食品中聚糖固相萃取与检测毕业论文
2020-04-08 12:45:54
摘 要
糖类广泛分布于自然界之中,是目前地球上最为丰富、复杂的化合物之一,在我们的日常生活之中扮演着非常重要的角色。糖类及其衍生物与免疫系统、血液的凝结、疾病的防备、生物遗传信息的传递以及生物本身的生长都有着非常大的关系。低聚糖在通过肠道时不会被消化,能优先被肠道内的双歧杆菌所利用,促进其增殖,从而促进人体健康。低聚糖具有调节肠胃功能、降低血脂血压、延缓衰老等功能,食品中也含有部分低聚糖,但其含量较低,因此对食品中低聚糖进行准确、快速的检测是鉴定食品有效成分、衡量营养价值以及探索活性成分的基础。
本研究发展了一种操作简便,耗时短的对食品低聚糖富集检测方法。具体内容如下:
1)使用多孔石墨化碳(PGC)做为填料的固相萃取柱,对低聚糖进行初步纯化、富集。
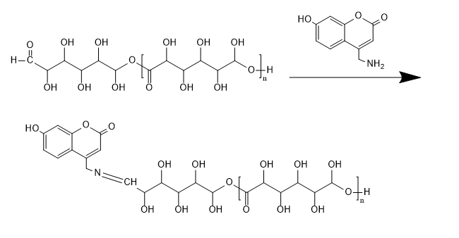
2)为实现低聚糖高灵敏度检测,我们利用一种新型衍生试剂4 -(氨氧基(甲基))-7-羟基-香豆素(AOHC)对低聚糖进行衍生。
3)使用高效液相色谱-荧光(HPLC-FLD)来对低聚糖衍生物进行检测,并对固相萃取过程中的洗脱的条件进行了优化。实验中得到的最佳洗脱条件为使用体积分数为50%的乙腈水溶液,洗脱剂的用量为2 mL,可以实现对样品中的几种低聚糖达到95%以上的富集效率。
本研究摸索出了一种快速、简便的富集食物中的低聚糖的新方案,对此后食品中低聚糖的纯化及富集的研究具有重要的意义。
关键词:低聚糖;多孔石墨化碳;固相萃取;
Abstract
Carbohydrates are widely distributed in the world, which play very important roles in our daily lives. Carbohydrates in foods provide us energy and nutrition and they are closely associated with series of important physiological and pathological processes.
However, the composition of food is very complicated, so we need a method for the purification and enrichment of oligosaccharides before analysis.
The purpose of this study is to develop a simple and sensitive method for the analysis of oligosaccharides in foods. The contents of this thesis were listed below:
- A solid phase extraction column using porous graphitized carbon (PGC) as a filler was used to initially purify and enrich oligosaccharides.
 - In order to achieve high-sensitivity detection of oligosaccharides, we used a new derivatization reagent 4-(aminooxymethyl)-7-hydroxy-coumarin(AOHC) to derivatize oligosaccharides.
 - High-performance liquid chromatography-fluorescence (HPLC-FLD) was used in the experiment and the conditions in the solid phase extraction process were optimized. The optimal elution conditions obtained in the experiment were the use of acetonitrile aqueous solution with a volume fraction of 50% and an elution amount of 2 mL, which can achieve an enrichment efficiency of more than 95% for several oligosaccharides in the sample.
 
This study explored a quick and simple new program for enriching oligosaccharides in foods. It is of great significance to study the purification and enrichment of oligosaccharides in foods.
