新型镍氢电容电池的研发毕业论文
2020-02-19 12:23:09
摘 要
本论文主要探究了以不同活性物质质量比例组装的新型镍氢电容电池的比容量的变化及其相关电化学性能的改变。利用XRD、SEM等常规表征方法对合成的电极材料进行表征,并采用恒电流充放电法、循环伏安法等电化学测量方法对制作的正负电极及超级电容器进行电化学性能的测试,深入的研究了不同活性物质质量比例的正负极电极片对组装出的超级电容器的各项电化学性能的影响。
首先,利用自组装法合成纳米钴/氮掺杂介孔碳复合材料,使用微波法合成氢氧化镍/碳纳米管复合材料,然后分别以这两种材料为负极和正极的活性物质制作出不同规格大小的电极片并在30wt% KOH水溶液中组装出超级电容器,最后测试以1:1、1:2、1:3、1:4不同比例组装出的新型镍氢电容电池的电化学容量、库仑效率和循环特性等。
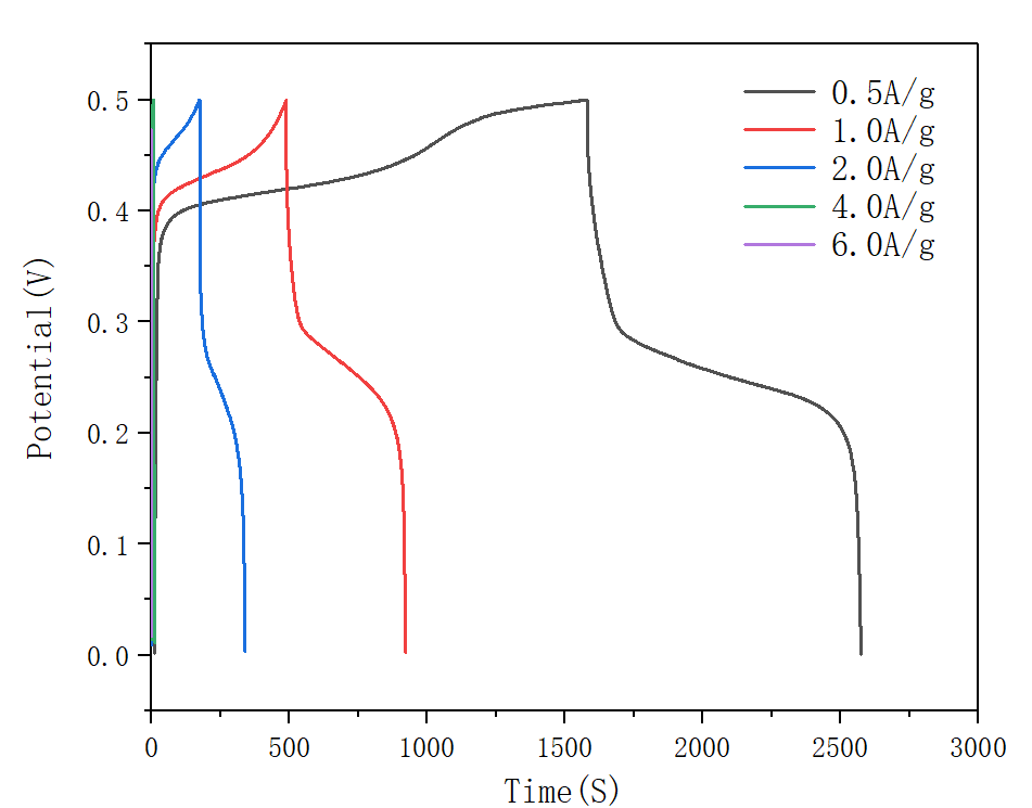
实验结果表明,当正极活性物质的质量与负极活性物质的质量之比为2:1时,在以100mA g-1的电流密度进行恒电流充放电时该镍氢电容电池有最大的比容量,为269.1 mAh g-1。
关键词:超级电容器;镍氢电容电池;电化学容量;水相体系
Abstract
This paper mainly explores the change of the specific capacitance and its related electrochemical properties of a new Ni-MH capacitor battery assembled with different active substance mass ratio. Microstructure characterization and specific morphology analysis of synthetic electrode materials by XRD, SEM and other conventional characterization methods,The electrochemical properties of positive and negative electrodes and supercapacitors were tested by electrochemical measurement methods, like Chronopotentiometry(CP)and Cyclic Voltammetry(CV) .The effects of positive and negative polar electrode tablets on the electrochemical properties of the assembled supercapacitors were studied in depth by studying the mass ratio of different active substances.
