替卡格雷中间体四氢环戊二烯醇衍生物的合成毕业论文
2020-05-26 20:25:05
摘 要
论文以环戊二烯为原料,经过环氧化和叠氮化等多步反应合成四氢环戊二烯醇衍生物。讨论了投料比、温度、pH值、溶剂和缚酸剂对产率的影响。确定了环氧化第一步的最佳优化条件,反应温度在0-4℃之间,反应时间为2小时,溶剂为二氯甲烷,缚酸剂为碳酸钾。确定了环氧化第二步的最佳优化条件,反应温度在0-4℃之间,反应时间为24小时,溶剂为氯仿,缚酸剂为碳酸钾,投料比为1:1.1。分别用GC和1H-NMR对产物进行了鉴定。
关键词:环氧化反应; 过氧乙酸; 间氯过氧苯甲酸; 叠氮化钠;
ABSTRACT
The derivatives of tetrahydrocyclopentadienol was synthesized via two epoxidations of cyclopentadiene, followed by reaction with sodium azide. The reactant ratio, acid-binding agent, pH value and reaction temperature was discussed to improve the yield. The optimum conditions were determined. For the first step, the reaction temperature was within the range of 0-4℃, the reaction time was 2 hours, the solvent was methylene chloride and the acid-binding agent was potassium carbonate. For the second step, the reaction temperature was varied from 0-4℃, the reaction time was 24 hours, the solvent was chloroform, the acid-binding agent was potassium carbonate and the reactant ratio of the substrate and m-chloroperoxybenzoic acid was 1: 1.1. The products structure were proved by GC and 1H-NMR respectively.
Key Words: epoxidation reaction; peracetic acid; m-chloroperoxybenzoic acid; sodium azide;
目录
摘要……………………………………………………………………………………I
ABSTRACT………………………………………………………………………..Ⅱ
目录………………………………………………………………………………….Ⅲ
- 文献综述………………………………………………………………….1
- 前言………………………………………………………………………………1
 - 环戊二烯的环氧化………………………………………………………………3
 
 
1.2.1 6-氧杂-双环[3.1.0]己-2-烯的合成………………………………………4
- 3,7-二氧杂-三环[4.1.0.02,4]庚烷的合成………………………………...4
 
1.2.3 其它环氧化合成路线…………………………………………………..…5
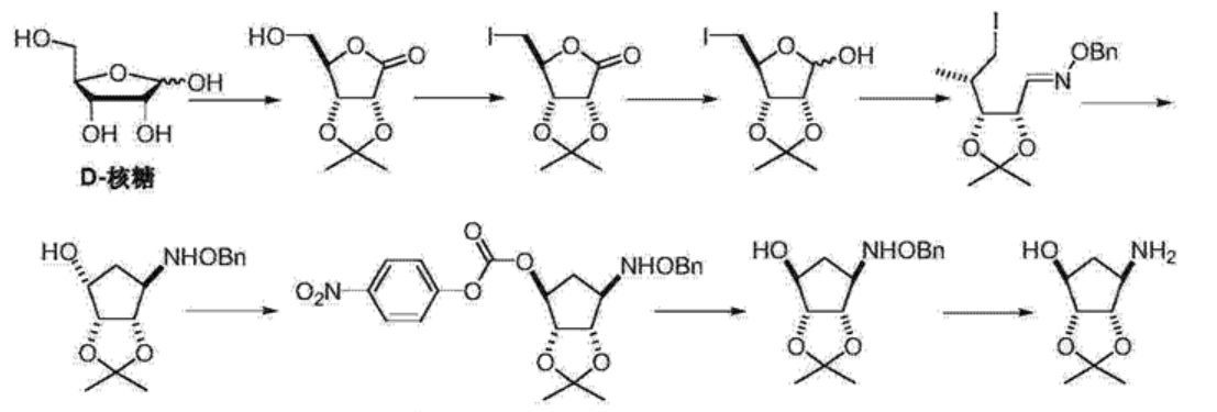
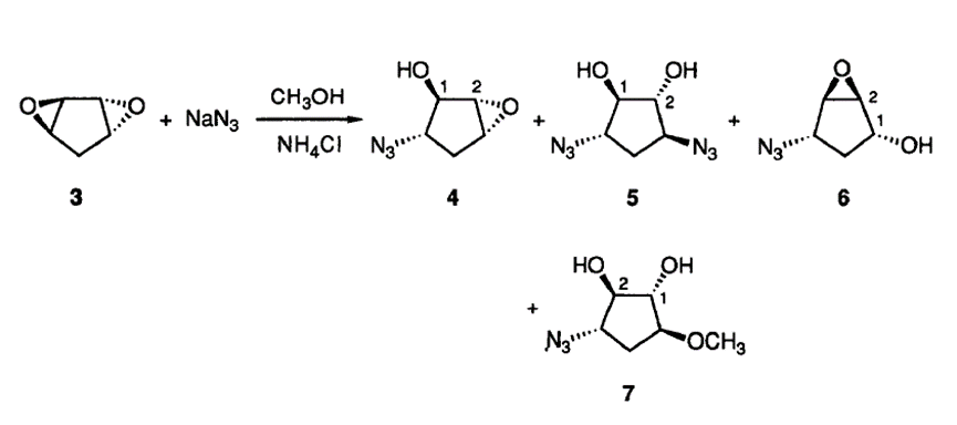
- 叠氮加成制备四氢环戊二烯醇衍生物…………………………………………7
 - 选题的研究问题和解决途径…………………………………………………....8
 
