基于多苯胺酰草酸的氢键超分子自组装研究毕业论文
2020-06-12 20:22:46
摘 要
通常连在电负性较大的原子X(N,O,F)上的氢被称作经典的氢键,它与一些其他同类的电负性大的原子Y(N,O,F)结合,生成X-H…Y形式的一种特殊的方法。超分子化学中的热力学性质、微观自组装、结晶及液晶行为受氢键的选择性和可逆性的影响,由于此在超分子自组装中有重要的地位。氢键型超分子聚合物是氢键型晶体的另一种说法,是重复单元经氢键相互作用连接在一起的阵列,通过自组装作用,液晶态多样化的几何形状和高有序的凝聚态结构从而生成。氢键型晶体适合通过XRD射线衍射方法测定其物质结构,进而研究氢键在超分子自组装中的机理。
形成氢键型超分子聚合物的一种规律:即有机弱酸和弱碱之间,容易产生质子的不完全传递,通过溶液生成法可以得到氢键型晶体。本论文选定多苯胺酰草酸或多苯羧酸与多种有机弱酸(碱),分别作为氢键的受体和给体进行尝试。发现配制含对苯二甲酸和乙二胺的化学浓度分别为0.56 mol·L-1和1.0 mol·L-1的混合溶液,静置5天后,有无色的柱状晶体生成,通过XRD测定其化学式为[C8 H4 O4][C2 H10 N2 ],并通过XRD技术表征其晶体结构,属于单斜晶系,P21/n空间群,a=7.4690 Ǻ,b=9.2450 Ǻ, c=8.3910 Ǻ, α=90°, β=115.13(3)°, γ = 90°。晶体中每个对苯二甲酸贡献出两个质子形成对苯二甲酸根,而乙二胺则接受两个质子形成乙二铵,在乙二铵和对苯二甲酸根之间存在广泛的氢键,该晶体是基于氢键作用的超分子自组装产物。
关键词:超分子自组装,氢键型晶体,多苯胺酰草酸/多苯羧酸
Abstract
The classical hydrogen bond is a special form of the form of XH ... Y in the form of hydrogen, which is connected to the atoms X (N, O, F) of the electronegativity, and the other atoms with large electronegativity Y (N, O, F) Of intermolecular or intramolecular forces. The selectivity and reversibility of hydrogen bonds have important effects on the thermodynamic properties, micro - self - assembly, crystallization and liquid crystal behavior of supramolecular chemistry, and are widely concerned in supramolecular self - assembly. Hydrogen-bonded crystals are also hydrogen-bonded supramolecular polymers. They are arrays of repeating units connected by hydrogen bonding. They can be self-assembled to produce a variety of crystalline states and highly ordered condensed structures. The hydrogen bond type crystal is suitable for the determination of the material structure by XRD - ray diffraction method, and then the mechanism of hydrogen bonding in supramolecular self - assembly is studied.
The formation of hydrogen-bonding super-molecular polymer of a law: that is, between the organic weak acid and weak base, easy to produce incomplete proton transfer, through the solution generation method can be hydrogen-type crystal.In this paper, polyaniline oxalic acid or polybenzene carboxylic acid and a variety of organic weak acid (alkali) were selected as the hydrogen bond receptor and donor respectively. It was found that the mixed solution containing 0.56 mol·L-1 and 1.0 mol·L-1 containing terephthalic acid and ethylenediamine was prepared. After standing for 5 days, the colorless columnar crystals were formed by XRD. The chemical structure is [C8 H4 O4] [C2 H10 N2] and its crystal structure is characterized by XRD, which belongs to monoclinic system, P21 / n space group, a = 7.4690 Ǻ, b = 9.2450 Ǻ, c = 8.3910 Ǻ, α = 90 °, β = 115.13 (3) °, γ = 90 °. Each terephthalic acid in the crystal contributes two protons to the formation of terephthalate, while the ethylenediamine receives two protons to form the diammonium, and there is extensive hydrogen between the diammonium and terephthalate Bond, which is a supramolecular self-assembly product based on hydrogen bonding.
Keywords: Supramolecular selfassembly, hydrogenbonding type crystals, polyaniline oxalic acid / polyphenylacetic acid
目录
第一章 综述 2
1.1超分子聚合物概念的提出和发展 2
1.2超分子自组装的概念 2
超分子自组装利用非共价键之间的动态可逆过程,使他们成为智能材料的出色候选人,吸引了越来越多人的关注。 3
1.3超分子组装体结构表征及方法 3
1.4氢键的种类 3
1.4.1醇类 3
1.4.2羧酸 4
1.4.3 酰胺 4
1.4.4 α-氨基酸 5
1.5 氢键的自组装作用 5
1.5.1单纯氢键作用及氢键聚合体 5
1.5.2氢键与其他非共价键协同作用形成超分子聚集体 7
1.5.2.1氢键与π-π堆积作用 7
1.5.2.2 氢键与配位作用 8
1.6氢键在分子组装中的作用和意义 8
第二章实验部分 9
2.1仪器与试剂 9
2.1.1 实验仪器 9
2.1.2 实验试剂 9
2.1.3测试仪器 9
2.2 实验步骤及现象记录 10
2.2.1三聚氰胺分别与L1和L2两种多苯胺酰草酸尝试单晶合成 11
2.2.2三聚氰酸分别与L1和L2两种多苯胺酰草酸尝试单晶合成 11
2.2.3二氰二胺分别与L1和L2两种多苯胺酰草酸尝试单晶合成 12
2.2.4乙二胺分别与L1和L2两种多苯胺酰草酸单晶合成 13
2.2.5草酸分别与L1和L2两种多苯胺酰草酸单晶合成 13
2.2.6均苯三甲酸分别与L1和L2两种多苯胺酰草酸单晶合成 14
2.2.7均苯三酚分别与L1和L2两种多苯胺酰草酸单晶合成 14
2.2.8对苯二甲酸和乙二胺尝试单晶合成 15
2.3样品晶体结构的表征 15
第三章结果与讨论 16
3.1测试结果 17
3.2 讨论 21
3.2.1 晶体结构讨论 23
3.2.2 合成条件讨论 24
第四章结论与展望 24
4.1 结论 25
4.2 展望 25
参考文献 25
致谢 27
第一章 综述
1.1超分子聚合物概念的提出和发展
1922年,聚合物被Staudinger(诺贝尔化学奖得主)提出。他指出聚合物是由长链大分子构成,并开辟了聚合物化学研究领域,从此长足的发展在共价键聚合物科学与工程中进行。在提出超分子化学概念Lehn教授(诺贝尔化学奖得主)的倡导下,超分子聚合物科学与工程包括超分子聚合物化学(合成与机理)、超分子聚合物物理(结构与性质)和超分子聚合物工程(加工与应用)也在上个世纪末蓬勃发展起来[1]。
超分子是一门刚刚兴起的学科,化学领域对它的研究热情不断。非共价键之间的相互作用必须足够强是它的基本要求,除此之外一定的聚合度[2,3]也是必须的,构造聚合物的新手段之一就是对非共价键之间相互作用。由于非共价键之间相互作用的内在性质不同,我们可以将超分子聚合物分为氢键型、配位型或称为金属-超分子聚合物、P-P堆叠型、离子型和混合型[3]。
超分子化学是一个处于近代化学,材料科学和生命科学交汇点的新兴的跨学科的研究领域。超分子的研究已从基础方面研究渐渐趋于高技术的应用,它淡化了有机化学,无机化学,生物化与材料科学之间的界限,为分子器械,材料科学和生命科学的发展开辟了一条崭新的道路,是二十一世纪化学发展的一个重要方向。
1.2超分子自组装的概念
超分子自组装是指分子与分子在一定条件下,依赖非共价键分子间作用力自发连接成结构稳定的分子聚集体的过程,分子间弱的相互作用力的协同作用,为分子自组装提供了很多的能量。

