SrO-BaO-B2O3-SiO2系低熔点玻璃的结构及性能研究毕业论文
2020-02-19 15:33:54
摘 要
封接玻璃是一种将金属材料,无机材料及复合材料等粘结起来的中间层材料,广泛应用于电真空技术,微电子技术,5G技术等领域。相比于金属和有机类封接材料,封接玻璃不仅气密性更好、耐高温,还具有优良的电学、力学等性能,使得其成为封接材料中最重要的一员。随着现代工业的快速发展使得电子元件朝着小型化、集成化等方向发展,这对封接材料的密封性和可靠性提出了更高的要求,封接玻璃的研究刻不容缓。
本文设计并制备了SrO-BaO-SiO2-B2O3系封接玻璃,探究了TiO2/B2O3对其烧结行为,析晶行为,表面形貌,热学性能,力学性能及耐酸性能的影响。通过水淬法制备了基础封接玻璃,利用差示扫描量热,高温显微镜等方法研究了基础玻璃的热学性能;利用红外光谱,拉曼光谱,X射线衍射及场发射扫描电镜等方法对基础玻璃烧结前后的结构进行了研究和表征。利用万能试验机,维氏硬度仪,光学显微镜,热膨胀系数仪,酸侵蚀等方法测试了烧结后封接玻璃的性能,并将其结构与性能变化进行了系统地分析和探讨。
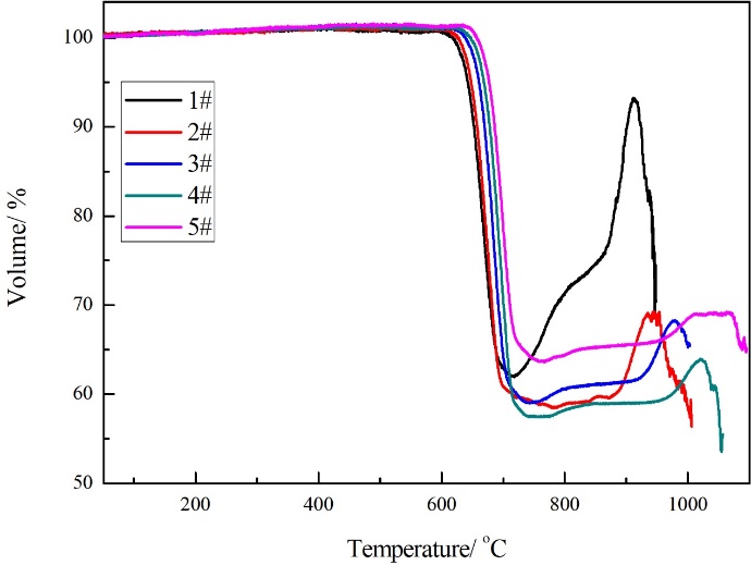
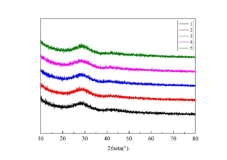
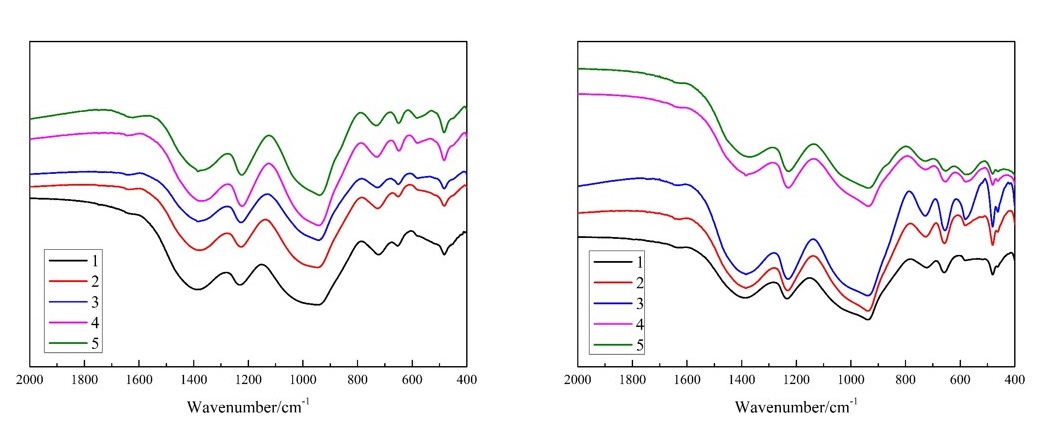
结果表明,B2O3在基础玻璃中充当网络形成体,[BO4]与[SiO4]相互连接构成玻璃的网络结构,TiO2的存在形式与其含量有关,TiO2含量较低时它形成[TiO4]四面体并进入玻璃网络内,含量较高时部分TiO2以[TiO6]填充在网络空隙中。随着TiO2/B2O3增大,体系内硼酸盐基团的数目减少,TiO2以[TiO4]形式加入网络,促进[BO4]向[BO3]转变。玻璃样品在800 ℃和850 ℃条件下进行热处理,样品都出现析晶现象,烧结样品析出的主要晶相为六方钡长石和钛酸锶,随着TiO2/B2O3增大,样品结晶度呈现增大趋势。同时,升高烧结温度有利于增大样品的结晶度。TiO2/B2O3的增加,提高了烧结样品的抗折强度和维氏硬度,TiO2为8 wt%时Sr-Ba-Si-B玻璃在850 ℃烧结后抗折强度最高,达115.6 MPa,当烧结温度为800 ℃时,TiO2=10 wt%的Sr-Ba-Si-B玻璃的维氏硬度为568.00 HV。此外,热膨胀系数总体上呈现先升高后降低的趋势。
本文中设计和制备的封接玻璃具有优异的性能,能够满足低温烧结(Cu,Ag,Au)的要求,对封接玻璃的研究和应用具有重要意义。
关键词:SrO-BaO-B2O3-SiO2;微晶玻璃;低温烧结;BaAl2Si2O8;SrTiO3
Abstract
Sealing glass is an intermediate layer material that bonds metal materials, inorganic materials and composite materials. It is widely used in electric vacuum technology, microelectronic technology, 5G technology and other fields. Compared with metal and organic sealing materials, sealing glass is not only airtight, high temperature resistant, but also has excellent electrical and mechanical properties, making it the most important member of sealing materials. With the rapid development of modern industry, the development of electronic components in the direction of miniaturization and integration has put forward higher requirements on the sealing and reliability of sealing materials. The research of sealing glass is urgent.
The SrO-BaO-SiO2-B2O3 sealing glass was designed and prepared. The effects of TiO2/B2O3 on its sintering behavior, crystallization behavior, surface morphology, thermal properties, mechanical properties and acid resistance were investigated. The basic sealing glass was prepared by water quenching method. The thermal properties of the base glass were studied by means of differential scanning calorimetry and high temperature microscopy. The methods of infrared spectroscopy, Raman spectroscopy, X-ray diffraction and field emission scanning electron microscopy were used. The structure before and after sintering of the glass was studied and characterized. The properties of the sealed glass after sintering were tested by universal testing machine, Vickers hardness tester, optical microscope, thermal expansion coefficient and acid etching. The structure and performance changes were systematically analyzed and discussed.
The results show that B2O3 acts as a network forming body in the base glass, and [BO4] and [SiO4] are interconnected to form the network structure of the glass. The existence form of TiO2 is related to its content. When the content of TiO2 is low, it forms a [TiO4] tetrahedron and enters. In the glass network, part of the TiO2 is filled with [TiO6] in the network space at a higher content. With the increase of TiO2/B2O3, the number of borate groups in the system decreases, and TiO2 joins the network in the form of [TiO4], which promotes the conversion of [BO4] to [BO3]. The glass samples were heat treated at 800 °C and 850 °C, and the samples showed crystallization. The main crystal phases precipitated in the sintered samples were hexagonal celsian and barium titanate. The crystallinity of the sample increased with the increase of TiO2/B2O3. trend. At the same time, increasing the sintering temperature is beneficial to increase the crystallinity of the sample. The increase of TiO2/B2O3 improves the flexural strength and Vickers hardness of sintered samples. When TiO2 is 8 wt%, the flexural strength of Sr-Ba-Si-B glass after sintering at 850 °C is the highest, reaching 115.6 MPa. At 800 ° C, the Vicrson hardness of Sr-Ba-B-Si glass with TiO2 = 10 wt% is 568.00 HV. In addition, the coefficient of thermal expansion generally shows a tendency to increase first and then decrease.
The sealing glass designed and prepared in this paper has excellent performance and can meet the requirements of low temperature sintering (Cu, Ag.Au), and is of great significance for the research and application of sealing glass.
Key Words:SrO-BaO-B2O3-SiO2;glass ceramics;Low temperature sintering;BaAl2Si2O8;SrTiO3
目 录
第一章 绪论 1
1.1封接玻璃的概述 1
1.1.1封接玻璃的分类 1
1.1.2封接玻璃的性能要求 2
1.1.3封接玻璃的应用 2
1.2低温封接玻璃研究现状 3
1.2.1含铅低温封接玻璃 3
1.2.2无铅低温封接玻璃 3
1.3低温封接玻璃的发展趋势 5
1.4本课题的研究意义及内容 6
第二章 实验部分 7
2.1玻璃的原料及设备 7
2.1.1玻璃的原料 7
2.1.2实验所使用设备 7
2.2实验流程 8
2.2.1实验总流程 8
2.3结构分析与性能测试 8
2.3.1X射线衍射分析 8
2.3.2红外吸收光谱分析 9
2.3.3拉曼光谱分析 9
2.3.4扫描电子显微分析 9
2.3.5差示扫描量热分析 9
2.3.6热膨胀系数的测定 9
2.3.7高温显微镜测试 10
2.3.8抗折强度测试 10
第三章 TiO2/B2O3对封接玻璃结构及性能的影响 11
3.1玻璃组分设计 11
3.2实验内容 11
3.2.1基础玻璃制备及测试 11
3.2.2玻璃的烧结及测试 12
3.3TiO2/B2O3对封接玻璃结构及性能的影响 13
3.3.1基础玻璃热学分析 13
3.3.2基础玻璃结构分析 14
3.3.3烧结后玻璃的结构分析 17
3.3.4性能分析 20
第四章 结论 24
参考文献 25
附录A 27
附录B 28
致 谢 29
第一章 绪论
1.1封接玻璃的概述
玻璃加热后具有良好润湿性,能与其他金属或无机材料进行结合能够紧密封接在一起,因此成为常用的封接材料。相比于金属封接材料和有机封接材料[1],封接玻璃不仅气密性更好、耐高温,还具有优良的电学、力学等性能。因此,玻璃类封接材料在电真空技术,微电子技术,5G技术等领域应用广泛。现代工业的快速发展推动电子元器件走向小型化、集成化、低成本的发展道路,这对封接材料的密封性、化学稳定性等提出了进一步的要求,促使封接技术与封接理论进一步发展[2]。
高温共烧技术(HTCC)的烧结温度一般都在1500 ℃以上,且使用的基板材料多为Mo、W等价格昂贵、电阻高、损耗大的金属材料[3]。低温共烧陶瓷(LTCC)是相对于传统的高温共烧技术提出的。目前,电子元件上使用的电极材料多为具有成本低廉、电阻及介电损耗低等特点的金(1061°C)、银(961°C)、铜(1083°C)及它们的合金,因为它们的熔点都比较低,在与这些材料进行共烧时封接玻璃的烧结温度应该低于950 ℃[4]。而且电子器件传输速率和信号质量通常取决于封接玻璃的介电特性。此外,所使用的封接玻璃应具有适当的热膨胀系数(CTE),以减轻基板与印刷电路板(PCB)之间的热失配。
1.1.1封接玻璃的分类
封接玻璃通常分为三类,分别为非结晶型玻璃、结晶型封接玻璃和复合型玻璃[5,6,7]。
非结晶型玻璃是指封接过程不产生晶相,封接前后都保持玻璃态因此可以对其进行重复加热调整封接状态的封接玻璃体系,如:PbO-B2O3-SiO2系玻璃。这类玻璃的优点是:封接过程不产生晶相,所以不会出现晶型转变所带来的封接前后热膨胀系数的改变,也不会出现明显体积变化,在加热情况下玻璃中产生的液相使其在界面上体现出良好的流动性和润湿性从而封接气密性较好;缺点是:因为封接前后无明显析晶,从而封接强度较小、热稳定性差,不能与热膨胀系数相差较大的元件进行封接。
结晶型玻璃是进行封接时出现析晶现象的封接玻璃。这类玻璃的优点是:由于在封接过程中析出晶体,玻璃的机械强度、热稳定性及化学稳定性得到改善,可以通过调节析出晶相的种类和含量来调节玻璃的性能从而适应不同的电子元件;缺点是:晶体的析出使得玻璃内黏度变大,不利于玻璃在封接界面的流动和铺展,封接气密性较差,同时,晶体的析出可能伴随着晶型转变从而在封接处产生应力。
复合型玻璃是在低熔点玻璃成分中添加低膨胀的晶态粉末或玻璃粉末而构成的复合材料。它们通过外加骨料来调节玻璃的力学性能及热学性能使其能满足封接需求。
相比于非结晶型玻璃,结晶型玻璃在制备和烧结过程中可能出现晶体的析出与晶相变化,于是可以通过调节晶体的析出类型和含量来调整玻璃的热膨胀系数从而使玻璃与被封接件的热膨胀系数相一致。同时,晶体的存在抑制了玻璃材料微裂纹的扩展,提高了其机械强度、化学稳定性及热稳定性。
1.1.2封接玻璃的性能要求
封接玻璃的性能会极大地影响封接质量及封接制品的工作能力,为达成封接玻璃与被封接件的可靠封接,就要对玻璃的密封性、化学稳定性、热稳定性及力学性能等提出要求,一般来说封接玻璃主要具有以下性能[1,7,8]:
(1)适宜的软化温度,软化温度会影响封接界面的封接效果,软化温度过高从而玻璃在加热过程中液相量少,不利于玻璃在封接界面的流动与铺展,导致气密性降低,封接强度下降,对封接件造成损害;软化温度过低会导致玻璃出现大量液相,封接过程中,液相流动对产品的表面均一性和平整性产生不利影响。所以,需要对玻璃的软化温度进行控制。
(2)与封接件匹配的热膨胀系数,封接玻璃应该与封接件的热膨胀系数相适应,并且将两者差值控制在 ± 5 %以内,最多不超过10 %,否则这种热膨胀失配就会在封接界面产生较大的应力甚至应力过大而产生裂纹。
(3)化学稳定性良好,玻璃的化学稳定性是评估其品质的重要指标,化学稳定性差,玻璃就无法投入使用,玻璃在应用过程中应该对水、酸液、碱液、细菌、气体及化学试剂等有优异的抵抗能力。
1.1.3封接玻璃的应用
封接玻璃广泛应用于电真空技术,微电子技术,5G技术等领域。
金属基印刷电路板(MCPCB)主要由电路层、绝缘层和金属基层这三部分构成。其中,电路层一般为导电性能良好的Ag、Cu、Au等金属;绝缘层要求热阻小、绝缘性能好、抗热震性好以及与电路层和金属基层的热膨胀系数相适应等;金属基层则采用热导率高的金属以便散热。与压层工艺制备MCPCB基板相比,以丝网印刷工艺制备MCPCB基板,工艺简单、生产效率明显提高。而丝网印刷所使用的导电浆料,一般需要加入低温封接玻璃粉作为粘结相,且玻璃的封接温度、热膨胀系数、导电系数、机械强度会直接影响器件的生产、密封性及使用寿命等[9]。
图1.1金属基印刷电路板(MCPCB)示意图
以上是毕业论文大纲或资料介绍,该课题完整毕业论文、开题报告、任务书、程序设计、图纸设计等资料请添加微信获取,微信号:bysjorg。
相关图片展示:







您可能感兴趣的文章
- 改善锂离子电池中硅基负极存储性能的策略研究外文翻译资料
 - 通过添加压电材料BaTiO3提高大功率锂离子电池的微米级SiO @ C/CNTs负极的电化学性能外文翻译资料
 - Pd和GDC共浸渍的LSCM阴极在固体氧化物电解池高温电解CO2中的应用外文翻译资料
 - 利用同步回旋加速器粉末衍射的方法来研究在有其他物相的情况下C4AF的水化作用外文翻译资料
 - 外国循环流化床锅炉发展现状外文翻译资料
 - 含石蜡基复合材料的多壁碳纳米管的热性能外文翻译资料
 - 矸石电厂炉渣机制砂的应用研究外文翻译资料
 - 机动车螺旋弹簧的失效分析外文翻译资料
 - 从废阴极射线管和锗尾矿制备高强度玻璃泡沫陶瓷外文翻译资料
 - 作为导热液体的液态金属在太阳能储热中的应用外文翻译资料
 

        
            