第二章 6-氧杂-双环[3.1.0]己-2-烯的合成……………………………..........9
2.1 反应原理………………………………………………………………………….9
2.2 试剂与仪器……………………………………………………………………….9
2.2.1 试剂………………………………………………………………………..9
2.2.2 仪器………………………………………………………………………..9
2.3 实验部分………………………………………………………………………...10
2.3.1二聚环戊二烯的裂解…………………………………………………….10
2.3.2过氧乙酸的合成………………………………………………………….10
2.3.3 6-氧杂-双环[3.1.0]己-2-烯的制备……………………………………….10
2.3.4 提纯与精制………………………………………………………………11
2.4 结构鉴定………………………………………………………………………...11
第三章 3,7-二氧杂-三环[4.1.0.02,4]庚烷的合成……………….………….13
3.1 反应原理………………………………………………………………………...13
3.2 试剂与仪器……………………………………………………………………...13
3.2.1 试剂………………………………………………………………………13
3.2.2 仪器………………………………………………………………………14
3.3 实验部分………………………………………………………………………...14
3.3.1 3,7-二氧杂-三环[4.1.0.02,4]庚烷的合成……………………………….14
3.3.2 溶剂的选择………………………………………………………………14
3.3.3 投料比的优化……………………………………………………………15
3.3.4 缚酸剂的选择……………………………………………………………15
3.3.5 pH值的优化……………………………………………………………15
3.3.6 提纯与精制………………………………………………………………15
3.3.7 结果与讨论………………………………………………………………16
3.4 结构鉴定………………………………………………………………………...17
第四章 四氢环戊二烯醇衍生物的制备…………………………………….19
4.1 反应原理………………………………………………………………………...19
4.2 试剂与仪器……………………………………………………………………...19
4.2.1 试剂………………………………………………………………………19
4.2.2 仪器………………………………………………………………………19
4.3 实验部分………………………………………………………………………...20
4.3.1 使用叠氮化钠的注意事项………………………………………………20
4.3.2 实验步骤…………………………………………………………………20
4.3.3 实验条件的优化…………………………………………………………20
第五章 结论与展望……………………………………………………………..22
5.1 结论……………………………………………………………………………...22
5.2 展望……………………………………………………………………………...22
参考文献…………………………………………………………………………...23
致谢………………………………………………………………………………….26
第一章 文献综述
1.1前言
相关图片展示:







您可能感兴趣的文章
- BN嵌入型四苯并五苯:一种工具高稳定性的并五苯衍生物外文翻译资料
 - MoS2和石墨烯作为助催化剂在增强的可见光光催化H2生产活性的多臂CdS纳米棒的作用外文翻译资料
 - 通过在BiVO4的不同晶面上进行双助剂的合理组装制备高效率的光催化剂外文翻译资料
 - 非编码RNA的固相合成研究外文翻译资料
 - 氢化驱动的导电Na2Ti3O7纳米阵列作为钠离子电池阳极外文翻译资料
 - 高能量及功率密度的可充电锌-二氧化锰电池外文翻译资料
 - 利用导电聚合物纳米线阵列来增强电化学性能外文翻译资料
 - 自支撑Na2Ti3O7纳米阵列/石墨烯泡沫和石墨烯泡沫准固态钠离子电容器电极外文翻译资料
 - 基于碳纳米管金纳米粒子辣根过氧化物酶构建的过氧化氢生物传感器毕业论文
 - 新型联二吡啶Pt(II)炔配合物的设计、合成及光物理性质研究毕业论文
 

        
            