超分子自组装利用非共价键之间的动态可逆过程,使他们成为智能材料的出色候选人,吸引了越来越多人的关注。
1.3超分子组装体结构表征及方法
选区电子衍射有利于超分子组装体在几个纳米尺度上晶体结构的研究,高分辨电镜有利于分析样品微区组分,这些都能对超分子组装体的化学组成及结构进行表征。核磁共振技术有利于对超分子组装体在溶液中的结构和其结构变化进行研究。
氢键型超分子聚合物亦指氢键型晶体,是一种容易在水溶液通过氢键自组装得到的晶体,适合通过XRD射线衍射方法测定其物质结构,进而研究氢键在超分子自组装中的机理。
1.4氢键的种类
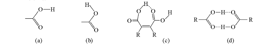
氢键是我们日常生活中经常见到的一类化学键,它的种类的划分有多种不同方法,而下面介绍几种最常见的。氢键结构见图1.1,这里表明了给体、受体和静电荷性质[6]。羧基-吡啶,羧基-叔胺,羧基-咪唑,酚羟基-叔胺,酚羟基-吡啶,酚羟基-脲羰基等之间都能得到稳定的氢键[7]。

图1.1氢键的结构
1.4.1醇类
醇指分子中有跟烃基或苯环侧链上的碳结合的羟基的化合物。常见的醇有:甲醇、乙醇、甘油三醇、乙二醇等。ROH型分子中最简单的是水,冰的结构为六方晶形,两个氧原子之间的氢键大约是0.45nm。而这当中锯齿形的氢键链和这种氢键链的形状相似,存在于很多醇的晶体结构中,比如小分子的甲醇和大分子的CnH2n 1OH,(n=16,24)结构与之类似。
1.4.2羧酸
羧基拥有顺式平面(synp lanar,7a)和反式平面(antip lanar,图 7b)这两种结构。顺式平面更为常见和稳定[9] ,而反式平面差不多只有在O—H键参加分子内OHO键时才有可能发生(图2c)。Ha型分子几乎不会构成分子间OHO键。羧酸在顺式结构中通常情况下形成环状二聚体2R2(8) (图2d)。只有在少数RCO2 H分子中才会出现悬链式结构单元(catemer motif )C(4)。

图1.2羧基的两种异构形式及其形成氢键的两种方式
a, b分别为顺、反羧基; c, d分别为羧基形成的分子内和分子间氢键
1.4.3 酰胺
NHOC中的氢键在分子生物学领域地位相当的突出。Kennard和 Versichel[16]对一些分子间NHOC氢键的几何构型进行过探究,其中O原子能够得到一个或两个氢原子(图1.3a,b)。用Hs和Ha分别通过标记酰胺的两个氢原子来表示同羰基正反两方向的氢原子(图1.3c~e)。酰胺分子能够形成种类多样的氢键,它的类型由OCNH基团的构型决定。采用何种排列方式主要由剩余基团Rc和RN[ 17 ]决定。NHaO 更容易构出直线型,共面的NHaOC体系中,COHN角为130°~180°,此为比较理想构型。伯酰胺(图1.3e)中的NHO键,有着更为苛刻对称性的要求。与仲酰胺(图1.3c,d)不同,NHO正常情况下是形成环状二聚体,二倍转轴的悬链式单元(cater motif) C(4)在很小几率下才会生成。沿0.5nm的轴平移是形成环状二聚体的常规方法,也就是图1.13a那样的构型R24(8)。同样可以用两倍的转轴和伯酰胺相连接(图1.3b)。通过计算晶格能公式计算[18],这种的形成方式在稳定性上不如环状二聚体的形式。在此之前所说过的羧酸最基础的相互之间有差异的二聚体堆叠方式,轴向长度分别为0.4nm和0.5nm。伯酰胺的氢键二聚体也形成两种堆叠距离分别0.56nm和0.53nm[ 18,19]两种不同的堆叠形式。

图1.3几种不同类型的酰胺
1.4.4 α-氨基酸
α2氨基酸晶体是根据剩下的基团R,在混合的溶液中溶质镜像对映异构体所存在的比例,溶剂本身的性质等等来决定如何排列的。很多α2氨基酸结晶可以分成两种性质不同的离子( H3NCHCO2 2 )。其中一些会产生分子内部的NHO。而主要要观察的是氨基酸中不是极性基团的性质。分子依靠横向的移动translation)来产生氢键链,分别使用二中心键N—H (1) ┈O(1)和N—H (1) ┈O(2)。通常说来,也是有一定几率会产生一个三中心图15通过平移形成的氢键链N—H (1) ┈O(1) O(2)C的氢键的链。还可以N—H(2)为给体,O(2)为受体,通过平移(translation)形成氢键层。了解和猜想展望氢键对生物体性质的影响是一件很有意义的工作。但猜想的核心方向是利用了氢键的一些作用。
1.5 氢键的自组装作用
1.5.1单纯氢键作用及氢键聚合体
单个氢键的强度和X2H偶极距以及Y原子上孤对电子有关,同时溶剂也很重要。氢键自组装可形成多种超分子聚集体,依据氢键多重性,可分为单重(图1.4),二重,三重(图1.5),四重和多重(图1.6)氢键体系。对于多重氢键,除了氢键原子种类以及氢键重数以外,相邻供体与受体之间的附加作用也有影响。

图1.4 单重氢键连接成的液晶高分子

图1.5 三重氢键聚集体,不同的氢键连接类型

图1.6多重氢键作用形成的聚集体
1.5.2氢键与其他非共价键协同作用形成超分子聚集体
1.5.2.1氢键与π-π堆积作用(图1.7)

图1.7 OPVs体系的螺旋型自组装结构
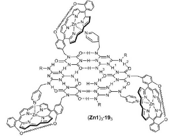
1.5.2.2 氢键与配位作用(图1.8):

图1.8 氢键与配位作用
1.6氢键在分子组装中的作用和意义
超分子晶体工程可以把金属配位的立体结构离子所带的电荷,价态,自身旋转的状态等一些突出的点和有机化合物中特殊的官能团结合在一起,以此在有机分子中把无机金属的电磁性质展现出来,以获取新型光,电,磁,导体,超导体或非线性光学材料。超分子自组装的源头是多种非共价键作用力的加合与协同,为了进一步弄清分子间的弱相互作用,是如何加合和协同的,同时加合和协同的结果又怎样导致组装中的方向性和选择性,这是发展新的自组装方法和理解组装体结构与功能的前提。









