单晶悬臂式压电俘能器能量输出特性研究毕业论文
2020-02-19 19:24:30
摘 要
随着社会的发展,我们对电源的要求越来越多了,比如我们需要便携式、移动式环保的电源,在我们日常生活中最常见的供能装置常是化学能电池塔往往,占了较大的重量和体积,并且普通化学能电池所能提供的电能有限,需要定期对其更换和维护,给生产过程带来了极大不便,降低了生产效率。报废的电池中含有大量重金属,废酸,废碱等电解质溶液,会严重损害水源,土地,对生态环境造成了非常严重的污染,这些就会真真实实的危害我们的健康,压电俘能器的应用完全避免了使用传统供能装置的弊端,基本上对环境没有影响,因为压电俘能器的能量将环境中的能量转化电能,结构简单,真正实现了能源的绿色无害化。而本文将以单晶悬臂梁压电俘能器为研究对象,并进行数学建模和仿真分析等工作。
本文研究了单晶悬臂式压电俘能器。通过建立它的理论模型,在经过数值分析得出压电振子的主要结构参数,压电材料参数与压电能量采集器输出性能的关系。单晶悬臂式压电俘能器能量输出特性研究。
关键词:压电俘能器;理论模型;仿真分析
Abstract
With the development of society, we have more and more requirements for power supply. For example, we need portable, mobile and environmentally friendly power supplies. The most common energy supply devices in our daily life are often chemical energy battery towers, which account for The large weight and volume, and the ordinary chemical energy battery can provide limited power, need to be replaced and maintained regularly, which brings great inconvenience to the production process and reduces production efficiency. The scrapped batteries contain a lot of heavy metals, electrolytes such as waste acid and waste alkali, which will seriously damage the water source and the land, causing very serious pollution to the ecological environment. These will really harm our health and piezoelectric capture energy. The application of the device completely avoids the disadvantages of using the conventional energy supply device, and basically has no influence on the environment, because the energy of the piezoelectric energy harvester converts the energy in the environment into electrical energy, the structure is simple, and the green energy of the energy is truly realized. In this paper, the single crystal cantilever beam piezoelectric energy harvester is taken as the research object, and mathematical modeling and simulation analysis are carried out.
In this paper, a single crystal cantilever piezoelectric energy harvester is studied. Through the establishment of its theoretical model, the main structural parameters of the piezoelectric vibrator, the relationship between the piezoelectric material parameters and the output performance of the piezoelectric energy harvester are obtained through numerical analysis. Study on energy output characteristics of single crystal cantilever piezoelectric energy harvester.
Keywords: piezoelectric energy harvester, theoretical model, simulation analysis
目 录
第1章 绪论 1
1.1 引言 1
1.2 压电发电技术的研究现状 2
1.3本课题的研究目标和研究内容 3
1.4典型的压电振子结构形式 4
1.5 压电振子的振动模式 5
第2章 单晶悬臂梁式俘能器理论建模 6
2.1 引言 6
2.2 单晶片悬臂梁式俘能器的理论建模 12
2.3 单晶悬臂梁式压电俘能器的数值分析 15
第3章 单晶悬臂梁式俘能器仿真分析与理论验证 16
3.1 压电结构与电路耦合的有限元仿真 16
3.2 负载阻抗的仿真分析 18
3.3 理论模型与相关研究结论的比较 19
第4章 环境与经济性评估 20
第5章 结论与展望 21
5.1 结论 21
5.2 研究与展望 21
参考文献 23
致谢 24
第1章 绪论
1.1 引言
近年在机电研究领域领域,出现了一种新的技术-微机电系统,简称MEMS。它具有体积小,微型化程度高,高度集成等优点,广泛应用于各行各业,大到国防,航空航天,小到通信传输,交通控制,家庭中的应用[ 1 ]。
传统化学能电池作为供能电池,常常存在着许多的缺陷,由于本身微系统中电源装置占用了很大的重量和体积,因而造成了许多显而易见的问题,如占用空间较大,能提供的能量有限,定期维护或更换不方便,更重要的是不符合现在提倡环保的要求,而微机电系统本身的移动性,自控性,高度集成的特点要求它的能源元器件要朝着小型化,尽可能微型的方向去发展。目前来说,应用于微机电系统的能源按照能源划分[ 2 ],可分为:微型太阳能电池,微型燃料电池,微型化学能电池,微型温差电池。
微机电能源本身具有的众多优点,使得将其应用于人们日常生活的愿望更加迫切,而要使微机电产品真正实用化,广泛商业化,需要制造出与传统产品相比更有益的性能,体积小,功率密度高于原先产品的能源元器件是重中之重。
研究过程中,人们意识到振动能作为最常见易得的能量表现形式,具有先对而言较为稳定的能量密度。如交通工具驶过桥梁,工厂大型机械工作时产生的振动,人口密度集中,建筑较多密集的城市中也存在一定程度上的振动。因此一个想法应用而生,如在这些地方布置合理的换能装置,将环境中存在的振动能转变为驱动微机电系统的电能,便能满足人们的需求,这种装置被称为俘能器,其作用就是将环境中存在的能量形式转变为供自己使用的能源,一般来说,获取能量的形式并不是单一的,从各种各样的能量形式中获取,主要由电磁感应,压电效应,静电作用等方面获取。各种形式都有一定的缺陷,例如由电磁感应产生的感应电压小,需要用到变压器,或者提高线圈圈数,或者提高电磁感应强度来使得感应电压升高,如要达到以上要求,需要加上额外的器件,由于微机电系统的微型要求,故不能完全满足,俘能效果不太理想。静电作用产生电压式,要求电压保持稳定,由外力驱动从而导致电容值发生变化,电荷进行流动才能产生电能,但在实际产能过程中发现,这种方式缺陷明显,静电式器件中,极板间存在空气薄膜导致较大的阻尼效应,且极板间距不能太近以防粘连,因此它的体积明显无法控制其微型化。
通过各种装置的测试发现,使用压电材料制作的具有良好的俘能效率,结构形式简单,避免了电磁感应的影响,能源产生过程中不会发热,更重要的是可以做到几乎没有污染,由于结构简单,体积好控制,可以尽可能向微型化,集成化发展,研究前景广泛。在这一领域的研究较为活跃,这种压电俘能器在需要其能源装置微型化的场景中应用广泛,如通讯,嵌入式系统,各类工程设备的安全与实时监控等需要其自供能的场合中应用广泛。
1.2压电发电技术的国内外研究现状
我国在压电俘能装置的研究相比国外较晚,处于初步研究阶段,国外研究成果表明这项技术的研究重点主要是两方面一个是关于压电振动器的结构,另一个是关于优化能量收集和更有效的器件研究的电路。
美国彭宁顿海洋能源技术研究所开发了一种微型发电装置[ 3 ],利用水来驱动压电材料的变形,为河流两侧的无线传感网络节点提供能量。如图1-3所示,PVDF柔性压电片由流动的水涡流驱动,产生平行排列的机械能。压电片的尺寸为56英寸×6英寸×40Q微米
输出能量为1瓦,流速为1米/秒。

图 1-3 水能驱动压电发电装置
麻省理工大学的Nathan S设计了一种压电发电鞋[ 4 ]。如图1.4所示,人的行走产生的冲击振动,经过压电片的变形产生电流再通过整合电路到储能元件为ipod等电子传感器件充电

图 1.4 压电发电鞋
目前,随着国内对压电发电装置的研究不断深入,吉林大学先后研究了多种基于压电发电的装置[ 4 5 ],例如,压电供电式红外遥感器,压电自供能型无线传感器。
1.3本课题的研究目标和研究内容
本次课题研究的重点是单晶悬臂式压电俘能器,一个完整的压电俘能系统主要有以下几个部分组成:压电振子、整流器、滤波变换电路和负载,如图 1-5所示

图 1-5 压电俘能系统的组成
如图1-5所示,压电振子将产生的电荷转换电能。产生的电流经过整流器之后转化为直流电,再经过滤波、变换等步骤,得到了符合满足要求的直流电压,最后供给供给一个的负载电阻或者一个能量储存。压电俘能系统的发电能力就是负载电阻或者能量储存器消耗的功率。
压电振子的结构一般是悬臂梁结构,悬臂梁结构谐振频率一般比较低,大概为50~200HZ,非常接近环境的振动频率(环境中的振动频率一般比较低)。发生谐振时悬臂梁式俘能器的工作效率最好,因此悬臂梁结构谐振状态成为研究热点。
本文建立了单晶悬臂压电能量采集器的理论模型,将压电结构与电路有效连接,对压电能量采集器进行了分析和设计。实际的能量存储电路是负载电路(通常由多个电气元件组成。为了简化我们的计算过程,整个储能电路可以简化为具有一定阻抗的单一负载,这简化了计算结果并具有一定的精度。为此,本文将从以下进行研究:悬臂梁压电能量采集器,建立了压电结构与负载组合的理论模型。最后,获得诸如压电能量采集器的输出功率和电压的性能参数。
对理论模型的正确性进行验证。利用 ANSYS 软件,建立压电结构与电路耦合的有限元模型,对负载阻抗进行优化分析,对负载与结构参数对俘能器输出特性的影响进行仿真研究,利用仿真结果验证理论模型。最后将理论模型与已有文献报道的研究结果进行比较,进一步验证模型的正确性。
1.4 典型的压电振子结构形式
在悬臂梁式结构压电俘能器研究领域中,研究最多的装置是压电振子,如图 1-2所示的悬臂梁式压电振子。该形式结构的悬臂梁振子经研究表明其谐振时效率较高,当振子受力较小,谐振频率也较小,但是,振子振动频率达到谐振输出就,因此对悬臂梁结构形式的研究主要是在谐振状态下进行的。

1.5 压电振子的振动模式
压电俘能装置中最常用的结构方式是悬臂梁,根据其工作模式可分为:d31和d33两种模式,如图 1-1所示。通常d31是最常用的连接模式,d31和d33两种模式,但d31模式的耦合系数小于d33模式的耦合系数。根据文献Baker等的研究表明[ 6 ],在d31模式下,将等体积d33模式的压电叠层与压电悬臂进行比较,结果表明叠层具有更好的振动性能和更高的耦合系数。 Roundy给出了相同的结论,并且还指出压电收集系统在d31模式下的共振频率低于d33模式的共振频率:这使得d31模式的压电捕获系统更容易在低频自然环境中共振。从而俘获更多的能量。

‘
第2章 单晶悬臂梁式俘能器理论建模
2.1 引言
悬臂梁结构是能量采集器最常见的结构[7],因为振动具有低共振频率并且接近周围环境(通常在共振中工作,它的高能量密度使悬臂梁结构成为研究能量收集器的热门话题。
在过去对悬臂梁能量采集器的研究中,大多数研究人员没有将压电结构与电气元件耦合。针对这种情况,本章将结合弹性力学知识和压电方程,利用相关的电学知识建立压电结构与负载电阻耦合的理论模型。 给出了相应的解析解来计算输出特性。然后在理论模型的基础上,利用MATLAB软件,通过数值方法分析了负载阻抗,结构参数,压电晶体材料参数等因素对单晶悬臂梁能量吸收装置的影响。这些为单晶悬臂梁能量采集器提供了理论依据。
2.2 单晶悬臂梁式俘能器的理论建模
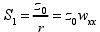
单晶悬臂压电俘能器的结构如图2-1所示。一层压电晶体材料(图中的灰色部分)沿厚度方向极化,并有一层弹性体。总体结构的一端固定到基座上就成为悬臂梁结构。基座产生简单的谐波运动,其具有垂直振幅A和在环境中具有振动的频率,使得悬臂梁处于弯曲振动模式。质量m0施加到自由端以调节悬臂共振频率并增加输出电能。电极连接到压电片的上侧和下侧,并且电极通过导线通过导线连接到电极以形成闭环。假设电极所连接的电路的阻抗(即,能量采集器的能量存储电路)是ZL(即,能量采集器的负载)。

我们研究的是d31模式,在被外界激发后,悬臂梁主要经受弯曲变形。根
据建模需求,提出以下三个假设条件:
(1) 无论粘合层的影响如何,压电晶体都牢固地粘附在弹性体上。
(2) 应力和应变分量在键合处是连续的
(3) 压电晶体的电场强度垂直于板表面并沿厚度方向均匀分布。
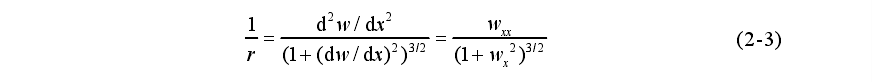
因为悬臂梁长度厚度( c h)和宽度 b远小于长度 L,并且在振动期间梁的偏转很小,因此,薄板的小挠度弯曲理论可用于解决相关性分析[8]。尽管板的厚度很小,但它仍具有一定的抗弯刚度,因此其挠度远小于其相应的厚度。 此时,有下列假设:垂直于中性面的正应变可忽略不计(即εz= 0)。w是z方向上的位移,因此这意味着在中性面的任何法线上,板的整个厚度的所有点具有相同的位移w和偏转。此外,因为悬臂梁的厚度( c h)和宽度 b远小于长度 L,我们可以假设偏转 w和 y没有关系,因此可以获得位移 w和坐标 x和时间 t的函数,即

关于梁的弯曲变形,如图2-2所示,下面的判断是根据与材料力学相关的知识[9]:梁的横截面在变形后保留在平面内并垂直于梁的轴线。

图2-2显示了弯矩M弯曲变形前后悬臂梁的示意图。 0102是中性层的平面距离。 并且旋转角度为 dθ并且两个部分在变形后保持在平面上。a1a2表示与中性层的距离为-z0的任何平面,并且变形的中性层的曲率半径为r。由于在变形之前和之后中性层平面中纤维的长度保持不变,因此可以在变形之前和之后获得应变。
再根据曲率的计算公式

由小变形假设[ 10 ],
,得到应变
,根据 a1a2平面的任意性可知,距离中性层坐标为 z 处的应变

根据上述压电晶体的结构分析,由于压电陶瓷具有大的介电常数和小的厚度,电场的边界效应可以忽略不计,压电晶体中的电场强度分量是

其中V是压电晶体的两个表面之间的电压。
以上是毕业论文大纲或资料介绍,该课题完整毕业论文、开题报告、任务书、程序设计、图纸设计等资料请添加微信获取,微信号:bysjorg。
相关图片展示:









