-C2S碳化反应活性的影响 11
3.1.1 PVA对γ-C2S碳化过程温度的影响 11
3.1.2 PVA对γ-C2S碳化程度的影响 11
3.2 PVA对γ-C2S碳化制品力学性能的影响 12
3.2.1 PVA对γ-C2S碳化制品抗压强度的影响 12
3.2.2 PVA对γ-C2S碳化制品抗折强度的影响 15
3.3 PVA对γ-C2S碳化制品性能影响机理 15
3.3.1 PVA对γ-C2S碳化制品的产物组成和形貌的影响 15
3.3.2 碳化反应钙离子溶出特性 20
3.3.3 γ-C2S碳化制品孔结构特性 21
第四章 结论与展望 22
4.1 结论 22
4.2 展望 22
参考文献 23
致谢 25
附录1 26
附录2 27
第一章 绪论
1.1 课题研究背景及意义
随着经济的快速发展,随着工业化的快速推进,二氧化碳的排放量逐年上升,空气中二氧化碳的含量也连创新高。据美国《世界日报》2019年5月12日报道,当地时间11日上午,夏威夷莫纳罗亚天文台探测到大气层的二氧化碳浓度达到415.26ppm,这是不仅是地球大气层二氧化碳浓度在人类史上首次突破415ppm,而是自现代人存在前的数百万年前以来首次突破该数值。据“基林曲线”曲线显示,自二氧化碳收到观测以来,大气层的二氧化碳一直在逐步上升。
二氧化碳是一种典型的温室气体,大气中二氧化碳可以吸收地面反射的长波辐射,并重新发射辐射,其维持在较高的浓度会使地球的的自然降温系统被削弱,使地球的温度逐渐上升,从而导致冰川融化,海平面上升,破坏生态平衡等严重的环境问题[1]。在总的温室效应中,二氧化碳可以起到一半的作用,所以降低二氧化碳排放量刻不容缓。
波特兰水泥自1824年发明以来,由于其良好的力学性能和施工性能成为世界上应用最为广泛的建筑材料。随着国家城市化的快速推进,波特兰水泥的使用量逐年增加。然而在水泥的生产会产生大量的二氧化碳排放。水泥生产过程中二氧化碳的排放主要来自于两个方面:一是水泥生产过程中的烧成等过程需要大量的热能,这些热能主要由化石燃料的燃烧提供;二是水泥生产中所使用的钙质原材料如石灰石的主要成分为碳酸钙(CaCO3),在悬浮预热器的分解炉中,钙质原材料中的碳酸钙会在高温下分解,排出大量二氧化碳[2]。据英国皇家国际事务研究所和国际能源署2016年的两份报告中显示,在2016年一年的时间中,全球整个水泥行业排放了22亿公吨的二氧化碳,在全球碳排放总量中占比达到8%。如果将整个水泥行业看成一个国家的话,它将成为仅次于中国和美国的全球第三大碳排放量大国。如果能降低水泥生产过程中的二氧化碳排放,那将对整个低碳材料的发展做出重大贡献。
普通硅酸盐水泥熟料的矿物相为硅酸三钙(C3S),硅酸二钙(C2S),铝酸三钙(C3A)和铁铝酸四钙(C4AF)。其中主要矿物相为硅酸三钙,其含量通常在50%左右,在有些情况下其含量甚至高达60%[3]。相较于C2S,硅酸三钙的形成需要更多的钙质原材料,这意味着硅酸三钙矿物相含量越高的水泥在生产过程中会需要分解更多的碳酸钙,从而产生更多的二氧化碳排放。所以,如果能降低水泥矿物相中硅酸三钙的含量,那将可以在一定程度上降低水泥生产过程中的二氧化碳排放。所以对C2S的研究成为水泥低碳化的一个重要的方向。
C2S具有五种晶型,分别为α、β、γ、α,和αHP型[4]。其中由于γ-C2S水化活性较低,基本不具有施工性能,所以在水泥生产中常常通过急冷的方式阻止β-C2S向γ-C2S转变[3],这导致对γ-C2S的研究长期处于被忽视的状态。有研究发现γ-C2S具有较强的二氧化碳的吸附能力,其在有一定量水的参与下其会吸收二氧化碳形成碳酸钙和二氧化硅凝胶[6]。近年来,随着环境问题的加剧,γ-C2S作为一种可以永久储碳的低碳材料得到了广泛的重视[7]。
