BN-聚合物基柔性复合材料的制备与储能性能毕业论文
2020-02-19 15:34:35
摘 要
进入21世纪,电子信息技术飞速发展,电容器在各类电子器件中的作用越来越重要,电介质电容器因其介电性能而具有比超级电容器更快的充放电效率和更长的循环寿命,但储能密度比其他储能器件还是要低得多。为了提高其储能性能,并且为了顺应现今电子器件微型化、柔性化、无源化以及绿色化发展的趋势,现在采用的方法是将介电性能优异的无机纳米材料均匀地分散到聚合物基体中,形成的纳米复合物集合了复合体系内各组分的优点。聚偏氟乙烯(PVDF)在聚合物中具有较高的介电常数(约为11),是最常用的复合聚合物基体。而氮化硼(BN)具有较高的导热系数、高电阻率和击穿强度,同时,它密度低且耐热性能优异,是一种非常适合于制备聚合物复合材料的填料。
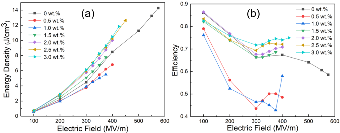
本文以氮化硼(BN)二维材料为填料,PVDF为有机铁电聚合物基体。重点研究BN二维填料含量对复合材料的介电响应,耐击穿场强和储能密度的影响,并采用现代测试手段对其结构和性能进行表征。通过流延法制备了两种BN原料不同的BN/PVDF复合薄膜,研究了这两种不同的BN纳米片与聚合物复合而对聚合物介电性能的影响,讨论了BN的加入对PVDF储能性能的影响。结果表明:在相同场强下,用PEI改性的BN加入量为3.0 wt.%时,复合物薄膜储能密度和效率达到最高,在425 MV/m时,储能密度可达11.83 J/cm3,而加入量为2.0 wt.%时,于450 MV/m有最高的储能密度12.64 J/cm3;未改性的BN加入量为2.0 wt.%时,储能密度和效率达到最高达到最大,在400 MV/m时可达9.98 J/cm3。
关键词:电介质材料;纳米复合物;BN;PVDF;储能
Abstract
With the rapid development of electronic information technology in the 21st century, capacitors are playing an increasingly important role in various electronic devices. Dielectric capacitors have faster charging and discharging efficiency and longer cycle life than supercapacitors due to their dielectric properties, but the energy storage density is still much lower than other energy storage devices. In order to improve its energy storage performance and to conform to the development trend of miniaturization, flexibility, passivity and greening of electronic devices, the current method is to uniformly disperse inorganic nanomaterials with excellent dielectric properties into polymer matrix, and the formed nanocomposite integrates the advantages of all components in the composite system. However, polyvinylidene fluoride (PVDF) has a relatively high dielectric constant (about 11) in polymers and is the most commonly used composite polymer matrix. Boron nitride (BN) has high thermal conductivity, high resistivity and breakdown field, meanwhile, it has low density and excellent heat resistance. It is a very suitable filler for preparing polymer composites.
Therefore, BN is used as filler and PVDF is used as organic ferroelectric polymer. The effects of BN two-dimensional filler content on the dielectric response, breakdown strength and energy storage density of the composite material are mainly studied, and its structure and properties are characterized by modern testing methods. The main research results are as follows: Two BN/PVDF composite films with different BN materials were prepared by tape casting; under the same field strength, the composite film has the highest energy storage density and efficiency at 3.0 wt.% of BN modified by PEI, which is 11.83 J/cm3 at 425 MV/m, and the highest energy is at 2.0 wt.%, which can reach 12.64 J/cm3 at 450 MV/m; When the content of unmodified BN is 2.0 wt.%, the energy storage density and efficiency reach the maximum, reaching 9.98 J/cm3 at 400 MV/m.
