考虑温度影响的橡胶复合材料循环拉伸力学本构模型毕业论文
2021-12-09 17:20:23
论文总字数:24397字
摘 要
为了满足工业应用的需求,一般需要在橡胶弹性体中添加补强剂(最常用的是炭黑颗粒),以形成复合材料体系,这也大大加剧了其力学行为的复杂程度。当前针对橡胶复合材料在各种条件下单向拉伸力学性能的研究已比较多,但对于该材料在经历循环变形时的实验和理论研究还不是很完备。
鉴于此,本文拟采用实验研究和理论建模相结合的方法,利用高精度测试系统,对四种不同炭黑含量的橡胶复合材料开展不同温度下的循环拉伸加卸载力学实验,并基于较全面的实验结果,建立能描述温度影响的橡胶循环拉伸力学模型。
研究结果表明,天然橡胶与炭黑增强橡胶的大变形循环拉伸力学行为及其温度依赖性表现出明显的差异,相比于成分简单的纯天然橡胶,填充有炭黑的增强橡胶热力学性质更加复杂。依据经典的橡胶超弹性理论,选择现阶段具有代表性的三种分子网络模型对实验数据进行拟合,其中修正八链模型表现出了较好的表征能力,于是进一步立足于修正八链模型,结合分子网络重构的概念,得到了描述橡胶循环拉伸力学行为的Mullins本构模型。这种隐含颗粒体积分数和温度参数的宏观本构方程表现出了较好的适应性,应该说对于相关材料设计和工程分析具有指导意义。
关键词:炭黑填料;橡胶复合材料;超弹性;应变能密度;Mullins模型
Abstract
In order to meet the needs of industrial applications, filler agents (most commonly carbon black particles) are generally added into rubber elastomers to form a composite material system, which greatly increases the complexity of its mechanical behavior. Until now, the uniaxial tensile properties of rubber composites under various conditions have been studied intensely. However, either experimental or theoretical investigations on the cyclic deformation of rubber composites are not enough.
In view of this, in our dissertation, the experimental observations combination with the constitutive modeling are employed, using the test system with high precision, in order to conduct cyclic tensile loading-unloading experiments on four different kinds of carbon black filled rubber materials at different temperatures. And a mechanics model taking into account the influence of temperature will be established for describing the cyclic tensile behavior of rubber elastomer.
The results show that the mechanical behavior and its temperature dependence of natural rubber are obviously different from that of carbon black reinforced rubber. Namely the thermodynamic properties of rubber reinforced with carbon black are more complex than pure natural rubber. Based on the classical theory on rubber elasticity, three kinds of representative molecular network models presently are used to fit the experimental data, in which the modified 8-chain model shows a good characterization ability. Hence the model is connected with the concept of molecular network re-arrangement, and the Mullins constitutive model is obtained to describe cyclic tensile behavior for rubbers. This macroscopic constitutive equation with implicit parameters of particle volume fraction and environmental temperature agrees with the test results well. It’s able to provide some guidance to the design of relevant materials and analysis in engineering.