但是纯γ-C2S在实际应用中存在种种难题。由于γ-C2S水化活性极低,导致γ-C2S无法像β-C2S或者C3S那样加入水后就具有较好的施工性能,所以γ-C2S的成型方式目前多为压制成型。成型的γ-C2S通过加速碳化可以在短时间内获得较好的力学性能[8]。如果能通过掺加一些物质达到改善γ-C2S碳化制品力学性能的目的,那这将有利于推进γ-C2S碳化制品这种低碳材料的应用,从而达到降低二氧化碳排放,缓解温室效应的目的。
1.2 国内外对硅酸钙碳化的研究现状
早在1979年,Bukowski和Berger就发现了无水化活性的硅酸钙表现出对二氧化碳的反应活性[6]。Papadakis等学者也通过研究发现可水化的硅酸钙也表现出对二氧化碳的反应活性[9]。
通过不断的研究现在普遍认为硅酸钙碳化反应产物为方解石、文石、球霰石和无定形的碳酸钙。方解石为硅酸钙在碳化反应过程中形成的主要晶型,文石相和球霰石相含量较少[10]。方解石为三方晶系,晶体常呈棱面体,晶型较为稳定。文石为斜方晶系,晶体常呈柱状或针棒状,晶型较为不稳定,易转变为方解石[11][12]。在扫描电镜的观察下γ-C2S碳化产物中的方解石多为小块状,在朱明等人的研究中观察到了片状的方解石晶体[13]。而碳化产物中文石在扫描电镜的观察下多为棒状、钟乳石状,球霰石多为小球状[14]。由于方解石晶体形貌较为多变,所以单单通过扫描电镜分析很难确定所观察到的晶体是方解石还是文石。
对C2S的碳化产物,不同的学者在研究时得出了不同的结论[6][10][15][31]。Saito在研究中认为碳化反应产物中碳酸钙的晶型与原材料C2S有关,所以使用的原材料不同会导致碳化生成的碳酸钙晶型差别较大[15]。Bukowski等人通过研究认为,文石和球霰石头的晶型较为不稳定,可能碳化时温度、湿度、二氧化碳浓度、压力等条件的变化会引起这两种不稳定的晶型发生转变[6]。
硅酸钙碳化产物中的无定形硅酸钙有着独特的性质。研究表明在C3S、C2S和C3S2的碳化产物中均能检测到无定形碳酸钙的存在,但在CS的碳化产物中并没有发现无定形相的碳酸钙[16]。Ashraf和Olek的研究表明,C3S,C2S和C3S2在碳化时会阶段性的形成水化硅酸钙,该阶段过后此相会分解并形成钙改性的二氧化硅凝胶。但在CS碳化时,钙改性的硅胶会作为反应唯一的凝胶产物。他们提出了无定形碳酸钙是通过在表面沉积二氧化硅层来稳定的,且无定形碳酸钙的存在会影响集体内部的孔径分布,从而影响基质的扩散碳化速率[16][33]。
Jun Chang等人的研究表明二氧化碳与C2S反应生成方解石和由Q3,Q4结构组成的聚合硅胶相,但对于β-C2S,在碳化时除了生成Q3,Q4,其水化反应会生成C-S-H凝胶,从而导致β-C2S相较于γ-C2S在碳化反应时吸收更少的二氧化碳,但却具有更高的抗压强度[8]。由于β-C2S和γ-C2S的水化活性差异较大,导致β-C2S和γ-C2S在碳化机理上有着较大的不同,有研究认为β-C2S碳化是水化生成的氢氧化钙与二氧化碳反应生成碳酸钙,而γ-C2S的碳化是溶出的钙离子直接与二氧化碳溶于水形成的碳酸反应[17]。
以上是毕业论文大纲或资料介绍,该课题完整毕业论文、开题报告、任务书、程序设计、图纸设计等资料请添加微信获取,微信号:bysjorg。
相关图片展示:







您可能感兴趣的文章
- 改善锂离子电池中硅基负极存储性能的策略研究外文翻译资料
- 通过添加压电材料BaTiO3提高大功率锂离子电池的微米级SiO @ C/CNTs负极的电化学性能外文翻译资料
- Pd和GDC共浸渍的LSCM阴极在固体氧化物电解池高温电解CO2中的应用外文翻译资料
- 利用同步回旋加速器粉末衍射的方法来研究在有其他物相的情况下C4AF的水化作用外文翻译资料
- 外国循环流化床锅炉发展现状外文翻译资料
- 含石蜡基复合材料的多壁碳纳米管的热性能外文翻译资料
- 矸石电厂炉渣机制砂的应用研究外文翻译资料
- 机动车螺旋弹簧的失效分析外文翻译资料
- 从废阴极射线管和锗尾矿制备高强度玻璃泡沫陶瓷外文翻译资料
- 作为导热液体的液态金属在太阳能储热中的应用外文翻译资料