Key words: Dielectric material; Nanocomposite; BN; PVDF; Energy storage
目 录
第1章 绪论 1
1.1研究背景及意义 1
1.2电介质材料概述 2
1.2.1 电介质材料简介 2
1.2.2 电介质材料的分类 3
1.3 纳米复合电介质材料 4
1.3.1 研究现状 4
1.3.2 陶瓷聚合物复合电介质材料 4
1.4 本论文的选题和主要研究内容 6
1.4.1 选题思路 6
1.4.2 主要研究内容 6
第2章 纯PVDF膜制备及表征 7
2.1 实验材料与设备 7
2.1.1 实验原料 7
2.1.2 实验设备 7
2.2纯PVDF薄膜的制备工艺 8
2.3 纯PVDF膜的介电性能 8
2.3.1 纯PVDF膜的击穿场强 8
2.3.2 纯PVDF膜的介电常数与介电损耗 9
2.3.3 纯PVDF膜的储能特性。 10
第3章 BN/PVDF复合膜的制备及表征 11
3.1 实验原料 11
3.2 实验原料的AFM表征 11
3.2.1 PEI改性BN纳米片的AFM表征 11
3.2.2 未改性BN纳米片的AFM表征 12
3.3 BN/PVDF复合膜的制备 12
3.3.1 PEI改性的BN纳米片复合膜的制备 12
3.3.2 未改性BN纳米片复合膜的制备 14
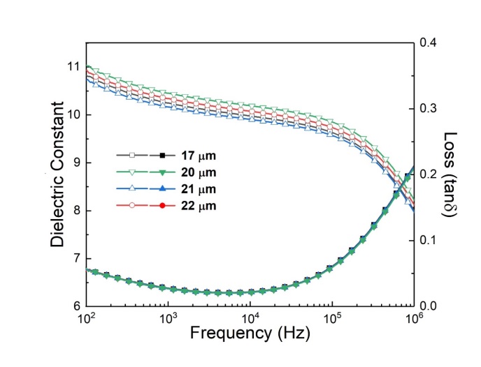
3.4 BN/PVDF复合膜的介电性能 14
3.4.1 PEI改性的BN纳米片复合膜的介电性能 14
3.4.2 未改性的BN纳米片复合膜的介电性能 18
3.5 BN/PVDF复合膜的结构表征 23
3.5.1 X射线衍射分析 23
3.5.2 扫描电子显微镜分析 24
第4章 总结 27
4.1 PEI改性的BN纳米片复合膜的介电性能 27
4.2 未改性的BN纳米片复合膜的介电性能 27
4.3 两种复合膜的比较 28
参考文献 29
致谢 31
第1章 绪论
1.1研究背景及意义
工业革命以来,人类文明和社会经济的人类文明和社会经济的快速发展,传统化石能源的迅速消耗,环境污染日益加重,我们人类对可持续再生的能源需求也日益增加。可持续发展的新型绿色能源主要包括风能、水能、太阳能及电化学能源等等,而风能、水能、太阳能等能源很容易被天气和地域等外部环境影响,能量收集分散不连续。随之而来的储能问题也就显现出来了,如何高效利用这些分散不连续的能源也成为了一个至关重要的问题。因而在广大科研人员寻找可替代的高效清洁能源的过程中,储能器件自然也在迅猛发展。因此,作为电化学能源的锂电池、镍氢电池、燃料电池、超级电容器和电介质电容器得到了广泛而深入的研究。在众多的储能器件中,于20世纪七八十年代发展起来的超级电容器具有十分光明的应用前景。超级电容器和传统电容器、电池的Ragone图比较如图1.1所示,其能量密度高于传统电容,功率密度又高于蓄电池,结合了传统电容器高功率密度以及锂电池高能量密度的优势。

图1.1 各种电能存储设备的比功率与比能量的关系(Ragone图)[1]
电介质电容器具有最高的功率密度,约为108 W/kg [2],但是储能密度低(lt;30 W·h/kg)[3],它最大的优势就是具有长循环寿命(百万次以上)、大电流及充放电速率快、工作温度范围广(-40~70℃)和环境友好等特性[4]。因具有这些独特的性能,电介质电容器吸引了众多科研人员的关注,也使得电介质电容器在电力、工业、交通等领域,包括现今无处不在的移动电子设备、电力系统的元器件和新能源汽车下一代能量储存系统,甚至在航空航天和军事领域等方面也起着十分重要的作用。
电介质电容器有陶瓷电容器和薄膜电容器,薄膜电容器柔韧性好,易于加工,击穿场强较高,介电常数较低,而陶瓷电容器介电常数高,但其脆性大,损耗大,无法用于印刷电路板,不耐高压。现今广泛使用的电容器向微型化、柔性化、无源化以及绿色化发展。现今信息技术迅猛发展,便携式电子产品快速发展,可弯曲的柔性储能器件备受研究者青睐,开发具有柔性、体积小、高电化学性能的储能器件具有重要意义[5,6]。而且随着电动汽车、高能武器设备等先进装备领域快速发展,高能量密度电介质材料也具有很光明的应用前景[7,8]。薄膜电容器具有无极性、介电损失小、绝缘阻抗高和频率特性优异的优点。另外薄膜电容器不仅更加环保,而且体积也较小,相同容量的薄膜电容和电解电容,薄膜电容的体积只有电解电容器大小的一半。这些优点使得薄膜电容器在绿色工业、新能源汽车、智能照明等新兴产业上被广泛使用。
目前研究发展的薄膜电容器介电常数很低,因而储能密度也较低[9,10]。电介质材料是薄膜电容器中最重要的组成部分, 其性能直接决定了电容器的储能特性,通常采用聚合物。目前最具潜力的替代材料是铁电聚合物,其具有较高的相对介电常数,如聚偏氟乙烯 (PVDF)的相对介电常数在9~12之间,在已知的聚合物中具有很高的储能密度值,这是由晶体域中的高极性C-F键和偶极自发组织引起的。与陶瓷材料相比,聚合物材料重量轻,具有更高的击穿强度以及更优异的伸缩性,并且可以形成复杂的结构,但其介电常数低。有鉴于此,将一些具有优异性能的纳米材料添加到聚合物基体中以制备复合材料是目前提高电介质材料储能密度的一个主要手段。
1.2电介质材料概述
1.2.1 电介质材料简介
人类自认识了电始,就认识了电介质材料。然而当时电介质仅作为绝缘材料来应用,用来隔离电流的。随着工业革命以来电气化的全面普及,电在人们生活中越来越重要,电介质的应用也越来越广泛,有应用前景的地方就不会缺少研究人员。初始阶段,研究人员主要还是研究其电导和击穿强度,同时也在不断深入研究它们的在电场下性质的变化,即它们的介电性能。
20世纪30年代以后,电子技术、红外和激光等新兴技术出现了,分子极性被人们发现,使得人们对电介质的理解及其范畴和过去大不相同,极性电介质就随之出现并被广泛应用。这时人们就将眼光转向了电介质的内部极化,由此,缤纷广阔的电介质世界的大门就向我们人类敞开了,铁电、热电、压电等性能特异的材料也逐渐走进我们的世界。其中,铁电物质始于17世纪罗息盐的首次出现,而铁电性能的研究始于20世纪Valasek对罗息盐介电性能的研究[11]。
1.2.2 电介质材料的分类
一般认为电阻率超过1010 Ω·cm的物质为电介质。电介质电阻率一般都很高,所以习惯上也称其为绝缘体。但有些物质的电阻率并不高,但是因为在外加电场作用下也能发生极化过程,也可归入电介质。电介质在外加电场下,内部原子或分子的内部结构会发生某种变化,束缚电荷会在微观范围内移动,从而产生宏观上不等于零的电偶极矩,显示出电性。像这类凡是能产生极化现象的物质,统称为电介质[12]。材料的组成、结构、制作工艺和外部环境的不同等均会对电介质材料性能产生影响。
从大的来讲,电介质可以分为绝缘材料和铁电热电等各种功能材料。按照不同分类标准,可以将电介质分成不同类别[13]。
按电介质材料物质形态不同,可以将其分为固体、液体、气体以及真空四类,常用的气体电介质有空气氮气、氧气、二氧化碳和六氟化硫等气体,气体电介质一般有较高的热导率和绝缘性、优良的热和化学稳定性、较低的腐蚀性和成本;常见的液体电介质极性强的有有超纯水、乙醇等,极性弱的有植物油、矿物油、硅油、酯类和芳烃类等有机物。它们具有较高的热导率和绝缘性、介电损耗和介质损耗小等优良性能,一般起传热、绝缘和浸渍及填充作用等;固体电介质是目前研究最为广泛的电介质材料,常见的有玻璃、陶瓷、人造橡胶、热塑性塑料、纤维材料、有机高分子与陶瓷复合以及无机与有机高分子复合电介质材料等。现在对固体电介质的研究主要方向还是将纳米陶瓷材料与有机高分子聚合物复合,以高聚物为基底,高聚物优异的柔韧性能够大大减轻陶瓷的脆性的影响,同时结合陶瓷的高介电性能,在储能和其他方面有着很大的潜力。
目前按电介质的使用范围可分为微波电介质和电容器电介质,两者都对介电性能有要求。电容器电介质需要比较高的介电常数,目前普通电介质材料主要有DMF、PVDF和PMMA等,都是一些聚合物材料,介电常数较低;高介电电介质主要有铁电、压电材料和各种复合材料;超高电介质材料,现在报道的有BaTiO3、CCTO[14]和BTFN[15]。
1.3 纳米复合电介质材料
纳米复合电介质的概念最早是由J.Lewis首次在1994年提出 [16]。纳米填料由于为纳米尺度,尺寸极小,因而具有极大的比表面积和表面活性。纳米复合电介质是指往高聚物基体中加入尺度在l~100 nm无机粒子填料,使得聚合物基复合材料一种或多种介电性能发生改善,甚至会产生新的复合效应。一般而言,在均匀分散的情况下,纳米填充物主要通过在以下几个方面提高介质材料的性能:(1)能够有效地增加介质的自由体积,从而降低介质常数;(2)可以提高传统介质材料的击穿场强;(3)可以大大提高电介质材料的抗循环老化性能;(4)可以有效抑制介质内部的空间电荷等[17,18]。
1.3.1 研究现状
高介电常数柔性纳米介质材料的研究现在是国内外先进功能材料中最活跃的学术研究领域之一。
聚合物基复合材料具有无机掺杂体和聚合物基体的共同特性。聚合物本身具有较高的击穿场强,而无机填料则具有高极化的特性。聚合物基体方面,主要有热塑性树脂,如聚烯烃(聚乙烯(PE) 、PVDF等)、聚乙烯醇(PVA)、聚酰胺(PA)、聚酰胺酰亚胺(PAI)、聚醚酰亚胺(PEI)、聚酰亚胺(PI)、乙烯-醋酸乙烯共聚物(EVA)以及聚对苯二甲酸乙二醇酯(PET)等;热固性树脂,如硅橡胶、环氧树脂、酚醛树脂、有机硅树脂等。纳米填料方面,主要有按照填料的形状可分为纤维状、棒状、球状以及片状粒子等;按照掺杂的填料可分为陶瓷体填料(有TiO2、BaTiO3、CaTiO3、BaSrTiO3等)和导电体填料(有金属粒子,碳系粒子和半导体粒子等)。
由于本文主要研究无机填料与聚合物复合,也就是陶瓷与聚合物复合,下面主要介绍一下陶瓷聚合物复合电介质材料。
1.3.2 陶瓷聚合物复合电介质材料
陶瓷电介质有绝缘性好、介电常数高、介电损耗小、导热性能好、膨胀系数小、热稳定性和化学稳定性好等特点,广泛用于制作各类电子设备,如电容、电感和电阻,或者用作微电子封装,作为载流导体的绝缘支撑起各种电路。然而陶瓷电介质材料脆性大,无法用于印刷电路板,并且损耗大,不耐高压,随着科学技术的快速发展,其应用开始逐渐受限。而介电聚合物柔韧、质轻,具有良好的加工性,并且击穿场强和绝缘性都很高,但是介电常数较小,储能密度也不高。所以想要将两者复合起来,在聚合物中掺杂纳米陶瓷材料,兼具聚合物高击穿、绝缘性和优秀的机械性能,以及陶瓷极佳的介电性和电活性。
目前储能方面主要选用铁电材料,常见的铁电陶瓷材料多属钙钛矿型结构,如BaTiO3、 PbTiO3、SrTiO3等,常温下,这类陶瓷材料具有相对较高的介电常数(103)和击穿场强、较低的介电损耗(<0.05)和老化率。铁电陶瓷材料基于铁电现象,在居里温度TC下,可以达到极高的介电常数(5000~18000)[19]。
对于聚合物基体而言,也要选择具有较高介电常数的聚合物材料。在铁电聚合物中, PVDF是最常用作基体的线性聚合物,其内有着高电负性的氟,使得C-F偶极能够自发排列,因而介电常数较高。同样其家族高聚物,如氟乙烯-六氟丙烯(PVDF-HFP)和聚偏氟乙烯-三氟乙烯-三氟氯乙烯(PVDF-Tr FE-CFE)等也具有较高的介电常数。
以上是毕业论文大纲或资料介绍,该课题完整毕业论文、开题报告、任务书、程序设计、图纸设计等资料请添加微信获取,微信号:bysjorg。
相关图片展示:







您可能感兴趣的文章
- 改善锂离子电池中硅基负极存储性能的策略研究外文翻译资料
- 通过添加压电材料BaTiO3提高大功率锂离子电池的微米级SiO @ C/CNTs负极的电化学性能外文翻译资料
- Pd和GDC共浸渍的LSCM阴极在固体氧化物电解池高温电解CO2中的应用外文翻译资料
- 利用同步回旋加速器粉末衍射的方法来研究在有其他物相的情况下C4AF的水化作用外文翻译资料
- 外国循环流化床锅炉发展现状外文翻译资料
- 含石蜡基复合材料的多壁碳纳米管的热性能外文翻译资料
- 矸石电厂炉渣机制砂的应用研究外文翻译资料
- 机动车螺旋弹簧的失效分析外文翻译资料
- 从废阴极射线管和锗尾矿制备高强度玻璃泡沫陶瓷外文翻译资料
- 作为导热液体的液态金属在太阳能储热中的应用外文翻译资料


