有机硅修饰聚羧酸减水剂的制备及应用毕业论文
2020-04-05 11:05:24
摘 要
随着城市化进程加快,房价上涨,房地产行业的发展及各种城市基础设施的建设,对混凝土等建筑材料的需求不断增加。近些年来,各种各样的增强型或功能型混凝土层出不穷,各种混凝土改性外加剂的发展也是百花齐放的局面。本文在混凝土技术不断创新的背景下探索了有机硅改性高效聚羧酸减水剂的合成,并尝试了将其与微集料进行嫁接反应使其合二为一制备功能微集料的可能性,在实验中用电镜、红外、热重、29Si NMR等进行了表征确认,也对在实验室中的流变性能和抗压性能进行了测试,结果表明嫁接有合成的减水剂聚合物的功能微集料在混凝土中有减水剂的作用,其有望在混凝土的流变性、结构强度以及耐久性的提升方面更进一步。
关键词:有机硅、聚羧酸、减水剂、功能微集料
Abstract
With the acceleration of urbanization, rising house prices, the development of the real estate industry and the construction of various urban infrastructure, the demand for concrete and other building materials is increasing. In recent years, a variety of reinforced or functional concrete emerge in endlessly, and the development of various concrete modified admixtures is also a situation. In this paper, the synthesis of organosilicon modified polycarboxylic acid superplasticizer is explored under the background of continuous innovation of concrete technology, and the possibility of preparing functional microaggregate by grafting it with microaggregate is attempted. Electron microscope, IR, TGA and 29Si NMR were used to characterize the experiment, and the rheological and compressive properties in the laboratory were also tested. The results show that the functional microaggregate grafted with synthetic water-reducing agent polymer has the function of water-reducing agent in concrete, which is expected to further improve the rheology, structural strength and durability of concrete.
Key words: silicone; polycarboxylic acid; water reducer; functional microaggregate
目 录
第一章 绪论 1
第二章 实验 4
2.1 仪器与试剂 4
2.2 合成P(MAPEG40-co-MAA30-co-MAPTMS30) 4
2.3 集料与水泥 5
2.4 集料的处理 5
2.5 后合成法合成功能微集料 7
2.6 功能微集料的工作性能测试 7
第三章 分析方法 9
3.1 电子显微镜(SEM) 9
3.2 核磁共振(NMR) 9
3.3 尺寸排阻色谱 9
3.4 红外分析 9
3.5 热重力分析 9
3.6 工作性能测试 10
第四章 结果与讨论 11
4.1 电镜分析(SEM) 11
4.2 29Si NMR分析 13
4.3 尺寸排阻色谱 15
4.4 红外分析 16
4.5 热重分析 17
4.6 工作性能测试 19
第五章 结论 21
参考文献 22
致谢 24
第一章 绪论
混凝土是当今使用最为广泛的建筑材料,尽管当前材料科学飞速发展,各种新材料层出不穷,但还没有任何一种新材料可以取代混凝土在人们生活中乃至人类文明中的重要地位。无论是民房、停车场等基础民用设施,还是公路、机场等大型公共设施,亦或是水利大坝等具有战略意义的军事设施都有混凝土的身影。
混凝土是最常用的一种复合建筑材料,通常由骨料(也称集料)与流动性的胶凝材料(通常是水泥浆)混合在一起组成,并可以随着时间(期龄)逐渐硬化。目前所使用的大多数混凝土是石灰基混凝土,然而,经常用于路面的沥青混凝土也是一种混凝土,其中胶凝材料是沥青和聚合物。
当骨料、水泥、水以及一些外加剂混合在一起时,混合物形成易于倾倒成型的流体浆料。水泥与水和其他成分发生化学反应生成成硬质基质,将骨料等粘合成一个坚固的整体结构,成为具有多种用途的耐用材料[1]。常用的外加剂有减水剂——以改善混凝土材料的物理性能。大多数混凝土结构的抗压性能很强但抗拉不足,所以很多混凝土结构中都包埋有增强材料(常配以钢筋)以提供足够的抗拉强度,于是钢筋混凝土就产生了。
世界著名的混凝土结构有胡佛水坝,巴拿马运河和罗马万神殿。最早的大规模混凝土技术用户是古罗马人,混凝土在罗马帝国广泛使用。在斗兽场在罗马在很大程度上依赖具体的,和万神殿的混凝土穹顶是世界上最大的无筋混凝土穹顶[2]。今天,大型混凝土结构(例如大坝和多层停车场)通常由钢筋混凝土制成。
现代混凝土的最大进步是Smeaton's Tower,由英国德文郡的英国工程师John Smeaton在1756年至1759年间建造的。其中第三个Eddystone灯塔率先在混凝土中使用石灰,并使用鹅卵石和碎砖粉末等作为骨料[3]。
水泥是混凝土中最重要的组成成分,是一种经典的建筑材料,水泥的使用具有悠远的历史。公认的现代水泥是英国工程师Joseph Aspdin于1824年正式发明并申请专利的。因其颜色和当时在英国波特兰岛开采的石灰石颜色相似而被称为“波特兰水泥”[4]。波特兰水泥是一般用途中最常见的水泥类型,是混凝土,砂浆和许多灰泥的基本成分。之后迅速发展,在英国建筑行业中广泛使用。典型的波特兰水泥是煅烧钙源(通常为石灰石)、硅源(通常是粘土或页岩,同时一些铁等也被引入)和硫酸盐源(通常为石膏)后研磨成的超细微米级混合物粉末,此即水泥孰料。
到如今,水泥已发展成为一个大的家族, 如通用水泥、特性水泥、专用水泥等的大族系,在通用水泥中又有硅酸盐水泥、普通硅酸盐水泥、矿渣硅酸盐水泥、火山灰质硅酸盐水泥、粉煤灰硅酸盐水泥和复合硅酸盐水泥6种,每种还可以根据标号来区分不同配方比所致的不同抗压等级[5]。
减水剂是混凝土中最常见的外加剂,也是混凝土中特有的一种外加剂,其主要作用主要表现在两个方面[6,7]:
(1)在相同的水灰比下可以显著提高混凝土的流动性能,可以使其更适合于输运、泵送、浇铸。
(2)在相同的流动度下相对的减少了水的用量,减少了混凝土中除水化用水外富余自由水挥发散失留下的微小孔隙,显著增强其抗压强度。
减水剂的发展已有八十年的历史,主要经历了三个阶段:第一代木质素类减水剂,第二代奈系和三聚氰胺系减水剂,第三代聚羧酸系高效减水剂(PC)[8]。
聚羧酸高效减水剂的作用机理普遍认为3种:空间效应、静电斥力、溶剂化水膜作用[9,10]。据静电斥力理论,常规聚羧酸减水剂分子中的极性基团可以通过静电作用与极性很强的水泥颗粒表面结合,并吸附于上,形成类似于一般表面活性剂在溶液中形成胶束结构,起到充分的分散水泥颗粒、释放絮凝结构自由水的作用,在宏观上既表现为流动性显著增强。但是仅通过物理过程,吸附量、吸附强度、吸附的选择性(减水剂主链上的极性基团与水泥浆体中大量存在的SO42-会产生竞争吸附)都限定在一定的区间内,效果很难在得到提升[10-12]。若可以使减水剂与水泥颗粒选择性的化学键合,则可以产生稳定的不可逆吸附,很好的解决上述问题,是减水剂的减水效果更进一步,且可以获得某些其他的功能,如抗SO42-的能力等[13]。并且随着社会的发展,需求的不断提升,传统的混凝土在某些问题上的不足逐渐被突显出来,例如水泥基材料的韧性差、耐久性差等问题[14,15]。于是很多学者从不同的角度出发进行了多方面、多角度的探索,以求解决目前混凝土所面临的困境。有一部分学者企图从混凝土外加剂为研究的出发点,通过研究各种改性外加剂以求提高混凝土在各个方面的综合性能,其中便有对减水剂的改性。
Plank[16]提出了硅烷改性的聚羧酸减水剂性能优越的原理: 一方面改性后表面有共价化学键,能形成共价键吸附,这种吸附力大于普通聚羧酸减水剂的静电吸附力,另一方面吸附结构更加伸展,能优化减水剂在水泥颗粒表面的覆盖率。孔祥明[17]和wei Fan[18]等都有合成硅烷改性聚羧酸减水剂,能与水泥颗粒产生化学吸附,且明显提高聚羧酸减水剂在水泥颗粒表面的吸附量,提高了水泥浆体的分散效果。
由此可见通过有机硅烷改性使聚羧酸减水剂修饰上含硅的活性基团提高其工作性能在理论上是完全可以实现的,这对于聚羧酸系高效减水剂的发展具有重要意义。本课题主要采用有机硅单体与甲基丙烯酸及甲基丙烯酸酯类单体进行三元共聚反应,合成有机硅修饰改性的聚羧酸高效减水剂;再尝试通过溶液反应和固相研磨两种方法使有机硅修饰改性后的聚羧酸高效减水剂嫁接在活性粉煤灰、石英砂、陶砂、硅灰等集料表面,用红外、NMR、电镜等手段表征其嫁接效果;最后对用有机硅修饰改性聚羧酸减水剂嫁接后的集料进行工作性能测试,测试其减水性能和对混凝土抗压强度的影响。
第二章 实验
2.1 仪器与试剂
2.1.1 仪器:
三口烧瓶(100mL),烧杯若干,球形冷凝管,油浴锅,磁力加热搅拌器,磁子,橡胶塞,氮气瓶,一次性注射器(1mL)。
2.1.2 试剂:
甲基丙烯酸(MAA,99%,Acros)、聚(乙二醇)甲基醚甲基丙烯酸酯(MAPEG,Mn~1100g/moL,Aldrich)、3-(三甲氧基硅基)丙基甲基丙烯酸酯(MAPTMS,98%,Acros)、4,4-偶氮双(4-氰基戊酸)(ACPA,≥98%,Fluka)、1-丁硫醇(BuSH,99%,Aldrich)、四氢呋喃(THF,gt;99%,Acros),氢氧化钠(固体)。
表2-1 试剂的物理参数:
名称  | 缩写  | Mr g/mol  | 性状  | 密度 g/cm-3  | m.p. /℃  | b.p. /℃  | 溶解性  | 
甲基丙烯酸  | MAA  | 86.09  | 透明液体  | 1.015  | 15  | 161  | 可溶于水  | 
3-(三甲氧基硅基)丙 基甲基丙烯酸酯  | MAPTMS  | 422.81  | 透明液体  | 0.918  | 113  | ||
4,4-偶氮双(4-氰基戊酸)  | ACPA  | 280.28  | 白色粉末  | ||||
1-丁硫醇  | BuSH  | 90.18  | 臭鼬气味 的无色液体  | 0.84  | -115.7  | 98.4  | 微溶于水  | 
四氢呋喃  | THF  | 72.11  | 无色易挥发液体乙醚的气味  | 0.89  | -108.5  | 66  | 可溶于水  | 
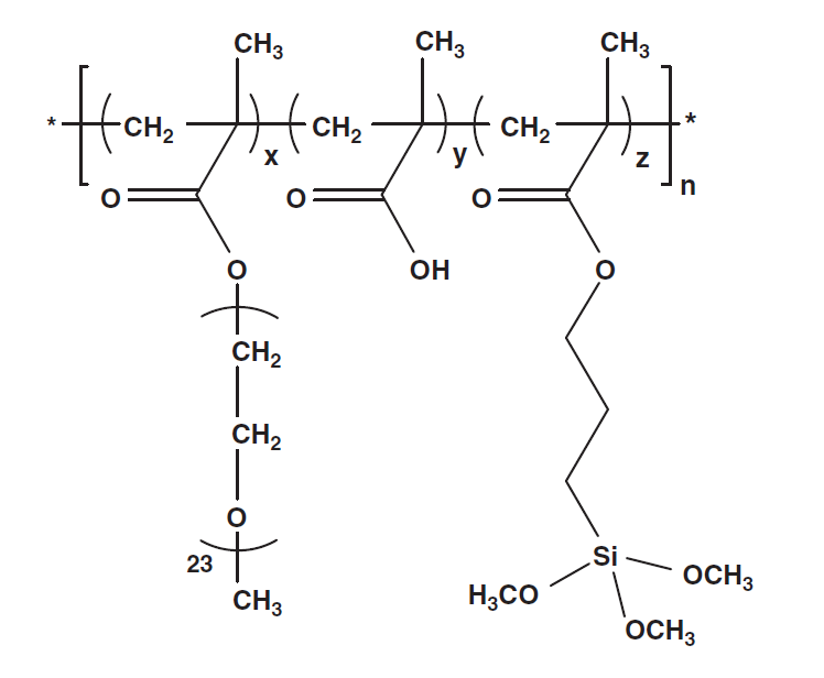
2.2 合成P(MAPEG40-co-MAA30-co-MAPTMS30)
2.2.1 .四氢呋喃的前处理
因为在在聚合反应中的单体有机硅对水敏感,遇水会水解生成—Si-OH(此过程在反应聚合中不可避免),溶剂四氢呋喃使用量大,有机硅单体的摩尔量较小,故溶剂中存在微量的水亦会使聚合产物中的有机硅烷基团含量严重降低,影响后续实验,所以对溶剂四氢呋喃除水操作是很有必要的。
将150~200mL四氢呋喃倒入250mL的细口瓶内,倒入过量的片状氢氧化钠,放置24h,在250mL圆底烧瓶中放入2g钠,倒入约150mL用NaOH处理过的THF,再加入沸石数粒,加热回流30min,冷却后改为蒸馏装置,接收64~68℃附近的馏分,产品储存于磨口瓶内备用。
2.2.2. 聚合反应
在干燥过的100mL三口烧瓶中,放入磁子,依次加入单体分子MAA(1.1809g,0.0136mol),MAPEG(20.0112g,0.0182mol),MAPTMS(3.3866g,0.0136mol) ,ACPA(0.1281g,0.4545mmol)和40.0mL处理过的四氢呋喃,通入氮气,开启搅拌,30min赶走装置中的游离的氧气后,用油浴缓慢加热至70℃,在通风橱,戴好口罩(因丁硫醇刺激性气味特别大,要严格注意防护),中用1mL的一次性注射器把BuSH(0.97mL,0.009mol)通过橡胶塞注射到混合物中,然后取出适量的溶液作为参考,用1H NMR法确定单体的转化率。持续通氮气保护并保持在此温度下保持24 h后,倒出混合液与一圆底烧瓶中,将混合溶液旋转蒸发,再把得到的无色粘稠状液体在室温下真空干燥,大约两天后可得白色固体聚合物,用药勺刮下倒出保存以供色谱检测及下一步实验使用。
2.3 集料与水泥
实验采用的微集料有四种,分别是:粉煤灰、石英砂、陶砂、硅灰,它们之间的主要区别在于物相表面的微观结构。不同集料表面的微观结构与含有机硅烷聚合物的反应性存在很大差异,通过四种不同微集料的反应可以在其中筛选出与聚合物反应最理想的微集料,然后再将最优的聚合物嫁接集料拌入混凝土中在进行下一步工作性能测试。
在减水剂性能测试时使用的水泥是标号为OP4.25的普通硅酸盐水泥。
2.4 集料的处理
2.4.1 粉煤灰(FA)的活化
粉煤灰(FA)是由煤燃烧产物的细颗粒组成。主要化学成分包括SiO2,Al2O3,FA微观结构由四面体阴离子[SiO4]4-和 [AlO4]5-构成,氧原子被两个四面体阴离子共享,阳离子的存在可以补偿四面体阴离子的负电荷,如Na 和Ca2 [19]。由于FA经过煤在高炉燃烧后的产物,高炉里的高温会使FA表面的—OH脱水缩合成Si-O-Si封闭的结构单元,反应活性大大降低。用碱激发活化后,Si-O-Si键断裂,形成硅羟基,如式(2.1)所示。
              (2.1)
因此要经过反应把有机硅氧烷改性的减水剂“嫁接”到FA上首先需要让其具有反应活性,即进行活化处理是非常有必要的。
粉煤灰用5mol/L的NaOH溶液于80~90℃搅拌回流6h。装置如图2-1所示,在干燥的500mL烧杯中称取60gNaOH,用量杯量取300mL去离子水,沿烧杯壁倒入烧杯中并不断搅拌,使热量均匀放出,冷却至室温。再取100g粉煤灰缓慢倒入500mL的三口瓶中,加入配好的NaOH溶液,开启搅拌,并加热,至85℃时开始计时。6h后停止加热抽滤分离出粉煤灰,并用去离子水不断淋洗滤饼,直至洗涤液接近中性(pH值在9以下即可),最后在烘箱中60℃恒温干燥直恒重(一般24h即可)。
图2-1 粉煤灰活化试验装置图
2.4.2 石英砂和陶砂的粉碎
石英砂(上海沪试试剂)和陶砂在使用前颗粒较大,需要磨碎处理,一方面磨碎后会有更大的接触面积,加快反应的速率;另一方面,要使各种集料的粒径大小相适应,控制单一变量,减小实验的系统误差。
先用在磨粉机中加入100~150g的,盖好盖子后拧紧螺栓,开启电源3~5min,关闭电源,取出样品。将磨碎后样品倒入0.050mm筛内,用小刷子轻拭,收集筛过的样品备用,没筛过的继续加入到磨粉机中研磨,重复操作,直至筛出足够实验需要的量,后收拾好仪器,打扫干净并在仪器使用记录簿上签字。
2.4.3 硅灰
硅灰可直接取用,不用做任何的前处理工作。
2.5 后合成法合成功能微集料
嫁接法,也称后合成法。通常要经过一步或多步反应过程。该方法中有机功能基一般通过有机硅氧烷在已经制备的含活性二氧化硅的表面直接反应而被引入到需要引入的结构表面。其他官能团可通过共价键或分子识别被固定在预先引入的功能基上。相似地,预先被引入的官能团通过化学反应也可被转化成其他功能基。特定有机硅氧烷被嫁接到先形成的表面通常被用于引入有机功能基。功能基的分布以及浓度受到各种因素的影响,比如,有机硅氧烷的反应性以及他们与物相表面硅羟基的作用力,以及分子扩散和空间立体因素的限制因素等等。
以上是毕业论文大纲或资料介绍,该课题完整毕业论文、开题报告、任务书、程序设计、图纸设计等资料请添加微信获取,微信号:bysjorg。
相关图片展示:







您可能感兴趣的文章
- BN嵌入型四苯并五苯:一种工具高稳定性的并五苯衍生物外文翻译资料
 - MoS2和石墨烯作为助催化剂在增强的可见光光催化H2生产活性的多臂CdS纳米棒的作用外文翻译资料
 - 通过在BiVO4的不同晶面上进行双助剂的合理组装制备高效率的光催化剂外文翻译资料
 - 非编码RNA的固相合成研究外文翻译资料
 - 氢化驱动的导电Na2Ti3O7纳米阵列作为钠离子电池阳极外文翻译资料
 - 高能量及功率密度的可充电锌-二氧化锰电池外文翻译资料
 - 利用导电聚合物纳米线阵列来增强电化学性能外文翻译资料
 - 自支撑Na2Ti3O7纳米阵列/石墨烯泡沫和石墨烯泡沫准固态钠离子电容器电极外文翻译资料
 - 基于碳纳米管金纳米粒子辣根过氧化物酶构建的过氧化氢生物传感器毕业论文
 - 新型联二吡啶Pt(II)炔配合物的设计、合成及光物理性质研究毕业论文
 

        
            
