单双向拉伸载荷下硅橡胶力学性能实验研究毕业论文
2020-02-18 10:03:58
摘 要
橡胶材料由于其独特的力学性能,正在各行各业发挥着重要作用,渗透到了国民的日常生活中。但是由于橡胶材料本身的不可压缩性和双重非线性,导致其力学性能并不想金属材料那样轻松描述,而是需要大量的实验提供数据。
近些年来国内外学者因为双轴拉伸实验成本高,单轴拉伸实验更为简单方便,所以多数采用单轴拉伸实验对橡胶构件进行性能测试,但是在实际应用中橡胶材料并不只处于单轴拉伸状态,所以对于橡胶材料复杂的力学性能,单轴拉伸实验能否完全描述是有待验证的。
本文研究的主要内容:利用实验室常见的单轴拉伸实验机,自行设计双轴拉伸实验机构,利用该机构进行单轴双轴拉伸试验,降低双轴拉伸实验成本。通过采集单轴拉伸和双轴拉伸实验数据,为有限元软件计算提供数据,验证通过单轴拉伸实验数据所计算的不同本构模型参数能否准确预测双轴拉伸状态下力学性能。结果表明通过单轴数据计算本构模型参数预测双轴拉伸下的力学性能可靠性不佳。
关键词:橡胶材料;单轴拉伸;双轴拉伸;夹具;有限元分析
Abstract
Due to its unique mechanical properties, rubber materials are playing an important role in all walks of life and penetrate into the daily life of the people. However, due to the incompressibility and double nonlinearity of the rubber material itself, its mechanical properties are not as easy to describe as metal materials, but a large number of experiments are required to provide data.
In recent years, domestic and foreign scholars have high cost and the uniaxial tensile test is more convenient because of the high cost of biaxial stretching experiments. Therefore, most of the uniaxial tensile tests are used to test the performance of rubber components, but in practical applications, rubber materials are not only in the actual application. The uniaxial tension state, so for the complex mechanical properties of rubber materials, whether the uniaxial tensile test can be fully described is yet to be verified.