Key words:oligosaccharides; porous graphitized carbon; solid phase extraction
目录
第1章 绪论 1
1.1 糖类检测的重要意义 1
1.2 糖类检测现状 2
1.2.1 固相萃取技术 2
1.2.2 固相萃取操作程序 5
1.2.3 低聚糖的固相萃取技术 6
1.2.4 糖类的检测方法 7
1.2.5 小结 9
第2章 低聚糖标准品的分析检测 10
2.1 引言 10
2.2 实验部分 10
2.2.1 实验仪器 10
2.2.2 实验药品 11
2.2.3 实验步骤 12
2.3 结果与讨论 12
第3章 实际样品中低聚糖的SPE富集与检测 15
3.1 引言 15
3.2 实验部分 15
3.2.1 实验仪器与药品 15
3.2.2 实验步骤 16
3.2.3 结果与讨论 16
第4章 总结与展望 24
参考文献 25
致谢 28
第1章 绪论
作为生物体四大类生物大分子化合物(其它三类分别是脂质、蛋白质和核酸)之一,糖类在自然界之中普遍存在[2]。糖类化合物又叫碳水化合物,是植物在光合作用的过程之中碳转化的最主要的形式,植物的干重之中有85%~90%都是糖类。糖类也是地球当中含量最为丰富、结构最为复杂的化合物之一。
糖类基本上可以分为三大类:分别是单糖、寡糖和多糖,它们在人们的日常生活之中非常重要,例如多糖能够被用来储存能量(例如淀粉及糖原),还可以被用作动物外骨骼以及植物细胞壁(例如甲壳素及纤维素);核糖是一种五碳醛糖,它是组成不同辅助因子(例如ATP、FAD及NAD)时必需的材料,而且核糖还是部分遗传物质中(例如RNA、DNA)的骨干;此外,糖类物质常与蛋白质、脂质等结合形成糖缀合物,对生物的免疫系统、疾病的防备、血液的凝集以及生物的成长有着重大影响,所以,对于糖类化合物的检测就变得十分重要。
1.1 糖类检测的重要意义
著名的德国科学家E.Fischer在100多年之前就开始了对于糖类的研究,M .Heidelber以及T.Oswaid在1923年率先提出了细菌抗原部分是由多糖组成而不是由蛋白质组成[3],因而,糖类生命科学和蛋白质生命科学基本上同时出现。
然而,对于糖的研究却远远的落后于对于蛋白质以及核酸的研究,这是因为之前人们认为糖类在所有生物体之中主要是作为能量的来源(如在动物之中贮存的糖元以及在植物之中贮存的淀粉,或是被当成结构材料(如在植物细胞中存在的纤维素),并且,对糖类纯化及结构的鉴定都比较困难。近些年来,因为对糖类在生物学上的功能有了一些新的看法,比如糖的结合物在对细胞的识别、细胞之间物质传输以及对免疫功能方面的调节这些方面均起到了一定的作用,并且在对多糖和糖的结合物的分离、纯化、组分测定及结构的分析这些方面取得了很大的进展,所以对于糖类的探索又逐渐引起了人们的注意。
因为糖在生物学上具有非常重大的意义,因此对于糖类的分析在医学的领域之中使用的前景十分广阔。已有的一些研究说明了:部分低聚糖具有很好的保健作用,可以促进肠道内有益菌的增殖,调节肠胃功能,还可以改善血脂代谢,降低血脂及血压等;部分多糖可以对淋巴细胞、抗体等的水平进行调节以此来增强生物体的免疫功能,其还具有抗肿瘤、抗感染、降血糖、增强血功能的恢复和促进核酸及蛋白质合成等方面均具有一定的作用[4]。
1.2 糖类检测现状
随着科学技术的发展,对糖类的检测手段越来越多。现在,一般使用气相色谱法(GC)、高效阴离子交换色谱法(HPAEC)、高效毛细管电泳法(HPCE)、高效液相色谱法(HPLC)、质谱法(MS)、核磁共振法(NMR)、凝胶色谱法(GPC)、色谱与质谱联用如液相色谱-质谱联用法(LC-MS)、气相色谱-质谱联用法(GC-MS)等手段对糖类进行检测[7]。
色谱在半个多世纪的发展历程之中,逐渐发展为非常普遍的分析方法,对于糖类的检测也十分有用。但是,我们在进行色谱分析之前,对样品的前处理是非常重要的一个环节,现在固相萃取(Solid Phase Extraction, SPE)已经成为了样品的前处理之中非常重要的一个方式,SPE的主要目标是将样品溶液中低浓度的目标组分进行富集(浓缩),对样品进行纯化以及介质的转移(将目标组分从样品的基体中转移到溶剂或者气体之中)[12]。
1.2.1 固相萃取技术
固相萃取(Solid Phase Extraction,简称SPE)法是一种通过将待分析的物质转移到固体吸附剂之上然后再对其进行分离的一种方法。当分析物转移到固体吸附剂上之后,通过使用液体洗脱或者热解吸到气相中来回收分析物,并且可以对分析物进行纯化及浓缩。固相萃取最早的应用可能是在上个世纪50年代使用木炭填充柱来从地表水中分离有机污染物进行毒性评估。在上世纪70年代,由于大孔隙多孔聚合物的引入使得固相萃取的技术得以快速发展,并将其应用的范围扩大到空气取样和从生物液体之中分离药物的领域。SPE在实质的是一个色谱分离的过程,固相萃取与高效液相色谱有着很多相似的地方,它们在分离过程及机理,还有固定相以及流动相的选择等方面都比较相近。其由固液萃取及液相色谱技术两者相结合发展而来,是从大量的样品之中提取、浓缩以及分离有机化合物的最常使用的一种方法。由于其能够进行选择性的提取、分离以及浓缩的过程,并且还具有所需样品量少、操作的时间短、干扰的物质少的优点,因此在对试样之中杂质的去除,痕量组分的富集等方面,其应用的范围非常大,具有非常广阔的应用前景。
1.2.1.1 固相萃取的原理
SPE其实就是使用固体吸附剂对液体样品之中的待测组分进行吸附,使待测组分与样品的基体以及杂质相分离,之后再使用洗脱液对待测组分进行洗脱或者通过加热的方式使待测组分从吸附剂上解吸附,从而达到分离及富集待测组分这一目标。固相萃取这一技术在对样品的处理中的作用主要可以分为两种:第一种是净化,第二种是富集,并且在对样品的处理的过程之中有可能同时出现这两种作用。
固相萃取的过程,其在实质上是一种液相色谱的分离过程,其主要的分离模式与液相色谱大致上是一样的,主要可以分为正相、反相以及离子交换这三种不同的模式。SPE中所用到的吸附剂与液相色谱中常用的固定相是一样的,只是粒度上有一些不同,例如正相固相萃取之中会使用极性的吸附剂,与洗脱液的极性相比吸附剂的极性更大,可以用来对极性物质进行萃取。在正相萃取的时候目标物能否保留在固体吸附剂上,其主要是由待测物质与固体吸附剂两者所含的极性官能团间的作用的强弱来决定的。将SPE与液液萃取这两种萃取方式进行比较,我们会发现SPE具有如下好处:(1)能够对更多的样品进行处理,(2)能够使用更少的溶剂来达到相同的处理结果,(3)其具有更高的富集效率,并且具备较好的重现性,(4)杂质干扰少,(5)没有乳化现象的产生,(6)能够选择不同的分离模式,(7)可以实现自动化[15]。
1.2.1.2 固相萃取吸附剂
待测物质的最佳吸附是由待测物与吸附剂两者间极性的相像的程度来决定的,两者间的极性越接近,那么吸附的效果就会更好。所以,在对吸附剂进行选择的时候,要尽可能的选择与待测物极性及样品溶剂极性类似的吸附剂,当待测物极性比较适中的时候,我们可以使用正向以及反向固相萃取。
另外,吸附剂的选择还与样品溶剂洗脱能力的大小有关,在正、反固相萃取之中溶剂的洗脱强度顺序也并不完全相同。若样品溶剂得洗脱能力太强,那么待测物将难以得到保留或者保留的量较小,如果样品使用正己烷作为溶剂,那么就不应该使用反相固相萃取,其中的原因是对于反相固相萃取来说,正己烷是一种强溶剂,在吸附剂上待测物就很难得到保留,而当样品使用水作为溶剂时,我们就可以使用反相固相萃取了,其中的原因是对于反相固相萃取而言,水是一种弱溶剂,并不会影响到待测物在吸附剂之上的吸附。
在对固相萃取的分离模式和吸附剂进行选择的时候,一般需要考虑到以下几点:在不同极性溶剂之中待测物的溶解度;待测物有没有可能离子化,继而对是不是采取离子交换固相萃取这种方式进行决定;待测物与吸附剂之间有没有可能产生共价键,如果能够构成共价键,那么就会对洗脱产生负面影响;杂质和待测物与吸附剂吸附时吸附强度之间的关系,这个对杂质与待测物之间的分离会产生很重要的影响。
因为固相萃取实质上就是一种液相色谱的分离过程,因此从原则上来说,能够被用做液相色谱的色谱柱中填料的材料基本上都可以被用在固相萃取之中。然而,由于部分液相色谱比固相萃取所使用的柱压较高,液相色谱所要求的柱效通常也比固相萃取的高,因此液相色谱的填料对于粒度的要求更为严格,之前通常使用填料的粒径是10 μm,现在的高效柱一般都使用填料的粒径是5 μm,甚至有的使用了粒径为3 μm的填料,并且液相色谱对填料粒径之间的分布要求也很窄。而对于固相萃取来说,其柱上所加的压力通常都不是很大,由于固相萃取只要求要把待测物及杂质还有基体分开就可以了,因此对于其柱效的要求通常都不高,所以吸附剂的粒径都比较粗,通常粒径在40 μm 就可以使用了,并且其对于粒径的分布要求也并不严格,因此固相萃取柱在使用时的成本就比较低[18]。
1.2.1.3 固相萃取装置
SPE柱通常由柱体、过滤板、填料及接头所组成,图1.1中对固相萃取柱的结构进行了展示。
图1.1:固相萃取柱结构图
SPE柱的使用十分常见,简单的SPE柱是一根直径为数毫米的小柱构成,构成小柱的材料一般有玻璃、塑料(例如聚丙烯、聚四氟乙烯等)或者不锈钢。柱的下部分有一个筛板,其孔径大约为20 μm,这个筛板的作用是对吸附剂进行支撑,防止固体吸附剂在固相萃取过程中顺着接口流出,也可以采用填加玻璃棉这种方式来取代筛板,这样在对固体的吸附剂进行支撑的同时又能够让液体顺利流过。在筛板上方加入一定量的吸附剂,装填紧密后,在吸附剂的上面再加上另一块筛板,这是为了防止向柱中加入样品时对柱床产生破坏[22]。由于制作柱子材料的纯度会对实验产生影响,因而通常选择没有使用添加剂的医用聚丙烯来作为制造柱体的材料,这是做是为了避免在萃取的过程之中对试样造成污染,而为了减少空白之中存在的杂质,我们可以采用玻璃或者纯聚四氟乙烯来作为制作柱体的材料。
制作筛板的材料也有可能引入杂质,通常使用聚丙烯、 不锈钢、纯聚四氟乙烯和钛来制作筛板,金属筛板之中虽然不含有机杂质,但是容易被酸腐蚀[23]。因为新的杂质有可能从柱体、筛板和填料这三种途径上被引进到试样之中,因此,在对SPE的方法进行建立及验证的时候,空白萃取实验是必须要进行的。SPE盘是SPE的另一种形式,SPE盘是载有填料的玻璃片或者含有填料的纯聚四氟乙烯的圆片,它与SPE柱的首要区别是填料的厚度与填料直径之间的比值,对于质量相同的同种填料来说,SPE盘的萃取截面积比SPE柱的大,因此SPE盘中试样的流速会比SPE柱中的流速高[23]。
1.2.2 固相萃取操作程序
固相萃取的操作步骤通常会含有活化、上样、淋洗、洗脱这四个环节。
图1.2:固相萃取步骤图
1.2.2.1 吸附剂的活化
在对样品进行萃取之前要使用适当的溶剂对固相萃取柱进行淋洗,使得吸附剂能够维持在湿润的状态之中,这个步骤称为活化。而对于反相固相萃取来说,由于其使用的吸附剂都是弱极性或者非极性的,因此一般使用水溶性有机溶剂来对固相萃取柱进行活化,那么对于正相固相萃取来说,由于其采用的吸附剂都是极性的,因此一般使用样品基体来对其进行活化。而对离子交换固相萃取来说,其活化所使用的溶剂与样品基体的极性强弱有关,当样品基体的极性较弱的时候,可以直接使用样品溶剂对其进行活化;当样品基体的极性较强的时候,则可以先使用水溶性的有机溶剂对其进行活化,之后再使用pH值适当、含一定量有机溶剂及盐的水溶液活化[18]。为了让固相萃取柱之中的吸附剂能够一直保持湿润,不能将活化时所使用的溶液全部放光,应该在固体吸附剂的上留有部分液面。
1.2.2.2 上样
将液态的或者溶解之后的固态样品直接加入到经过活化处理后的固相萃取柱之中,然后可以使用加压、抽真空或者离心这些方式让样品通过吸附剂。
1.2.2.3 淋洗
对于不需要保留的干扰物,可以使用活化溶液来冲洗,而对于弱保留的干扰物,则需要使用适中洗脱强度的溶剂来进行冲洗,而且需要保证不能将所需的目标分析物洗出,有时还需要调节pH,有时更需要使用几种极性不同的溶剂来进行淋洗,以保证干扰物能够被淋洗下来。
1.2.2.4 洗脱
洗脱是使用极性较强的溶剂来将待测物从固体填料中冲洗下来并且对冲洗下来的溶液进行收集。洗脱也可以采取真空或者离心的方式来将洗脱溶液流过吸附剂。在大多数的情况之下,应该使目标物保留在吸附剂之上,到最后再用强极性的溶剂进行洗脱,这样做更有利于获得更纯净的样品。若选择了对待测物的吸附比较弱或者不吸附却对干扰化合物吸附比较强的吸附剂的时候,可以先用溶液将待测物淋洗下来然后进行收集,此时,干扰化合物依然在吸附剂上,没有被冲洗下来,通过这种方式,就可以将这两种物质进行分离。
1.2.3 低聚糖的固相萃取技术
将液-液萃取和固相萃取两者之间进行比较,我们会发现SPE具有操作所需的时间短、所需样品的量小,所需要的萃取溶剂少,适合于分析具有挥发性以及不具有挥发性的物质,重现性较好等长处。SPE法的使用范围十分广泛,现在其已经可以用于食品、环境化学、 医药卫生、生物化学、临床化学以及法医学等领域中对于复杂的目标物或者样品的微量或者痕量分离、富集以及分析,SPE可以对浓度很低的试样进行处理,这是它与液液萃取相比最突出的长处。
固相萃取现在已经在对环境的分析之中被广泛的应用。为从事环境分析方面的工作者们提供了一种可以用来取代传统的提取、净化及浓缩的方式,是一种比较理想的样品前处理的方式[19]。自上世纪90年代以来,固相萃取及其在生物样本分析中的应用这一方面每一年都会有大概一百篇论文被发表出来,这一现象说明了固相萃取技术的应用范围正在迅速的扩大,其应用前景十分广阔,例如万伟等[27]探索出了能够同时对低极性至高极性的农药类内分泌干扰物质浓缩的一种SPE-GC-MS的方法,在对海河流域中进行环境调查的过程之中,使用这种方法可以对其中的DDT、六六六等农药进行检测。
以上是毕业论文大纲或资料介绍,该课题完整毕业论文、开题报告、任务书、程序设计、图纸设计等资料请添加微信获取,微信号:bysjorg。
相关图片展示:







您可能感兴趣的文章
- BN嵌入型四苯并五苯:一种工具高稳定性的并五苯衍生物外文翻译资料
 - MoS2和石墨烯作为助催化剂在增强的可见光光催化H2生产活性的多臂CdS纳米棒的作用外文翻译资料
 - 通过在BiVO4的不同晶面上进行双助剂的合理组装制备高效率的光催化剂外文翻译资料
 - 非编码RNA的固相合成研究外文翻译资料
 - 氢化驱动的导电Na2Ti3O7纳米阵列作为钠离子电池阳极外文翻译资料
 - 高能量及功率密度的可充电锌-二氧化锰电池外文翻译资料
 - 利用导电聚合物纳米线阵列来增强电化学性能外文翻译资料
 - 自支撑Na2Ti3O7纳米阵列/石墨烯泡沫和石墨烯泡沫准固态钠离子电容器电极外文翻译资料
 - 基于碳纳米管金纳米粒子辣根过氧化物酶构建的过氧化氢生物传感器毕业论文
 - 新型联二吡啶Pt(II)炔配合物的设计、合成及光物理性质研究毕业论文
 

        
            