Firstly, nano-cobalt/nitrogen doped mesoporous carbon composites were synthesized by self-assembly method, and nickel hydroxide/carbon nanotube composites were synthesized by microwave method. Then,we produced electrodes of different sizes with these two materials as active substances of the cathode and anode, and assembled supercapacitors in a 30wt% KOH aqueous solution. Finally, the electrochemical properties of positive and negative electrode tablets and the electrochemical capacity, Coulomb efficiency and cyclic characteristics of supercapacitors assembled in different proportions of m (anode active substance) : m (cathode active substance)=1:1, 1:2, 1:3 and 1:4 were tested respectively.
The results indicate that when the mass ratio of positive active material to negative active material was 2:1, the capacitors had the maximum specific capacitance when they were charged and discharged at a constant current density of 100mA g-1,the specific capacitance was 269.1 mAh g-1.
Key Word:Supercapacitor ;Ni-MH capacitor battery; Electrochemical Capacity;Water system
目录
摘 要 I
Abstract II
第1章 绪论 1
1.1前言 1
1.2 超级电容器简介 1
1.3 氢氧化镍电极材料的简介 2
1.4 本论文的研究意义与主要内容 3
第2章 实验样品的合成 4
2.1实验试剂与仪器 4
2.1.1 实验试剂 4
2.1.2 实验仪器 4
2.2 实验样品的制备 5
2.2.1纳米钴/氮掺杂介孔碳复合材料的制备 5
2.2.2氢氧化镍/碳纳米管复合材料的制备 5
2.3 镍氢电容电池的组装 6
2.4 样品表征方法 7
第3章 电化学测试 9
3.1 电化学测试方法 9
3.2正负极材料的电化学测试 11
3.3电容器的电化学测试 12
第4章 结果与讨论 13
4.1材料的表征结果 13
4.1.1材料的XRD表征结果 13
4.1.2材料的SEM表征结果 14
4.2电极片的电化学测试结果 15
4.3电容器的电化学测试结果 17
第5章 结论 20
参考文献 21
致谢 23
第1章 绪论
1.1前言
随着科学技术的发展和经济全球化浪潮的到来,全球范围内的人口数量和经济总量呈现出指数型的爆炸增长,伴随而来的问题则是传统化石燃料的殆尽和人类生存环境的污染[1]。特别是全球变暖、臭氧空洞等一系列环境问题的发现后,全球范围内的节能减排也被正式提上联合国可持续发展峰会,成为全球可持续发展的主要目标之一。在传统化石燃料消磨殆尽的严峻形势下,人类将目光与研究对象转向更加环保与可持续发展的二次能源上,如太阳能、潮汐能、核能、地热能等新型能源。然而伴随着工业革命的一次次大爆发,象征着电气化时代的电能也正式成为现阶段内无法被取代的一大能源[2]。因此,高效的电能存储和转化装置的开发成为全世界科学家研究和发展的目标之一。
目前,先进储能体系的两个主要研究和发展领域为电池以及电容器。电容器作为一种高效的电能存储与转化装置,能够满足人们对于电能存储装置的各项电化学性能要求,比如:存储能量大、功率密度高、充放电速度快、循环寿命长等。同时,电化学电容器作为一种清洁无污染的能源存储装置,广泛的应用于便携式电子设备、电动汽车和各种其他设备中。目前大多数商用级别的超级电容器都是基于高表面积碳材料的对称双层电容器(EDLCs) [3],这种电容器的比电容通常为4 F g−1,能量密度约为3 Wh kg−1,功率密度一般为3-4 kW kg−1。这种商用超级电容器的主要瓶颈在于提高其能量密度,因此,科研人员利用过渡金属氧化物来开发出含有双电层电容器电极和非极化电极的不对称超级电容器。
1.2 超级电容器简介
近年来,超级电容器或电化学电容器的研究是各国科研人员所努力发展的领域之一,因为超级电容器独特的构造及其充放电性能可以让其能在较短的时间内提供比现阶段锂离子电池更高的功率密度和比传统介电电容器更大的能量密度。研究表明,超级电容器的比能量密度是传统介电电容器的几十倍到几百倍左右,其比功率密度又比锂离子电池高出约十几倍左右,因此,超级电容器可以在瞬间提供较大的能量并且在较短的时间内再次充满电。基于这个特性,超级电容器被广泛的使用于电动汽车或者其他高性能跑车中用以在汽车起步阶段提供较大的动力输出或者在车辆爬坡时提供额外的动力[5]。
对于其组成结构而言,超级电容器与锂离子电池及其他储能器件的结构较为类似,都是由电极片、电解液、隔膜等几大主要器件组成。电极片主要为化学活性物质和集流体压制而成,其中化学活性物质为超级电容器的最重要组成部分,它决定着超级电容器的种类和电容器的库伦效率及比容量,集流体主要为泡沫镍,起到传递电极电子和降低电容器内阻的作用[6]。电解液为电容器组装和工作的场所,其为电容器的电化学反应提供了必需的阴阳离子,电解液按照其组成成分的不同又可分为水相电解液和油相电解液,一般电容器的电解液多为碱性水相电解液。隔膜主要起着隔离正负极防止电容器因正负电极的接触为造成短路及传递电解质离子的作用,一般为纤维结构的不导电材料,如聚丙烯等[7]。
按照电容器工作机理的不同,可以将超级电容器分为双电层电容器、法拉第电容器和混合超级电容器[8]。不同类型的分类决定了电容器有着不同的工作模式及差别较大的电化学性能。双电层电容器是最早研究并制作出的一种电容器,其电容产生的机理较为简单,是依靠溶液与电极界面通电后由于电极的极化和溶液中电解质离子的迁徙从而形成的双电层。作为最原始的一种电容器,双电层电容器的电层厚度仅有几纳米,产生的电容值也远远无法满足大规模的商用价值。双电层电容器的充放电工作原理为,充电过程中,外加电流通过导线流入到电容器的正极板上,再从电容器的负极板流回到电源。此时,电容器的正负极板间形成一个电场,在电场的存在下,溶液中的阴阳离子会受到电场力的作用分别向电容器的正、负电极表面聚集,从而形成了双电层,能量便得到储存[9];放电时,极板上存储的电荷通过外电路形成电流并作用于用电器上,同时电极附近的阴阳离子再次回到溶液中,完成一个循环。相比之下,法拉第赝电容电容器的储能机理则较为复杂,在充电过程中,电容器极板上及溶液中离子的的变化与双电层电容器类似。不同的是,在离子扩散到电极表面后,这些离子会与电极材料中的不同种类的活性物质发生电化学反应从而进入到电极材料的内部,此时存储的能量就会大于双电层电容器存储的电能[10];在放电时,电荷将经由外电路被消耗掉,而进入电极材料内部的离子会重新回到电解质溶液中。对于法拉第电容器而言,因为其电极表面和内部都可以储存电能,所以在相同的电极面积上,法拉第电容器产生的比电容远远大于双电层电容器的比电容。混合型超级电容器是近年来研究较多的一种超级电容器,因为它同时具有法拉第赝电容电容器和双电层电容器的特性,是对法拉第电容器和双电层电容器的一种衍生,它多是由这两种电容器的正负极材料结合组装形成的。通俗地讲,混合型超级电容器就是将法拉第超级电容器的一个电极和双电层超级电容器的一个电极组装起来形成的[11],其储能机理与以上两者一样。
1.3 氢氧化镍电极材料的简介
氢氧化镍是一种层状结构的氢氧化物,现代化学的研究发现,镍的氢氧化物晶体共有四种不同的结构[2,12],分别为α-Ni(OH)2、β-Ni(OH)2、β-NiOOH、γ-NiOOH。这四种不同的晶型结构都可以看做是由片状NiO2层堆积而成[13],但是不同晶型的层间距和层间离子种类有很大的差别。其中α-Ni(OH)2是以c轴为对称轴的漩涡结构,其NiO2层间距没有固定值,平均距离为0.8纳米;β-Ni(OH)2为六方晶系,晶粒沿着a轴方向生长,并在c轴叠层,其NiO2的层间距为0.46纳米;β-NiOOH也为六方晶系,其NiO2层间距为4.8纳米;γ-NiOOH为准六方晶系,层间距为0.7纳米[14],层间可容纳水分子或者其他金属离子杂质等。
Ni(OH)2因其较高的理论比电容(2083 F g-1)而被科研工作者所重视。同时,与其他研究较多的电极材料相比,Ni(OH)2电极材料又因其结构简单,制备方法多样,成本低廉而被广泛的使用在超级电容器电极材料中。氢氧化镍在电化学电容器的电极反应中主要有两种晶体结构的转变,其电极电化学反应方程式如下[15]:
该过程中,Ni2 被氧化至更高价态的Ni3 并释放出一个质子,此时会有一个质子空穴出现,该质子则与电解质溶液中的OH-发生反应。相反,在还原过程中,质子则由电极/电解液表面进入此前形成的质子空穴中,完成还原反应。
Ni(OH)2电极材料的制备方法有许多种,如:沉淀法、溶胶凝胶法、微波法、电解法等[16]。因此,科研工作者一直在寻找一种便捷、安全的合成方法。现阶段,为了改善Ni(OH)2电极材料的导电性能及充放电过程中的循环稳定性等电化学性能,人们对于Ni(OH)2电极材料的制备已经不单单局限于对Ni(OH)2晶体材料的制备,更多的是研究不同种类的添加剂对于Ni(OH)2电极材料各项性能的影响,例如Al添加剂、Co添加剂、Zn添加剂、Fe添加剂、Mn添加剂、稀土添加剂等。本文主要研究的是Ni(OH)2掺杂碳纳米管后的电化学性能的改善,使用的合成方法则是微波加热法。
1.4 本论文的研究意义与主要内容
基于超级电容器的高容量存储和快速充放电特性以及氢氧化镍的高比电容性质,我们组装出一种以氢氧化镍/碳纳米管为正极材料,纳米钴/氮掺杂介孔碳为负极材料的超级电容器。为了得出该电容器的最优电极材料质量比例以便在获得最大的电化学性能时减少制造成本,我们不断的调整改变两个电极片的活性物质的比例,然后测试电容器在不同的活性物质比例下的比容量和循环特性曲线,从而得到该电容器的最优电极材料质量比。
本文的主要内容如下:
(1)利用自组装法合成纳米钴/氮掺杂介孔碳复合材料、利用微波法合成氢氧化镍/碳纳米管复合材料,实验过程中测量了不同的实验温度、pH值对样品合成的作用。
(2)将以上两种材料进行处理后,对其做XRD、SEM等材料结构的表征,然后将其压制成不同规格的电极片,在30wt% KOH水溶液体系中利用电化学工作站测试其电化学性能。
(3)将正极和负极电极片以不同比例组装成电容器,在Land电池测试系统上进行测试,从而得到最佳的质量比例。
第2章 实验样品的合成
2.1实验试剂与仪器
2.1.1 实验试剂
表2.1 实验试剂
名称  | 分子式  | 规格  | 厂家  | ||
六水合硝酸钴  | Co(NO3)2•6H2O  | 
  | 
  | ||
六亚甲基四胺  | C6H12N4  | 
  | 
  | ||
六水合硝酸镍  | Ni(NO3)2•6H2O  | 
  | 
  | ||
尿素  | CO(NH2)2  | 
  | 
  | ||
硝酸  | HO3  | 
  | 
  | ||
硫酸  | H2SO4  | 
  | 
  | ||
氢氧化钾  | KOH  | 
  | 
  | ||
其他试剂:导电石墨、多壁碳纳米管、聚四氟乙烯乳液、丙酮、无水乙醇、双蒸水
2.1.2 实验仪器
以上是毕业论文大纲或资料介绍,该课题完整毕业论文、开题报告、任务书、程序设计、图纸设计等资料请添加微信获取,微信号:bysjorg。
相关图片展示:







您可能感兴趣的文章
- BN嵌入型四苯并五苯:一种工具高稳定性的并五苯衍生物外文翻译资料
 - MoS2和石墨烯作为助催化剂在增强的可见光光催化H2生产活性的多臂CdS纳米棒的作用外文翻译资料
 - 通过在BiVO4的不同晶面上进行双助剂的合理组装制备高效率的光催化剂外文翻译资料
 - 非编码RNA的固相合成研究外文翻译资料
 - 氢化驱动的导电Na2Ti3O7纳米阵列作为钠离子电池阳极外文翻译资料
 - 高能量及功率密度的可充电锌-二氧化锰电池外文翻译资料
 - 利用导电聚合物纳米线阵列来增强电化学性能外文翻译资料
 - 自支撑Na2Ti3O7纳米阵列/石墨烯泡沫和石墨烯泡沫准固态钠离子电容器电极外文翻译资料
 - 基于碳纳米管金纳米粒子辣根过氧化物酶构建的过氧化氢生物传感器毕业论文
 - 新型联二吡啶Pt(II)炔配合物的设计、合成及光物理性质研究毕业论文
 



        
            