Key Words:;Carbon black filler; Rubber composites; hyper-elastic behavior; Strain energy density; Mullins constitutive model
目 录
第1章 绪论 1
1.1 引言 1
1.2 国内外研究现状与发展动态分析 2
1.2.1炭黑增强橡胶材料的循环变形及力学行为 2
1.2.2 炭黑增强橡胶的循环变形本构模型 4
1.3 本文工作 5
第2章 不同温度下橡胶循环拉伸力学实验 7
2.1 测试系统及橡胶试件 7
2.1.1 测试系统 7
2.1.2 试样种类和温度工况 8
2.2 橡胶复合材料的循环加卸载实验 9
2.2.1 实验方案 9
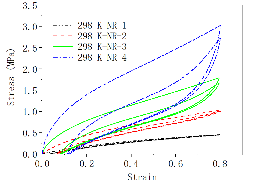
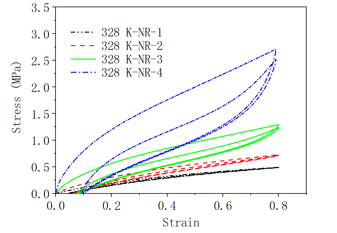
2.2.2 测试结果与讨论 9
2.3 本章小结 15
第3章 考虑温度影响的橡胶循环拉伸力学模型 17
3.1 橡胶超弹性本构理论的基本框架 17
3.1.1 应变能密度函数 17
3.1.2 现有的若干经典超弹性本构模型 18
3.2 对经典超弹性模型表征能力的考评 20
3.3 Mullins效应本构模型 23
3.3.1 分子网络重构理论 23
3.3.2 基于修正八链模型的表征结果 24
3.4 本章小结 27
第4章 总结与展望 28
4.1 全文总结 28
4.2 工作展望 28
参考文献 30
致谢 33
第1章 绪论
1.1 引言
橡胶作为三大高分子材料之一,因其独特的高弹性和良好的电绝缘性、化学稳定性和生物相容性等,在国民经济与国防军工领域当中都发挥着重要的用途。单一的纯橡胶由于分子链长、柔顺性好,表现出优异的可回复、易变形性,但其受力性能(如模量、强度、耐磨度等)相对较差。目前工业上使用的橡胶材料多为填充有增强相的复合材料(其中最常用的填料是炭黑颗粒),实践表明,炭黑填料的加入能够有效改善橡胶弹性体的在多个方面的力学表现,使之具备广泛的适应性,从而大大拓宽其应用范围[1]。炭黑增强橡胶的组成特点是:基体作为一种低模量高聚物,具有明显的大变形、超弹性特征[2];作为填料的炭黑颗粒则是一种近乎球状的无机物(其模量一般高于基体两个量级以上);两者经物理化学作用形成复合材料体系,且该体系具有组分配方的丰富可设计性[3]。
炭黑增强橡胶作为一种高分子复合材料,从宏观上看,它是各项同性且均匀的,但从细微观上看,它是非均质的多相材料,其内部结构较为复杂[4]。在现有制备工艺下,还很难确保纳米颗粒在橡胶基体中的均匀分散,由于较强的表面吸附作用,它们往往呈不规则的非均匀分布(见图1.1a),且容易形成数量、大小不一的聚集体(见图1.1b)。显然,这些微观结构的形貌特征会直接影响材料
|
|
(a)填充N600炭黑的氯丁橡胶(7%) | (b)填充N351炭黑的天然橡胶(9%) |
图1.1 两种炭黑增强橡胶的微观结构形貌[4](透射电镜照片) | |
的细观变形机理,进而影响宏观力学行为。橡胶制品经常在不同的载荷条件下使用,因此人们希望探索清楚决定其宏观响应的微细观因素,从而在材料设计层面实现对各项性能(尤其是力学性能)的有效控制或调节,使之满足相应需求。然而由于该体系的内部结构十分复杂,且基体与填料的物理性质差异很大,导致其在外载作用下的变形演化与发展机制也相当复杂,这就给微观结构与宏观响应的定量关系构建带来了困难,这至今仍是橡胶工业界和学术界关注的前沿研究方向之一。
同时,就力学性能而言,以往的国内外研究多集中于考察常温下橡胶复合材料的大变形、超弹性,近年来才逐渐关注变温条件下的力学响应特征。事实上,橡胶制品在服役过程中往往遭遇不同的环境温度,且伴随有热载荷的产生(如轮胎的滚动过程就是一个各部位胶料处于内部温度场的热力耦合问题),而温度变化对橡胶基体的影响十分显著,炭黑增强相的引入更是极大加剧了其宏细观力学及温度相关特性的复杂程度。在热、力载荷的共同作用下,炭黑增强橡胶的结构与性能会发生什么样的变化?这无疑是推动该材料进一步实用化需解决的一个重要基础科学问题,但目前相关的报道还比较少,人们对此的认识尚未达到有效指导工程开发的程度。对于炭黑增强橡胶受温度影响的宏细微力学问题,特别是针对热、力载荷作用下的不同变形发展模式、性能演变规律以及宏细观本构关系,还有必要作深入系统的考察研究,并揭示相关机理,以便为这类材料的组分设计和需求评估提供更坚实的指导基础。
1.2 国内外研究现状与发展动态分析
1.2.1炭黑增强橡胶材料的循环变形及力学行为
橡胶材料在很多场合都会经历复杂变形和循环载荷,且基体与填料之间、填料与填料之间的相互作用也会随加卸载状况和服役环境发生变化,进而影响其总体性能。就这个角度而言,开展循环变形工况下的力学行为与响应研究是十分必要的,橡胶材料的几类典型非弹性效应,如迟滞损耗、应力软化、疲劳失效等,都与其承受循环加卸载以及相伴随的内部耗散、损伤密切相关。迟滞损耗(滞后损失)是指橡胶试样经历加卸载过程损耗的能量与加载所消耗的能量之比[5](通常用百分数作为单位),它一定程度反映了材料的黏弹性特征。Mullins效应也称为应力软化效应[6-7],其特点(如图1.5所示)可主要概括为:对橡胶试样进行拉伸时,第一次达到某一伸长比所需的应力总是大于再次拉伸所需的应力。值得注意的是,即便将材料放置一段时间后再进行拉伸,其应力应变曲线也不能完全恢复。
|
图1.5 橡胶材料Mullins效应的示意[7] |
为探索清楚橡胶弹性体循环拉伸力学性能,过往不少学者对该材料的迟滞损耗和Mullins效应进行了研究。Kucherskii[8]测定了炭黑填充橡胶在小变形和大变形阶段的单次加卸载曲线,据此总结了迟滞损耗效应随颗粒体积含量和分散性的变化趋势。Dorfmann等[9]通过对三种不同组分的炭黑增强橡胶实施周期性单轴拉伸实验,分析了应力软化和残余应变累积量随载荷幅值的变化规律。Beatty[10]对比了橡胶弹性体在等双轴作用和纯剪切作用下的Mullins效应,并发现在同一变形量下,纯剪切中的应力软化程度远小于由等双轴引起的应力软化程度,仅略大于单轴变形引起的应力软化程度。国内方面,王鹭、杨晓翔等[7, 11]选取一系列不同炭黑填充分数的天然橡胶开展循环变形实验,从拉伸速率、恢复时间以及炭黑含量等多个方面探讨了增强橡胶的Mullins效应及其影响因素。当然,以上针对橡胶各类循环变形过程和非弹性力学特征的研究均未涉及温度因素,这方面仍然是值得继续探究的课题。
近年来,尽管数量不多,但逐渐有人开始关注温度依赖的循环拉伸力学研究。Lion等[12]在0℃至100℃范围内对炭黑填充橡胶进行了单向拉伸循环加卸载和多步松弛循环加卸载实验,对比了不同应变率下的应力应变曲线与松弛响应曲线。Rey等[13]选取不含炭黑的纯硅橡胶与含炭黑的填充硅橡胶,实施了不同温度下的循环加卸载实验和应力松弛实验,探讨了温度对这两种材料的超弹性应力、Mullins效应和迟滞损耗的影响。黄丽红、杨晓翔等[14]从循环拉伸角度出发,考察了温度对天然/丁苯共混橡胶平衡迟滞和应力松弛效应的影响。沈诗鸣、肖锐等[15]从循环压缩角度出发,考察了温度对氟橡胶黏弹特性和Mullins效应的影响。这些工作为进一步研究温度影响下炭黑增强橡胶的应力软化、黏弹性松弛、能量耗散等提供了新的参考,然而若要全面揭示这类复合材料宏观热力响应与微观组织结构演化之间的关系,还需积累更多充足完备的实验数据和结论。
1.2.2 炭黑增强橡胶的循环变形本构模型
除实验手段外,人们也一直致力于从理论角度描述橡胶复合材料的结构与性能关系,并试图考察其热力耦合响应。由于橡胶力学行为的复杂性,理论模型往往侧重于描述其中一个或几个主要特征,其中非线性超弹性是最基本的力学行为特征,因此在研究温度影响下炭黑增强橡胶的循环拉伸力学行为时,应首先正确表征其非线性超弹性,再在此基础上引入温度变化和循环载荷等考察因素。
1.2.2.1 橡胶大变形超弹性本构理论
在橡胶材料大变形、超弹性的表征方面,目前已经提出了许多的理论模型[16]。根据建模思路和方法的不同,这些本构模型可大致分为两类:一类是唯象模型,另一类是分子网络模型。唯象模型主要基于材料的各向同性假设,构造合适的应变能函数,如Yeoh模型、Mooney-Rivlin模型、Gent模型和Ogden模型等。分子网络模型则是从链状分子的统计特征出发,分析、建立与橡胶宏观力学量之间的联系,包括高斯网络模型(如Neo-Hooke模型,适用于小变形)和非高斯网络模型(如三链模型、四链模型和八链模型,适用于大变形)。从橡胶超弹性理论的发展历程来看,其本构建模研究存在两个比较明显的转折:起初人们基于橡胶分子链的统计力学,探讨熵弹性的本质,陆续构造了早期的高斯网络模型和非高斯网络模型[17];此后随着连续介质力学的迅速发展,唯象模型因数学形式简单且具有不错的表征能力,在很长一段时间内成为橡胶理论分析的主流工具,直至现在仍发挥着重要作用;到上世纪 90年代初,Wu和Van der Giessen提出了简化的全链网络模型[18]、Arruda和Boyce提出了八链网络模型[19],两者的出现使得关注分子统计特征的超弹性模型重新占据了该领域研究的中心位置。大量考评结果表明,八链模型及其修正形式[20]是目前综合而言实用性和认可度最高的橡胶材料模型,可以很好的表征各种变形状态和模式。当然必须指出,这些经典的超弹性本构理论关注的都是宏观层面的橡胶总体力学响应,而并未直接讨论其炭黑增强效应或温度相关性规律。
1.2.2.2 表征循环变形过程的Mullins本构模型
如前所述,橡胶材料在承受循环加卸载的过程中会呈现明显的应力软化,即Mullins效应。自从该现象被发现以来,学者们就不断对这种独特的历史依赖性展开机理研究,形成了各种解释观点。在借助本构理论表征Mullins效应方面,较具有代表性的一种做法是引入损伤参量,从数学上提出唯象表达式(而不过多考虑其物理含义),Palmieri等[21]据此得到了所谓的伪弹性模型,可用于描述单、双轴往复作用下的Mullins效应。基于填充硅橡胶的实验数据,Machado等[22]对比了不同性能参数的损伤模型在单轴、等双轴和平面循环加载下的描述情况。Ayoub等[23]依据聚合物链的空间取向分布,确定了不同方向的应变能密度函数,进而得到可描述循环荷载作用下Mullins效应及其演化的本构模型,Chagnon等[24]还在此基础上提出了一种利用Mullins效应来诱导应力各向异性的新方法。付宾、杨晓翔等[25]用Edwards管模型描述分子链间的相互作用和约束,引入应变放大因子来考虑炭黑含量的影响,并在修正三链模型的基础上结合Marckmann和Tomita等提出的分子网络重构概念[26-27],提出了一种适合表征橡胶复合材料Mullins现象的细观本构模型。
请支付后下载全文,论文总字数:24397字
相关图片展示:










