NiLa配比对Ni-La-OyNaCl催化重整乙酸乙酯制氢性能的影响毕业论文
2020-07-07 21:58:12
摘 要
本课题采用浸渍法制备了不同Ni/La摩尔配比的NimLanOy/NaCl催化剂,研究了Ni/La摩尔配比对催化剂结构和性能的影响。采用BET技术测定了载体的比表面积,并用X射线衍射、扫描电镜、透射电镜等表征手段分析了催化剂的结构性质。实验结果表明:当反应温度为650°C时,Ni4La6Oy/NaCl催化剂表现出最佳的催化性能,乙酸乙酯转化率为99.6%,氢气选择性为84%。适当的增加Ni的含量,能够提升催化剂的H2选择性。XRD测试结果表明,La与NaCl之间的强相互作用使催化剂表面生成了LaOCl新物相。结合XRD和SEM结果可知,在催化剂中LaOCl的含量随着La含量的增加而增加。H2-TPR结果表明,催化剂中存在NiO,LaNiO3和LaOCl三相,具有较好的氧化还原性能。此外,载体NaCl和LaOCl,NiO之间存在相互作用。
关键词:重整制氢;Ni-La-Oy/NaCl催化剂;Ni/La配比;乙酸乙酯
Influence of Ni/La Ratio on Performance of Ni-La-Oy/NaCl Catalytic Reforming Ethyl Acetate Hydrogen Production
Abstract
In this work, NimLanOy/NaCl with different Ni/ La molar ratios catalysts were prepared by hydrothermal method. The effect of the Ni/La molar ratio on the structure and properties of the catalysts were investigated. The specific surface area of the carrier was measured by BET technique. The results of X-ray experiment showed that the Ni4La6Oy/NaCl catalyst showed the best catalytic performance when the reaction temperature was 650°C. At the same time,the conversion of ethyl acetate was 99.6%, and the H2 selectivity was 84%. Appropriately,with the increasing of Ni content, the H2 selectivity of the catalyst will improve. XRD test results show that,because of the strong interaction between NaCl and La, a new LaOCl phase was produced on the catalyst surface. In addition,the XRD and SEM results indicate that the content of LaOCl in the catalyst lead to the increase of the Ni content. The results of H2-TPR show that the NiO, LaNiO3 and LaOCl phases which present in the catalyst have good redox properties. In addition, there is an interaction between NaCl and LaOCl, NiO.
Key words:hydrogen reforming;Ni-La-Oy/NaCl catalysts;Ni/La molar ratios;ethyl acetate.
目录
摘要 I
Abstract II
第一章 绪论 1
1.1 引言 1
1.2 制氢的主要方法 1
1.3 重整制氢氢源的选择 2
1.4 重整制氢催化剂研究进展 3
1.4.1 贵金属催化剂 4
1.4.2 非贵金属催化剂 4
1.4.3 其他催化剂 7
1.5 本课题研究内容及研究意义 8
第二章 实验部分 10
2.1 实验试剂 10
2.2 实验设备 10
2.3 催化剂的制备流程 10
2.4 催化剂的表征测试 11
2.4.1 XRD 11
2.4.2 SEM 11
2.4.3 BET 11
2.4.4 H2-TPR 11
2.5 催化剂性能评价 11
2.5.1 产物分析 11
2.5.2 气体选择性分析 11
2.5.3 转化率测试 12
第三章 结果与讨论 13
3.1 NimLanOy/NaCl催化剂性能测试 13
3.1.1 NimLanOy/NaCl催化剂H2选择性 13
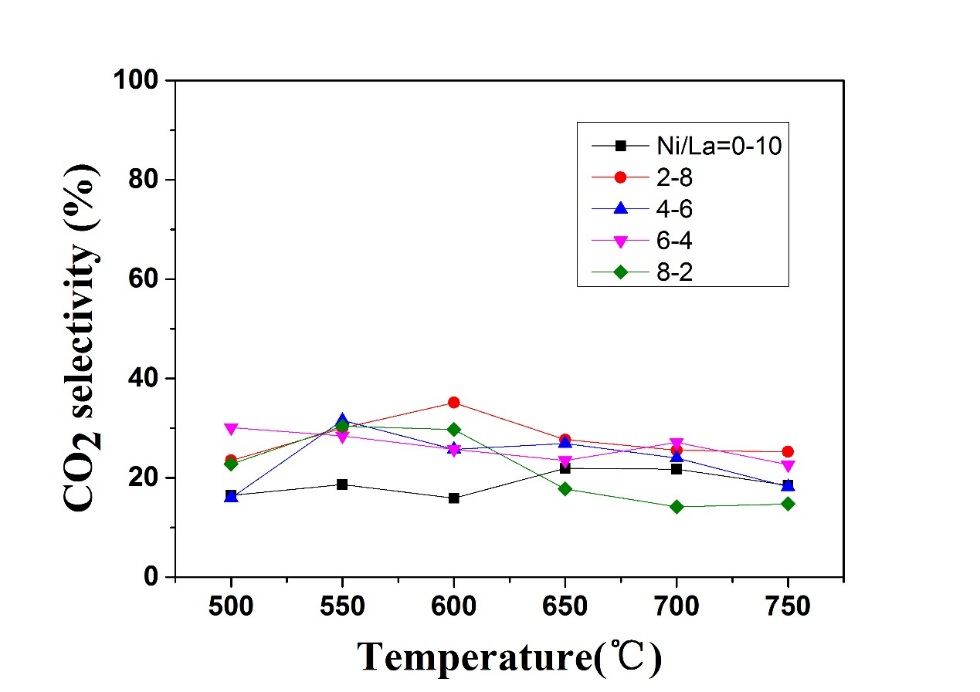
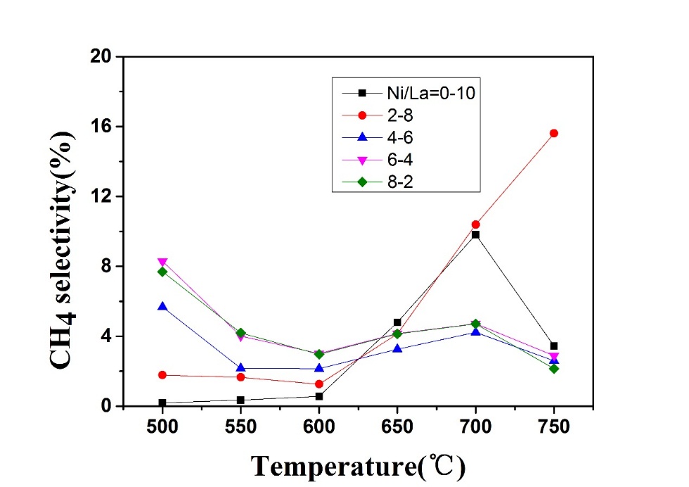
3.1.2 NimLanOy/NaCl催化剂CO,CO2和CH4选择性 13
3.1.3 乙酸乙酯转化率 15
3.2 NimLanOy/NaCl催化剂的表征结果 15
3.2.1 XRD分析 16
3.2.2 SEM和TEM分析 17
3.2.3 N4L6/N催化剂的H2-TPR曲线 19
第四章 总结与展望 21
4.1 结论 21
4.2 展望 21
参考文献 22
第一章 绪论
1.1 引言
能源与环境问题日益突出,寻找新型替代能源、研究清洁高效的能源转化途径是减少能源与环境冲突的重要手段。氢能由于具有能量密度高、燃烧零排放的特点,被视为未来主要能源,并且由于化石燃料的不可再生性,工艺的非持续性,使得开发环境友好的、可再生能源制氢工艺成为必然选择[1]。氢能在使用过程中不排放CO2和污染物,具有高能量利用效率和广泛的来源,是理想的清洁能源,因此,如何获取、储存和利用氢能是新时代急需解决的课题。在光催化实现工业化之前,以烃类或含氧化合物作为氢源来重整制氢是一条可行的路径,不仅实现了水中取氢,而且产生的CO2易于捕集[2-4]。
相关图片展示:







您可能感兴趣的文章
- 改善锂离子电池中硅基负极存储性能的策略研究外文翻译资料
 - 通过添加压电材料BaTiO3提高大功率锂离子电池的微米级SiO @ C/CNTs负极的电化学性能外文翻译资料
 - Pd和GDC共浸渍的LSCM阴极在固体氧化物电解池高温电解CO2中的应用外文翻译资料
 - 利用同步回旋加速器粉末衍射的方法来研究在有其他物相的情况下C4AF的水化作用外文翻译资料
 - 外国循环流化床锅炉发展现状外文翻译资料
 - 含石蜡基复合材料的多壁碳纳米管的热性能外文翻译资料
 - 矸石电厂炉渣机制砂的应用研究外文翻译资料
 - 机动车螺旋弹簧的失效分析外文翻译资料
 - 从废阴极射线管和锗尾矿制备高强度玻璃泡沫陶瓷外文翻译资料
 - 作为导热液体的液态金属在太阳能储热中的应用外文翻译资料
 

        
            
