锅炉液位监控系统设计毕业论文
2020-06-17 21:41:23
摘 要
随着我国工业自动化水平的不断发展,作为工业化发展的桥梁与支撑,自动控制领域也面临诸多的难题与挑战。当前,在我国工业生产运行的锅炉汽包液位控制系统中,依旧普遍存在着自动控制水平不高、安全性能和可靠性能偏低,自动化工作效率和工业环境污染低于国家所规定的标准。如何保障我国工业化进程中锅炉液位系统的安全、稳定、高效运行,成为当前研究的一个重要课题。因此,实现锅炉汽包液位的计算机自动控制,对我国的工业发展和人民生活水平的提高都具有重要的意义。
锅炉是工厂里的一种生产蒸汽的装置设备,在工厂中发挥着无法替代的作用。如果锅炉的液位低于标准值,容易烧坏锅炉,然后发生严重的生产事故;如果锅炉的液位高于标准值,容易水蒸气中带有部分升华不了的水,然后会出现水溢出的风险。因此,在运用锅炉的生产工程中,确保液位在正常的标准值是必不可少的一项工作。
本设计是基于Matlab与MCGS组态软件基础之上,实现的一种较为全新的设计,采用Matlab的PID算法和MCGS可视化效果相结合的方式,建立Matlab和MCGS之间的动态数据交换DDE通信,采用三冲量锅炉汽包液位的控制策略,达到较为理想的控制效果,对锅炉汽包液位的三冲量控制系统实现监控。
关键词:Matlab;MCGS;DDE;三冲量;锅炉
Abstract
With the continuous development of China's industrial automation level, as the bridge of industrial development and support, automatic control areas are also facing many problems and challenges. At present, in China's industrial production and operation of the boiler drum level control system, there are still widespread high level of automatic control, safety performance and reliability is low, the efficiency of automation and industrial pollution is lower than the national standards. How to ensure the safe, stable and efficient operation of the boiler level system in the process of industrialization in our country has become an important subject of current research. Therefore, to achieve the boiler drum level of computer automatic control of China's industrial development and people's living standards are of great significance.
Boiler is a factory in the production of steam equipment and equipment in the factory can not replace the role. If the boiler level below the standard value, easy to burn the boiler, and then a serious production accident; if the boiler level above the standard value, easy to water with some sublimation of water, and then there will be water overflow risk. Therefore, in the use of the boiler production process, to ensure that the liquid level in the normal standard value is essential for a job.
This design is based on Matlab and MCGS configuration software based on the realization of a relatively new design, using Matlab PID algorithm and MCGS visualization of the combination of the way, the establishment of Matlab and MCGS dynamic data exchange between the DDE communication, The control strategy of the three - impulse boiler drum level is adopted to achieve the ideal control effect, and the three - impulse control system of the boiler drum level is monitored.
Key words: Matlab; MCGS;DDE; Three impulse; boiler
目录
摘 要 1
第一章 绪论 1
1.1设计目的与背景 1
1.2锅炉的基本概况 1
1.3锅炉液位控制系统的发展与现状 2
1.4本文设计的内容 3
第二章 锅炉汽包液位的动态特性分析与控制方法 5
2.1锅炉汽包液位的动态特性分析 5
2.1.1锅炉汽包液位动态平衡分析 5
2.1.2锅炉给水流量扰动对锅炉液位的影响 5
2.1.3锅炉蒸汽流量扰动对锅炉液位的影响 6
2.2锅炉汽包液位控制方法 7
2.2.1单冲量控制 7
2.2.2双冲量控制 8
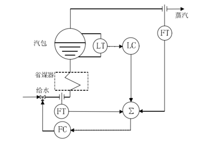
2.2.3三冲量控制 9
第三章 PID控制理论分析与锅炉汽包液位PID的控制 12
3.1 PID控制器的简述、结构、优缺点 12
3.1.1 PID控制器的简述 12
3.1.2 PID控制器的结构 13
3.1.3 PID控制器的优缺点 14
3.2 PID参数整定 15
3.2.1凑试法确定PID调节参数 15
3.2.2实践经验法确定PID调节参数 15
3.3锅炉汽包液位PID控制系统的建立 16
3.3.1单冲量PID控制系统 16
3.3.2双冲量PID控制系统 17
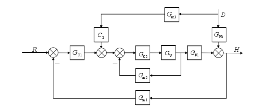
3.3.3三冲量PID控制系统 18
3.3.4三种控制系统的比较 20
第四章 MCGS锅炉组态设计 23
4.1 MCGS简介 23
4.1.1 MCGS组态软件 23
4.1.2 MCGS组态软件的系统构成 23
4.1.3MCGS组态软件的功能与特点 25
4.1.4MCGS组态软件的工作方式 25
4.2 MCGS锅炉液位监控系统的设计 25
第五章 Matlab与MCGS通信设计 28
5.1动态数据交换DDE技术 28
5.2 MCGS中DDE设置 28
5.3Matlab/Simulink仿真及DDE连接 30
5.4系统运行调试 32
第六章 总结与展望 36
6.1总结 36
6.2展望 36
参考文献 38
致谢 39
第一章 绪论
1.1设计目的与背景
我国的工业自动化目前正处于飞速发展的时期,锅炉所涉及自动控制研究领域,也正处于发展的高潮阶段。当前,在我国工业生产运行的锅炉汽包液位控制系统中,依旧普遍存在着自动控制水平不高、安全性能和可靠性能偏低,自动化工作效率和工业环境污染低于国家所规定的标准[1]。如何保障我国工业化进程中锅炉液位系统的安全、稳定、高效运行,成为当前研究的一个重要课题。因此,实现锅炉汽包液位的计算机自动控制,对我国的工业发展和人民生活水平的提高都具有重要的意义。
锅炉是化工厂的一种生产蒸汽的装置设备,在化工厂中发挥着无法替代的作用。如果锅炉的液位低于标准值,容易烧坏锅炉,然后发生严重的生产事故;如果锅炉的液位高于标准值,容易水蒸气中带有部分升华不了的水,然后会出现水溢出的风险。因此,在运用锅炉的生产工程中,确保液位在正常的标准值是必不可少的一项工作。
目前,仍然有很多工作运行人员把锅炉的液位控制投入了太多精力,但是受到经验等各方面的影响,控制效果不佳。若锅炉汽包的液位实现了自动控制,而且选用安全、高效和可靠性高的控制策略,则人力资源可以大大减少了,同时可以提高锅炉运行的环境也被大大提高了。
1.2锅炉的基本概况
确保能量正常的相互转换是锅炉所承担的主要“职责”。工作状态时的锅炉,能量转换无时无刻在发生着,高温水、饱和蒸汽等被锅炉输出了。饱和水蒸汽和高温水被引出锅炉加热系统,就会应用于工业生产和人们的日常生活。现如今,随着科技的发展和人们环保观念的提高,锅炉的发展趋势已经开始向能耗小、无污染、无噪音和热效率高的方向发展[2]。
相关图片展示:









