含氟硼荧的双季铵盐化合物与葫芦脲的组装及应用毕业论文
2020-06-20 19:11:09
摘 要
随着科学技术的发展,超分子化学在众多领域都有着很多应用,同时也发挥着巨大的潜在价值,比如功能材料、生物医药等方面,近些年这些领域也逐步发展为热点,其中作为第四代主体大环分子的葫芦脲家族CB[n]因其特殊的结构和性能而备受科学家们的瞩目。
本文研究了化合物QA与CB[7]在溶液中通过非共价键作用力组装形成准轮烷QA⊂CB[7]的过程以及体系pH变化对准轮烷超分子的穿梭性能的影响。通过荧光滴定研究表明,主体CB[7]与客体QA以1:1结合。通过pH的改变调控准轮烷QA ⊂CB[7]的研究表明,准轮烷QA ⊂CB[7]体系中,通过pH的改变调控客体荧光分子上活性基团的质子化来使得主体CB[7]在双季铵盐段(station1)和脂肪链亚甲基段(station2)往返穿梭。在中性/弱碱性溶液中,CB[7]与QA的station1结合,增强荧光分子刚性,荧光强度增强,station1中芳环上的氢由于主体CB[7]包结的屏蔽作用向高场移动,而station2上的氢受到CB[7]端口羰基去屏蔽作用而向低场移动;当调节体系至酸性时,羧酸根质子化为羧基并与CB[7]腔口的羰基形成氢键,由于氢键作用CB[7]从化合物QA的station1滑动至station2,导致荧光分子刚性降低,体系荧光强度的变弱,station2的脂肪链亚甲基上的氢受到屏蔽作用向高场移动。
研究结果表明,本文合成了荧光客体化合物QA和主体化合物CB[7],主体CB[7]与QA形成准轮烷QA ⊂CB[7],该类组装体具有灵敏度高和易于检测的荧光输出信号的性能。
关键词:超分子化学 葫芦[7]脲 双季铵盐二阳离子化合物 准轮烷
Assembly and Application of Bisquaternary Ammonium Salt Containing BODIPY⊂ Cucubituril
ABSTRACT
Supramolecular chemistry has attracted the attention of the chemists for its vast potential application in functional materials, catalyst chemistry, medicine and data storage. In supramolecular chemistry, host-guest chemistry describes assembly of host and guest by noncovalent bonds. One of the most popular macrocyclic hosts is cucurbituril with hydrophobic cavity and polar carboyl in rim, therefore, the host-guest assembly based on cucurbituril received much attention.
The process of Assembling of CB[7] with compounds QA, respectively, into pseudorotaxanes QA⊂CB[7] in the solution and the shuttling effect of QA⊂CB[7] by adjusting the pH of solution were investigated. Results of fluorescent titration indicated 1:1 complexing between compound CB[7] and the guest molecules. CB[7] were encapsulated in bis-quaternary ammoniums units (station1) in neutral / weak alkaline conditions to result in upfield of hydrogen chemical shifts on the aromatic ring by shielding effect and downfield of hydrogen chemical shifts on the aliphatic chain by deshielding effect. In addition, when the solutions were changed into acidic the NMR study clearly indicated the switching of CB[7] from bis-quaternary ammoniums (station1) to pentamethylene spacers (station2) by hydrogen bond effect between carboxyl group and carbonyl in rim of CB[7], accompanied with the fluorescence intensity decrease and the hydrogen upfield of hydrogen chemical shifts on the aliphatic chain by shielding effect.
In summary, the guest compounds QA and host CB[7] were synthesized, and the assembly into pseudorotaxanes QA⊂CB[7] in the solution were constructed. These assemblies have high sensitivity and were easy to test.
KEYWORDS:Supramolecular chemistry;Cucubit[7]uril;Bis-quaternary ammoniums; Pseudorotaxanes;
目 录
摘 要 I
ABSTRACT II
第一章 文献综述 1
1.1 主客体化学研究进展 1
1.1.1 主客体化学概念 1
1.1.2 主客体化学中的主体类型 1
1.2 基于葫芦脲的主客体化学 2
1.2.1 葫芦[n]脲的发现 2
1.2.2 葫芦[n]脲的结构与性质 3
1.3 以CB[n]为主体的主客体化学的研究进展 3
1.3.1 以CB[6]为主体的主客体包结物 3
1.3.2 以CB[7]为主体的主客体包结物 4
1.4 葫芦[n]脲的应用研究 4
1.4.1 囊泡 5
1.4.2 制备色谱固定相 5
1.4.3 分子开关 6
1.4.4基于CB的反应容器(超分子催化剂) 7
1.4.5超分子水凝胶 7
1.5 本论文的研究目的及主要内容 7
第二章 主体葫芦[7]脲的合成与表征 8
2.1 引言 8
2.2 实验部分 9
2.2.1 试剂与仪器 9
2.2.2 合成原理 10
2.2.3 实验方法——葫芦[7]脲的合成 10
2.3 结果与讨论——葫芦[7]脲的结构表征 11
2.4 本章小结 12
第三章 QA的合成及QA⊂CB[7]准轮烷的组装与应用 13
3.1引言 13
3.2 试剂与仪器 14
3.3 合成原理 15
3.4 结果与讨论 16
3.4.1 化合物QA的荧光光谱特性 16
3.4.2 QA⊂CB[7]准轮烷构建过程的荧光特性 17
3.4.3 QA⊂CB[7]准轮烷包结特性 18
3.4.4 pH调控QA⊂CB[7]准轮烷穿梭特性的荧光分析 18
3.5 本章小结 20
第四章 结论与展望 21
4.1 结论 21
4.2 展望 22
参考文献 23
附图 26
致谢 27
第一章 文献综述
多年来,科学的研究和进步都是伴随着人类需求的脚步。材料的性能愈加影响这人类的生产和生活,对材料化学的深入钻研得到了专家们的重视,并且取得了很多成绩。令人耳熟能详的是,用于航空航天的耐高温、超清材料,以及被军事产业利用的吸波低反射材料,还有用于医疗器械制作的安全稳定高分子材料和在常见显示器中利用的低辐射高性能材料技术,这些材料的发现和发展给人类文明和生活带来了巨大的进步。
1.1 主客体化学研究进展
1.1.1 主客体化学概念
主客体化学是由两个以上的分子、离子通过非共价键相连,构成结构特定同时具有稳定性质的组装化合物。主客体之间具有氢键作用、范德华力、配位键和亲疏水作用力、分子偶极作用力,从十几年的发展历程来看,研究者们发现了一系类的主体大分子,如:冠醚、环糊精、杯芳烃和葫芦脲等。
1.1.2 主客体化学中的主体类型
主客体化学是德国科学家Fischer在1890年研究酶与底物相互作用时提出的。随后,伴随着越来越多的主客体分子和分子间作用力的发现,人类对于主客体化学的认识也越来越深刻。1920年Wendell教授[1]提出了分子间氢键作用,这种分子间非共价键作用力对于超分子化学的发展有着重要的意义。
葫芦脲(CB[n])是20世纪80年代才逐渐被人类认识的第四代大环化合物,CB[n]作为大环化合物与前几代大环化合物相比有着很多方面的优势。CB[n]家族有着不同尺寸的化合物CB[5-10],可以用来包结大小不一的客体化合物。CB[n]家族与客体化合物包结有着很强的包结能力。CB[n]与客体分子的平均包结常数Ka=103.4要比环糊精的102.5高出一个数量级。本文将围绕以CB[n]为主体的主客体化合物的合成和包结组装性能的研究,因此将重点阐述CB[n]的合成和包结组装性能的研究进展。
1.2 基于葫芦脲的主客体化学
1.2.1 葫芦[n]脲的发现
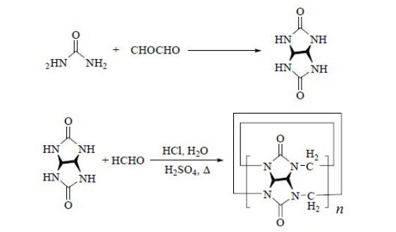
在1905年,Behrend[2]等人首次发现了甘脲和过量甲醛在稀盐酸的催化条件中反应得到一种白色沉淀。此类化合物具备疏水的结构特征,不能被一般常见的有机溶液所溶解,同时被热的浓硫酸处理过后,一种新的大环形化合物由此出现,但是由于被当时的条件所限制,无法给出准确结构,只能通过计算初步推测该化合物的化学式为C10H112N7O4·4H2O。
相关图片展示:







您可能感兴趣的文章
- BN嵌入型四苯并五苯:一种工具高稳定性的并五苯衍生物外文翻译资料
- MoS2和石墨烯作为助催化剂在增强的可见光光催化H2生产活性的多臂CdS纳米棒的作用外文翻译资料
- 通过在BiVO4的不同晶面上进行双助剂的合理组装制备高效率的光催化剂外文翻译资料
- 非编码RNA的固相合成研究外文翻译资料
- 氢化驱动的导电Na2Ti3O7纳米阵列作为钠离子电池阳极外文翻译资料
- 高能量及功率密度的可充电锌-二氧化锰电池外文翻译资料
- 利用导电聚合物纳米线阵列来增强电化学性能外文翻译资料
- 自支撑Na2Ti3O7纳米阵列/石墨烯泡沫和石墨烯泡沫准固态钠离子电容器电极外文翻译资料
- 基于碳纳米管金纳米粒子辣根过氧化物酶构建的过氧化氢生物传感器毕业论文
- 新型联二吡啶Pt(II)炔配合物的设计、合成及光物理性质研究毕业论文