The main content of this paper is to use the common uniaxial tensile test machine in the laboratory to design the biaxial tensile test mechanism and reduce the biaxial tensile test. By collecting uniaxial tensile and biaxial tensile experimental data, providing data for finite element software calculation, verifying whether different constitutive model parameters calculated by uniaxial tensile experimental data can accurately predict the mechanics under biaxial tensile state performance.
Key words: rubber material; uniaxial stretching; biaxial stretching; fixture; finite element analysis
目 录
第一章 绪论 1
1.1橡胶实验分类 1
1.2针对橡胶材料实验的意义 1
1.3 橡胶材料的本构模型 2
1.4 橡胶双向载荷力学性能研究现状 3
1.5 本文研究内容 6
第二章 实验装置设计与橡胶单向拉伸实验 7
2.1 双向拉伸实验装置设计 7
2.1.1实验平台 7
2.1.2双向拉伸装置设计 7
2.2 单向拉伸试验 9
2.2.1试样设计 9
2.2.2 载荷和应变的采集 10
2.2.3实验加载方案 12
2.3 硅橡胶单向拉伸试验结果分析 12
2.4 单向拉伸本构模型 15
2.5本章小结 17
第三章 双向拉伸实验 18
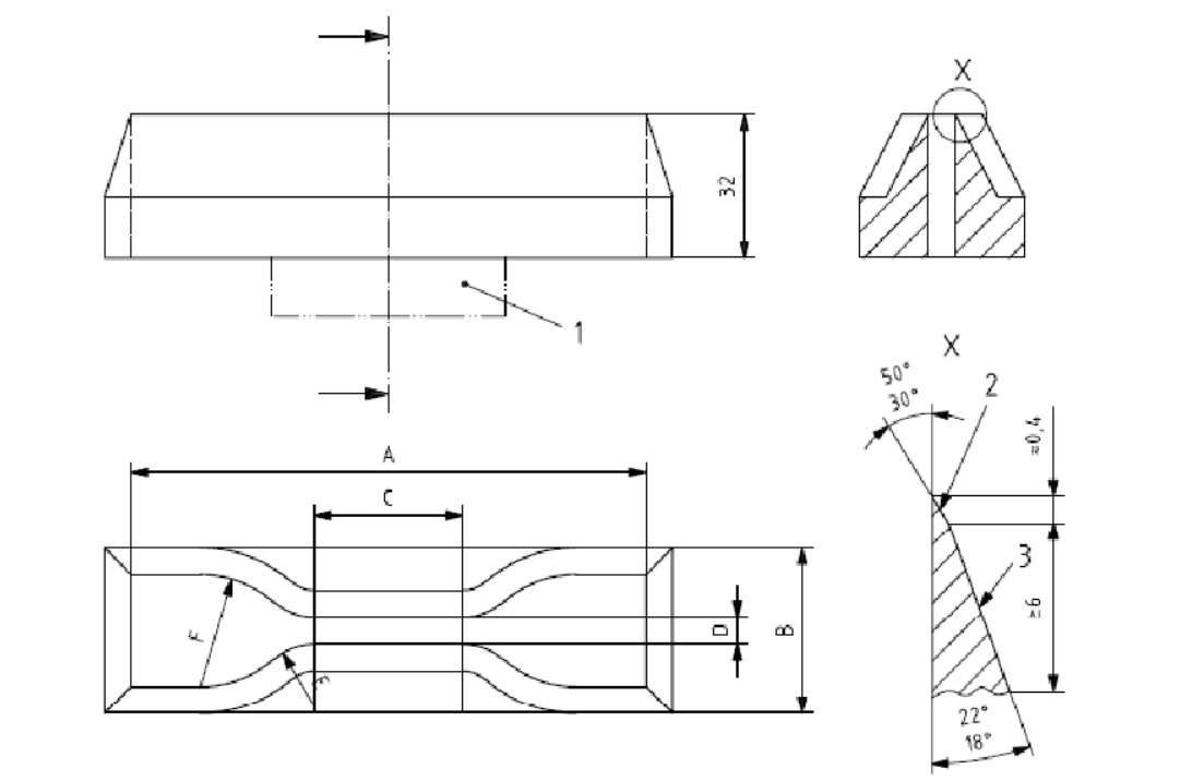
3.1 双向拉伸试样设计 18
3.2双轴实验测量与实验计算 19
3.3 测试结果分析 21
3.4双轴拉伸实验过程 25
3.5实验结果 25
3.6本构模型分析 27
3.7本章小结 33
第四章结论与展望 34
4.1主要结论 34
4.2未来展望 34
参考文献 35
致谢 37
第一章 绪论
1.1橡胶实验分类
在国际上,橡胶的实验种类很多,从宏观上描述,大致分为了下面三大类:化学分析,仪器分析,物理性能试验。化学分析硅橡胶材料的本质就是测定其本身所包含的各类化学成分。诸如杂质比例、氮碳铜等元素含量等等。仪器分析橡胶材料包含多种观测方式,诸如光谱色谱、显微方法等等。而物理实验则包含很多,仅在力学性能范围内就包含粘弹性试验,疲劳性能试验,低温性能试验,摩擦与磨耗性能试验等等。
上述的前两大类实验方法,都不是我们所要探讨的天然橡胶实验方法,本文将要着重探讨的是第三类橡胶实验——物理性能试验中的拉伸性能试验。
在物理性能实验方面,描述橡胶材料的基础实验有8种:单轴拉伸和压缩实验,双轴拉伸和压缩实验,平面拉伸和压缩(纯剪)实验以及测定体积变化的实验(拉或压)。在长期的研究和实验发现从单轴拉伸,双轴拉伸,平面拉伸及体积压缩实验中能够获得足够精确的实验数据。因此,目前为止,国际上定义橡胶材料力学行为的实验为:单向拉伸、双向拉伸、平面剪切及体积压缩。这其中双轴拉伸是本文研究的最重点。
1.2针对橡胶材料实验的意义
橡胶具有在弹性方面有着不俗的表现,同时还具备了不透水和耐腐蚀两大优异的特性,这使得它在工业方面广受好评。但是在工业生产中天然橡胶材料并不能满足需要,所以需要对橡胶生胶重新进行工业制作,加入一些填料进去,并对加工后的橡胶材料进行硫化。而硫化这一方法会使橡胶材料本身的力学属性产生变化,这样橡胶材料的强度等力学性能会产生变化,以此来使它的抗破坏能力增强。
橡胶材料能够再被破坏或者产生永久性变形之前承受非常大的应变,这意味着它具备良好的弹性性能,并且工程材料中橡胶材料的弹性模量较小,更容易产生变形。同时结合它所具备的热稳定性耐腐蚀性,使得橡胶材料在许多行业应用非常广泛。
与同样被广泛应用的具有线弹性属性的金属材料不同,橡胶的物理特性以及力学性能不能仅仅用较少的参数来进行表征,因为两者的变形量并不是一个量级。橡胶的特性是十分复杂的。不仅仅是变形量,相较于金属材料的能够在不同的复杂环境下工作同时性能几乎不受影响,对于橡胶材料来说,应变量的大小,力的加载速度,重复拉伸的应变历史,工作介质乃至工作温度都会对橡胶材料的力学性能产生影响。同时橡胶材料本身的制作过程以及本身材料的构成也对力学性能产生了不可小觑的影响。正是这种敏感导致橡胶材料力学性能的描述是个复杂的工程[3]。
橡胶材料具有几个比较显著的特征,第一是几何特性与材料属性的高度非线性,第二是由于橡胶类材料在受力状态下整体的体积变化十分微弱,所以可以认定橡胶材料具有不可压缩性,第三是橡胶材料的各向同性。
随着科学技术的不断发展,橡胶材料的需求在不断的增加。但是由于橡胶材料本事复杂的力学性能,所以针对橡胶材料的强度问题更需要大量的实验研究,对于其力学性能的精准描述也显得更加突出。现阶段对于橡胶材料的力学性能描述,大多数科研学者和工程应用只针对橡胶材料国标单轴试样进行拉伸试验和数据收集。但是在实际的橡胶材料应用中可以明显发现其力学状态很少处于纯的单轴拉伸状态,而更多地接近双轴拉伸或平面拉伸状态[3]。所以本文的目的就在于确认单轴拉伸试验状态所采集的数据进行多个本构模型拟合后,是否能够成功预测双轴拉伸实验状态下的力学性能。倘若选择正确的本构模型完成双轴拉伸数据的预测将会大大降低橡胶材料力学性能的描述难度,而若是本构模型对双轴拉伸状态的预测精准度不高则可以为工程处理积累经验排除错误。
1.3 橡胶材料的本构模型
橡胶材料本身具有超弹性。这就意味着橡胶材料的应力应变关系不再是简单的线性对应,而是由弹性势能函数所决定的。所以研究橡胶材料的力学性能,寻求一个合理的应变能函数关系来正确描述它的本构模型成为重中之重[3]。一个有效的超弹性模型具备以下四个特点:
(1)它能够准确地再现橡胶的‘S’形整体形状响应;
(2)变形模式的变化不存在问题,即如果模型能正确响应单轴状态,则在简单剪切或等轴拉伸时也必须正确响应;
(3)材料参数的数量应较小,以减少为了确定材料参数而进行的实验次数;
(4)数学公式对于模型的数值性能应是简单的、可行的。
常见的模型有,Mooney-Rivlin(应变能函数由应变不变量I1,I2表示),Ogden(应变能以三个主伸长率λ1,λ2,λ3表示),Yeoh(N=3时的多项式特殊形式),Neo-Hookean(N=1时的多项式特殊形式)。
1、Mooney-Rivlin模型其应变能密度函数模型为:

(1.1)
而橡胶材料的不可压缩性决定了
(1.2)
式中:i和j取自然数;N、和为材料常数,由实验确定。
2、Yeoh模型
(1.3)
其应变能密度函数模型为:
(1.4)
J 是变形后与变形前的体积比,对于不可压缩材料,J=1。典型的二项参数形式为
(1.5)
初始剪切模量μ=2C10。。
3、Ogden 模型其应变能函数为:
(1.6)
式中:和为材料常数可以取任何实数值。
1.4 橡胶双向载荷力学性能研究现状
橡胶材料的非线性弹性变形多是由于自身大分子网状结构所导致的。近些年来随着研究的深入,许多学者都通过大量的拉、压、剪切实验来对现有的本构模型进行修正补充和改良。
在本构模型方面:Liu等[3]的基于高应变能函数,研究了类橡胶材料的单轴拉伸和双轴拉伸。为验证目的,提出的本构模型已在通用有限元软件中实现。在此基础上,提出了橡胶类材料的非线性有限元分析方法。Meier等[3]研究适用于单轴拉伸试验的本构模型(Mooney-Rivlin law)是否可以用来描述双轴试验,换言之,其他加载条件下的变形情况能否通过一个特定的加载情况计算出本构模型参数来进行合理预测。同时给出了单轴和等双轴实验数据的拟合方法。此外,还介绍了一些反复拉伸试验的结果。Stanislaw等[3]的基于连续热力学理论,提出了一种适用于橡胶类材料伪弹性行为模型。此外,还提出了一个描述Mullins效应的具体模型,讨论了均匀变形,并将所得结果与Mullins和Tobinl的实验数据进行比较。综述了橡胶类材料大弹性变形的不同本构模型的需求。各种弹性体建模的出发点大多是应变能函数。为了确定超弹性材料的行为,选择橡胶弹性材料模型,利用实验获得的应力-应变曲线来确定应变能势中的材料参数。
Khajehsaeid等[3]研究了各向同性不可压缩橡胶的超弹性行为,建立了满足有效超弹性模型特性的应变能函数。所提出的应变能函数仅包含与分子网络物理量有关的三个材料参数。并将该模型的计算结果与现有模型的结果和实验数据进行了比较。Gilles等对20种橡胶材料的超弹性模型进行了比较。利用两组经典的实验数据,分析了这些模型对不同类型加载条件的响应能力。Yannick等[3]提出了填充橡胶材料的原始本构模型,目的是为了捕捉橡胶材料的各向异性软化行为。根据实验结果分析,该模型能准确地预测单轴和双向拉伸试样的应力-应变响应。在几种材料上对模型进行了有效的测试,并证明了该模型的有效性。Horgan等[3]针对各向同性的、几乎可压缩的非线性弹性材料,提出了一种简单的本构模型。根据实验数据表明,这种材料的大类拉伸之间存在幂律运动关系。得到了产生这种幂律关系的最一般的本构模型。此外,还讨论了双轴拉伸和纯剪切的行为。
而针对双轴拉伸机构,目前的研究情况则更为复杂: Brieu等[3]设计了一种适用于任何单轴试验机的新型双轴拉伸夹具,允许在平面内试样的两个主方向上进行不同载荷下的等轴和双轴拉伸试验。如图1,此夹具可以调整角度Φ的大小,可以改变横向速率的大小,从而可以实现双轴和等双轴拉伸;也可以将上、下两个夹头卸下,实现单轴拉伸。

(a)双轴拉伸夹具模型, (b)双轴拉伸夹具实物
图1.1 基于标准试验机的双轴拉伸夹具
如图2所示,Ferron等[3]和Tsai等[3]设计了等双轴拉伸夹具,可以用过单轴试验机的压缩实现两个主方向的等轴拉伸。
(a)Ferron等设计的双轴拉伸模型 (b)Tsai等设计的双轴拉伸模型
图1.2 双轴拉伸模型
如图1.3所示,Ghoreishy等[3]设计了一种用于纺织品的双轴测试机,通过一个特殊的夹紧系统来测试高应变的弹性体。该机构有独立的拉伸引擎,可以单独控制轴的速率而不用依赖于标准试验机。
(a)双轴拉伸夹具装置 (b)驱动装置
图1.3 Ghoreishy等设计的双轴拉伸装置
Hai等[3]设计了一个加载装置施加双轴载荷来研究双向加载下多孔硅橡胶的大变形的力学问题。Fujikawa等[3]提出了一种用平面内双向拉伸试验机精确估算炭黑填充丁苯橡胶在单轴拉伸、纯剪切和等轴拉伸下名义应力-应变关系的新方法。Gerlind等[3]设计了一个试验台,使用标准万能试验机,测试磁流变弹性体在加磁场和不加加磁场的等双轴张力情况下,分别对各向同性和各向异性的磁流变弹性体进行了应变测试。Seibert等[3]研究一种用于表征弹性体材料性能的双轴拉伸试验装置。Caimmi等[3]采用非线性弹性断裂力学方法,研究了双轴加载条件下应变诱导因子的取向对天然橡胶基化合物断裂韧性的影响。Pancheri等[3]提出了一种新的试验方法,并给出了天然橡胶在单轴、纯剪切和双轴拉伸下的响应数据。
但是以上的双轴拉伸试验机构设计几乎都存在问题。首先在试样拉伸过程中都会产生型心移动的现象。第二所观察的变形区域不仅发生拉伸形变,同时会产生弯曲,第三,试样在变形过程中会发生不对称变形,并且无法保证加载速度恒定。除此之外,部分机构设计只能应用于等双轴拉伸实验,这意味着将实验类型大大局限,同时双轴拉伸实验机设备需要在不同方向的不同马达产生拉力,所以价格高昂,这意味着大大增加实验的成本。还有很重要的一点就是设计不同的拉伸试验机构意味着双轴拉伸试样要和机构适配,这也会影响到试样制备的难易程度。因此需要自行设计双轴拉伸装置,以及设计与之相适配的拉伸试样。
1.5 本文研究内容
(1)设计单轴拉伸实验,得到单轴载荷下的应力应变曲线。评估三大本构模型与试验数据的拟合程度。
(2)针对实验室单轴拉伸实验机设计双轴拉伸装置,保证该装置满足可变加载比,加载过程中试样对称变形,试样变形过程中型心不移动等条件
(3)获取双轴拉伸载荷下的真实应力应变关系
(4)将基于单轴实验计算出的双轴载荷下的应力-应变曲线与双轴拉伸实验得到的应力-应变曲线对比,评价本构模型在双轴载荷下的适用性。
第二章 实验装置设计与橡胶单向拉伸实验
众所周知,橡胶试样拉伸实验最基础的实验是单轴拉伸。因为单方向的拉伸实验操作最简单,所以被广大研究者用来研究橡胶类材料的力学性能。但是仅用单轴拉伸试验数据去表达橡胶这种超弹性材料的应变能函数是否完全可靠仍有待证实,所以针对于单轴实验的研究仍需要进一步加深。倘若在合适的应变能函数下能够利用单轴拉伸实验数据去预测双轴状态以及平面拉伸状态力学性能,那么将大大降低描述橡胶材料的难度。
2.1 双向拉伸实验装置设计
2.1.1实验平台
本次试验采用的是INSTRON 2382电子万能材料试验机,此试验机的基本指标包括:
- 主机试验速度:0.001~500mm/min。
- 最大负载:±100kN。
- 载荷加载控制方式:位移,载荷。
本试验机的主要用途为测量金属的ReH(上屈服极限),ReL(下屈服极限),RP0.2(规定塑性延伸强度)等。试验机通过计算机进行操控。通过对本身夹具的改装以实现单轴,双轴拉伸橡胶试样的效果。
本实验机是力学实验室常见的万能材料试验机,但是其本身多应用于金属材料的力学性能测量,针对橡胶材料这种超弹性,大变形材料来说并不完美适用,所以要针对橡胶材料自行设计拉伸机构。
2.1.2双向拉伸装置设计
本机构基于单轴拉伸实验机设计,通过更换不同比例齿轮以达到不同加载比的效果。如图所示:1和3通过螺栓与试验机上、下连接;6为套管,轴2可以在套管里运动;4和5分别为传动装置,它是由轴承、轴和齿轮组成,更换齿轮的直径大小可以实现不同的加载比;与传动装置相配合的是一个带有槽的壳体,这就可以解决更换齿轮大小而带来的配合问题(壳体通过螺栓与底板相连);水平方向的两根轴在与其相配的滑块中运动,与竖直的轴2和轴7相连的齿条也在与其配套的滑块中运动;这四根轴的端面形心处打有螺纹孔,目的是连接数据采集系统和夹头。这样,当试验机向上运动时,通过传动装置,可以实现两个主方向上的运动,从而实现双轴拉伸。该装置使得试样变形在同一平面并且对称变形(形心不移动),这样就可以结合其它测试设备,如DIC观察变形。
以上是毕业论文大纲或资料介绍,该课题完整毕业论文、开题报告、任务书、程序设计、图纸设计等资料请添加微信获取,微信号:bysjorg。
相关图片展示:









