分子筛上甲醇转化制烯烃(MTO)反应中氢转移过程的机理研究毕业论文
2020-04-10 14:40:03
摘 要
乙烯、丙烯等低碳烯烃是重要的化工原料,可以用来生产纤维、橡胶、树脂等多种化工产品。当前,低碳烯烃主要由石油裂化制得。随着石油资源的日益匮乏,MTO(甲醇制烯烃)技术由于原料易得而受到人们的关注,但是MTO反应中仍然存在一些问题有待解决,如产物烯烃生成过程中的氢转移反应,能够生成烷烃与芳烃,从而降低了烯烃的选择性。因此了解烯烃氢转移反应的规律和机理对发展高效催化剂及反应途径具有重要意义。
本文选用H-ZSM-5沸石分子筛上的MTO反应作为研究体系。选用1,3-环己二烯作为模型分子和乙烯、丙烯等共反应,研究了氢源供体(1,3-环己二烯)与受体(乙烯、丙烯等低碳烯烃)之间的氢转移过程。结果表明,1,3-环己二烯容易发生脱氢反应,并转移至低碳烯烃上。同时,1,3-环己二烯转化为苯等芳香烃,低碳烯烃则转化为相应的烷烃。此外,研究还表明氢转移过程受到氢受体分子烯烃的链长控制。
关键词:沸石分子筛;甲醇转化;低碳烯烃;氢转移;反应机制
Abstract
Light olefins such as ethylene and propylene are important chemical industrial materials for production of synthetic fibre, synthetic rubber, synthetic resin etc. Currently, light olefins are obtained from catalytic craking of petroleum. With the shortage of oil resources, People pay more attention to Methanol to Olefins(MTO) reaction because of its readily available materials. However, there are still some problems which we need to solve, for example, hydrogen-transfer reactions which could reduce the selectivity of olefins. Therefore, it’s important to research the law of hydrogen-transfer reaction of olefins for the development of highly efficient catalysts and reaction pathways.
In this paper, the MTO reaction on H-ZSM-5 zeolite was selected as the research system. The model molecule 1,3-cyclohexadiene and ethylene propylene were used for the coreaction. The hydrogen transfer process between hydrogen donor (1,3-cyclohexadiene) and acceptors ( light olefins such as ethylene and propylene) was studied. The results have shown that 1,3-cyclohexadiene can be more easily dehydrogenated and transferred to light olefins. At the same time, 1,3-cyclohexadiene is converted into aromatic hydrocarbons such as benzene, and light olefins are converted into alkanes. In addition, studies have also shown that the hydrogen transfer process is controlled by the chain length of the acceptor olefin molecule.
Key Words:Zeolite;Methanol conversion;Light olefins;Hydrogen-transfer;
Reaction mechanism
目 录
第1章 绪论 1
1.1 分子筛催化剂简介 1
1.1.1 ZSM-5分子筛 2
1.1.2 SAPO-34分子筛 3
1.2 MTO反应研究进展 4
1.2.1 MTO技术 4
1.2.2 MTO反应机理 4
1.2.3 MTO中的氢转移反应 8
1.3 本论文的主要工作 10
第2章 实验部分 12
2.1 实验原料及仪器 12
2.1.1 实验原料与试剂 12
2.1.2 实验仪器 12
2.2 分子筛催化剂的前处理 13
2.3 检测与表征手段 13
2.3.1 XRD(X射线粉晶衍射)检测 13
2.3.2 固体核磁共振 14
2.3.3 产物检测 14
2.4 烯烃共反应 14
2.4.1 实验装置 14
2.4.2实验步骤 15
第3章 结果与讨论 16
3.1 催化剂表征结果 16
3.1.1 XRD谱图 16
3.1.2 27Al魔角旋转固体核磁共振 16
3.2 烯烃共进实验 17
3.2.1 低碳烯烃链长对烯烃共反应的影响 17
3.2.2 温度对烯烃共反应的影响 20
3.2.3 催化剂用量(接触时间)对烯烃共反应的影响 23
第4章 实验结论 26
参考文献 27
致谢 28
第1章 绪论
乙烯、丙烯等低碳烯烃是重要的化工原料,可以用来生产合成纤维、合成橡胶、合成树脂以及其他多种化工产品,传统工艺上,低碳烯烃主要通过石油资源制得[1-2]。随着经济的发展,单纯依靠石油资源生产低碳烯烃已经不能满足当今世界的需求。因此,开辟非石油路线生产低碳烯烃显得越来越重要,并受到了工业界以及学术界的普遍关注。甲醇作为一个平台分子可以通过酸性沸石分子筛催化转化得到低碳烯烃(methanol-to-olefin,MTO)。通过这种路线生产低碳烯烃,转化率高,选择性可控,并且原料甲醇可以通过廉价而丰富的煤、天然气以及生物质制得,因而是取代石油路线生产低碳烯烃的一个很有前景的方法。并且我国富煤贫油的国情决定我国能源消费结构是以煤和天然气为主,且现阶段难以发生实质性改变。因此,甲醇制烯烃技术在我国优势更加明显,具有十分显著的经济效益以及战略意义 [3-5]。但是MTO反应中仍然存在一些问题有待优化、解决,如形成的低碳烯烃往往会进一步发生二次反应如:烯烃间缩合、多碳烯烃裂解、烯烃氢转移、烯烃异构化或者环化生成高碳烯烃、异构烷烃、环烷烃和芳香烃等产物,这类副反应产物会严重影响MTO反应的选择性,而这些副产物主要通过氢转移过程形成的。因此氢转移反应是降低甲醇转化制烯烃(MTO)反应目标产物的选择性和收率的主要原因。所以,了解MTO反应中氢转移的机理,能够为降低此类副产物提供理论指导,具有十分重要的研究意义。
1.1分子筛催化剂简介
分子筛是一种具有三维孔道的结晶型的硅酸铝盐多孔材料。其骨架主要通过TO4四面体(T与其相邻的4个氧原子以sp3杂化轨道的形式成键)共用O原子相互连接形成的,中心原子T最常见的是Si和Al,也可以是P、Ga、Ge、Ti等元素。其晶体结构中有均匀并且比较规整的孔道。这类物质只允许直径比其孔径小的分子进入,因而能够将混合物中的分子按照大小进行筛选,故称为分子筛。其结构通式为:Mx/m[(AlO2)x·(SiO2)y]·zH2O。M代表阳离子,m代表其价态数,z代表吸附在分子筛或笼内的吸附水,x和y是整数。在一般的情况下,沸石分子筛的结构遵循劳温斯坦规则:四面体位置上的两个Al原子不能够相邻,即不存在Al-O-Al连接,Al原子能够与Si原子相邻、不能与Al原子相邻,而Si原子则既能够与Si原子相邻又能够与Al原子相邻。因此,分子筛中Si/Al比可为1到正无穷[6]。
现如今已经共有200多种不同类型的分子筛催化剂被认可,而真正应用于工业上的只有20多种。但是,在MTO反应过程中,仅仅只有两种类型的分子筛催化剂被应用于工业生产,这两种分子筛催化剂分别是ZSM-5分子筛和 SAPO-34分子筛。
1.1.1 ZSM-5分子筛
在二十世纪七十年代,Mobile公司的Chang等第一次将ZSM-5分子筛催化剂应用于MTO(甲醇转化制烯烃)反应中。ZSM‐5的晶胞组成可以表示为:{Nan (H2O)16[AlnSi96-nO192], nlt;27},其Si/Al比可以在比较大的范围内进行改变。ZSM-5分子筛是一种硅含量很高的分子筛,因而其稳定性较高。它具有独特的孔道结构,这与它的催化活性紧密相关[7]。ZSM-5分子筛的基本结构单元由8个五元环构成的,图 1为MFI骨架结构的立体视图。MFI构型的分子筛是一种中等孔口大小的分子筛,它含有一个二维十元环直孔道,孔径为0.51×0.55nm,以及一个Zigzag形的十元环弯曲孔道,孔径为0.53×0.55nm,同时这两个孔道还能够形成一个交叉孔道。在这个交叉孔道中可以进行烯烃环化反应以及氢转移反应,从而烯烃可以在此转化为芳烃和烷烃。ZSM-5分子筛骨架内骨架原子Si以四面体配位方式通过O桥与骨架四面体Al相连,每一个Al3 离子的AlO4四面体带一个单位的负电荷,该负电荷可以由一到三价的阳离子进行平衡。在一般的情况下,沸石分子筛以钠型存在,即Na-ZSM-5,将Na-ZSM-5分子筛与NH4 进行离子交换即可以得到氢型ZSM-5分子筛(H-ZSM-5)。H-ZSM-5分子筛与Na-ZSM-5分子筛相比具有较高的催化活性。

图1.1. MFI 构型ZSM-5分子筛的骨架结构(a)以及10元环孔口视图[010](b)
ZSM-5分子筛本身具有亲油性、疏水性、热稳定性及水热稳定性均比较高的特点,具有较大范围可调的Si/Al比和特殊的孔道几何构型,具有可调的酸性、良好的分子择形性能以及较强的抗积碳性能,因此其被广泛的应用于甲醇转化工艺。
Chang等人对ZSM-5分子筛催化甲醇转化制烃类的反应做了大量的研究工作。他们发现在MTO反应体系中使用ZSM-5分子筛时,反应过程中会形成大量的烷烃以及芳烃从而导致烯烃的选择性降低,同时生成的芳烃聚集也会导致催化剂积碳快速失活。另外, Froment 等人也对各种催化条件,如温度、分压、空速以及催化剂的工艺等对MTO反应的影响进行过相关的研究。
1.1.2 SAPO-34分子筛
十九世纪八十年代,美国联合碳化物公司成功开发了系列微孔硅铝磷酸盐沸石分子筛SAPO-n(n代表分子筛结构型号)。其中SAPO-34分子筛由于其具有较高的甲醇转化率和低碳烯烃选择性而备受人们关注。SPAO-34分子筛结构与菱沸石类似,具有CHA构型,椭圆形球笼和三维交叉孔道结构,孔径约为0.43 nm,属于小孔分子筛,属立方晶系[8]。此外,由于SAPO-34分子筛具有强选择性的八元环通道,能够有效抑制芳烃化合物的形成,对低碳烯烃具有较高的选择性,因此,气相产物中低碳烯烃的产量较高,而C4 及以上组分的含量较少,且几乎没有芳香烃生成。

图1.2 CHA 构型SAPO-34分子筛的骨架结构(a)以及八元环孔口视图[001](b)
但是,SAPO-34分子筛抗积炭能力比较差,容易积炭失活,因而需要对催化剂进行连续再生,催化剂的寿命比较短暂。单纯的SAPO-34分子筛作为甲醇制烯烃反应的催化剂时,它的催化效率相对不高,通常需要适当对SAPO-34分子筛进行改性,可以将金属元素引入到SAPO-34分子筛的骨架当中,这样可以有效改变分子筛的孔径大小及酸性强度,孔口变小能够起到限制大分子的扩散的作用,同时有利于提高乙烯、丙烯等低碳烯烃的选择性,而酸性中心强度的改变则形成中等强度的酸中心,也有助于低碳烯烃。
1.2 MTO反应研究进展
近些年,国内外甲醇制烯烃项目发展势头非常迅猛,一系列MTO工艺技术经过几年的产业化示范,已逐渐成熟。国内外最具有代表性的甲醇制烯烃技术有,美国UOP公司的MTO工艺技术、中国大连化物所的DMTO工艺技术、中石化的SMTO工艺技术[9]。
1.2.1 MTO技术
上世纪七十年代,美国美孚公司合成了酸性ZSM-5分子筛,并通过实验发现了其独特的催化性能,能够将甲醇转化为汽油,随后,美孚公司又报道了在沸石分子筛催化作用下的MTO工艺,并对甲醇转化机理做了许多研究,并合成出了针对MTO反应和MTG(methanol-to-gasoline,甲醇制汽油)反应的新型催化剂ZSM-5沸石分子筛,随后在新西兰建立了第一个甲醇转化制汽油工厂。美孚公司的MTG技术极大地推动了MTO和MTP(methanol-to-propylene,甲醇制丙烯)等工艺的发展。
虽然美孚公司最早开始研究甲醇转化制低碳烯烃的工作,但是却是UOP公司和Norsk hydro公司首先研发出MTO工艺技术,该技术所使用的催化剂是UOP MTO-100,并于1996年宣布可以实现建设以天然气为原料生产能力为年产25万吨的MTO工艺。在此基础上,美国环球石油(UOP)公司和道达尔(TOTAL)公司共同研发出了烯烃裂解工艺(OCP),使用MTO-OCP联用技术[10]。
八十年代,我国的中国科学院大连化学物理研究所便开始进行甲醇制烯烃的相关研究工作,在第七个五年计划期间就完成了300t/a装置中试,采用的是固定床反应器和中孔ZSM-5分子筛,催化剂型号包括三个系列:D0123系列(生产乙烯)和D0300系列(生产丙烯)和SPAO-34分子筛催化剂。近年来,中科院大连化学与物理研究所又与神华集团完成了万吨级的MTO中试,并签订了一系列MTO(甲醇制烯烃)技术许可合同,年产万吨级乙烯和丙烯的工业化装置已进入投产阶段,并已在内蒙古包头市建成世界上第一套DMTO装置且投料试车成功。本世纪初,中石化上海研究所开始进行甲醇制烯烃技术的开发,于2005建成了年产12吨的SMTO循环流化床试验装置,2010年,中原石化采用SMTO技术,在濮阳建成了年产60万吨的甲醇制烯烃项目,并已投产。
1.2.2 MTO反应机理
研究甲醇制烯烃的机理将有助于了解MTO反应的整个过程,可以掌握反应物与沸石分子筛催化剂间的相互作用规律,合理控制乙烯、丙烯等低碳烯烃的选择性,降低副产物的生成率,避免分子筛催化剂积炭失活。甲醇转化制烯烃过程主要经过四个阶段:第一个阶段是甲醇与催化剂的活性中心作用脱水生成DME,DME与水、甲醇形成平衡体系;第二阶段为动力学诱导期;第三个阶段为稳态阶段,中间产物生成了大量的低碳烯烃。第四个阶段为催化剂失活阶段,部分低碳烯烃进一步缩合、氢转移、异构化或者环化生成高碳烯烃、异构烷烃、环烷烃和芳香烃等产物。整个过程可简化表示为:

图1.3 MTO反应过程
初始C-C键的形成问题是研究MTO反应机理的关键,在过去的几十年中,关于初始C-C键的形成机制的众说纷纭,有超过20种的机理被提出来解释初始C-C键的形成,至今没有定论,根据C-C键形成过程中产生的中间体的不同,可将其划分为两种类型:直接形成机理:如氧鎓离子(Oxonium ylide)机理、卡宾(Carbene)机理、碳正离子(Carbocationic)机理、自由基(Free radicals)机理;间接形成机理:碳池(Hydcarbon pool)机理等[9]。
直接反应机理认为:反应物甲醇之间通过反应中间体直接生成初始的烃类反应物-二甲醚[11]。然后,甲醇或者生成的DME之间的反应导致了第一个C-C键的生成,再进行其他的一些反应过程,生成最终产物。
直接反应机理中,认可度较高、并且较为典型的是氧鎓离子(Oxonium ylide)机理,氧鎓离子机理因其中间体为氧鎓离子而得名,由Van den Berg等人最先提出,具体过程如下图:

图1.4 氧鎓离子机理示意图
间接反应机理(碳池机制)认为反应的活性中间体为一些碳氢有机化合物,甲醇或者DME与碳池物种作用间接生成烃类有机物。
Dahl和Kolboe最早提出碳池(Hydcarbon pool)机理,并得到了大多数人的认可,碳池机理的核心是被称为“碳池”的一种吸附在分子筛催化剂上的有机物活性中间体(CHx)n,其中0lt;Xlt;2,该机理认为,从生成第一个C-C键到生成C3、C4化合物以及更高级的碳氢化合物甚至积炭都来源于活性中间体“碳池”,而不是简单的乙烯或者其他短链烯烃的链的增长。

图1.5 Dahl 与 Kolboe 提出的碳池机制示意图
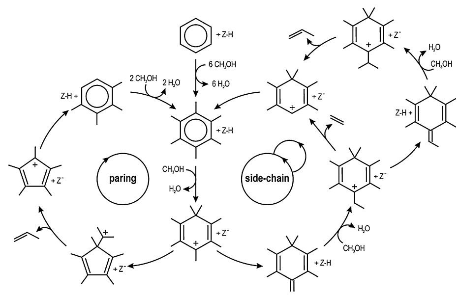
然而,他们描述的活性中间体“碳池”物种没有确定的结构。经过多年的研究,在“碳池”的芳烃基循环中,由Sullivan和Male、Haw等人提出了Paring机制和外环side-chain机制。Paring机制认为多甲苯可以通过缩环、扩环过程形成低碳烯烃,side-chain机制则认为多甲苯侧链可以被持续甲基化然后经过消除反应生成低碳烯烃,其具体反应过程如下:

以上是毕业论文大纲或资料介绍,该课题完整毕业论文、开题报告、任务书、程序设计、图纸设计等资料请添加微信获取,微信号:bysjorg。
相关图片展示:







您可能感兴趣的文章
- BN嵌入型四苯并五苯:一种工具高稳定性的并五苯衍生物外文翻译资料
- MoS2和石墨烯作为助催化剂在增强的可见光光催化H2生产活性的多臂CdS纳米棒的作用外文翻译资料
- 通过在BiVO4的不同晶面上进行双助剂的合理组装制备高效率的光催化剂外文翻译资料
- 非编码RNA的固相合成研究外文翻译资料
- 氢化驱动的导电Na2Ti3O7纳米阵列作为钠离子电池阳极外文翻译资料
- 高能量及功率密度的可充电锌-二氧化锰电池外文翻译资料
- 利用导电聚合物纳米线阵列来增强电化学性能外文翻译资料
- 自支撑Na2Ti3O7纳米阵列/石墨烯泡沫和石墨烯泡沫准固态钠离子电容器电极外文翻译资料
- 基于碳纳米管金纳米粒子辣根过氧化物酶构建的过氧化氢生物传感器毕业论文
- 新型联二吡啶Pt(II)炔配合物的设计、合成及光物理性质研究毕业论文


