四氢呋喃-3-酰胺的合成研究毕业论文
2020-05-25 23:38:35
摘 要
农作物中的害虫一直影响着广大农名的庄稼,给农产物带来了巨大的影响和损失,所以农药的发展成了一个很重要的问题。随着农药的发展,第三代新烟碱类杀虫剂呋虫胺诞生,呋喃类化合物是我国市场上较为紧缺的精细化学品,呋虫胺分子结构中以四氢呋喃甲基取代了吡啶结构,它有很好的内吸渗透作用,低剂量就具有了很高的杀虫活性,也具有广谱的杀虫活性。
四氢呋喃-3-酰胺是呋虫胺合成所需的一个重要的中间体,本文以2,3-二氢呋喃、吡啶、二氯甲烷、三氯乙酰氯、草酰氯、氢氧化钠等为原料,合成2,3-二氢-4-三氯乙酰基呋喃、4,5-二氢-3-呋喃甲酸、四氢呋喃-3-甲酸、四氢呋喃-3-酰胺,各自产率分别是89.99%、44.57%、87.04% 、77.79%。并以1H-NMR对相应产物进行解析。
关键词:农药;呋虫胺;呋喃类化合物;合成
窗体顶端
Synthesis of tetrahydrofuran-3-amide
Abstract
Crop pest is an important issue that affects the agricultural production, which brings great l oss to agricultural producers, so the pesticide is an important position in agriculture. With the development of pesticide, the third generation of neonicotinoid insecticides dinotefuran was born, furan compounds is China's market is a lack of fine chemicals, dinotefuran molecular structure to methyltetrahydrofuran replaced the pyridine structure, the insecticide with good suction penetration for, low dose that showed high insecticidal activity, at the same time, it also has broad-spectrum insecticidal activity.
Tetrahydro 3 amide is dinotefuran required for the synthesis of an important intermediate, this paper to 2, 3 dihydro furan, pyridine, dichloromethane, trichloroacetyl chloride ,Oxalyl chloride and sodium hydroxide as raw material, synthetic 2,3 dihydro - 4 - trichloro acetyl furan, 4,5 dihydro 3 furoic acid, tetrahydro furan - 3 - formic acid, tetrahydrofuran (THF) - 3 - amide, their yields are 89.99%, 44.57%,87.04% and 77.79. And the corresponding products were analyzed by 1H-NMR.
Keywords: pesticide; dinotefuran; furan compounds; synthesis.
目录
1.1 前言 1
1.1.1 杀虫剂的分类 1
1.2 新烟碱类杀虫剂 2
1.2.1 结构组成 2
1.2.2 作用机制 2
1.2.3新烟碱类杀虫剂的定量构效关系 3
1.2.4新烟碱类杀虫剂的抗性及控制及治理 4
1.3 呋虫胺 4
1.3.1呋虫胺的物理化学性质 4
1.3.2 呋虫胺的安全性 5
1.3.3呋虫胺的作用机理 5
1.3.4呋虫胺的使用方法 6
1.4 呋虫胺及其中间体的合成 7
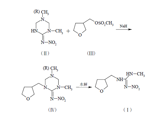
1.4.1 呋虫胺的合成 7
1.4.2 中间体的合成 9
1.4.2.1 1,5-二甲基-2-硝基亚氨基-1,3,5-六氢三嗪 (Ⅱ) 的合成[29-30] 9
1.4.2.2 3-甲磺酰基氧甲基四氢呋喃 (Ⅲ) 的合成 10
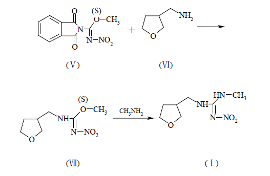
1.4.2.3 3-四氢呋喃甲胺 (Ⅵ) 的合成 11
1.5 本论文的研究目的与方案 11
第二章 实验部分 13
2.1实验材料和仪器 13
2.1.1 实验材料 13
2.1.2 实验仪器 13
2.2 实验内容 14
2.2.1 2,3-二氢-4-三氯乙酰基呋喃的合成 14
2.2.2 4,5-二氢-3-呋喃甲酸的制备 14
2.2.3 四氢呋喃-3-甲酸的制备 15
2.2.4 四氢呋喃-3-甲酰氯的合成 16
2.2.5 四氢呋喃-3-酰胺的合成 16
第三章 实验结果与讨论 17
3.1产物的结构表征 17
3.1.1 四氢呋喃-3-酰胺 17
3.1.2 四氢呋喃-3-甲酸的氢谱 18
3.1.3 4,5-二氢-3-呋喃甲酸的氢谱 19
第四章 结论与展望 21
4.1结论 21
4.2 展望 21
参考文献 23
致谢 26
第一章 文 献 综 述
1.1 前言
如今,农作物里面的虫害严重影响了农作物的生产,从而给从事农业的人,带来了很大的影响和损失。很长时间以来以来人们是通过农药来控制农作物虫害,从而去提高农作物产量,农药在农业生产中占据着非常重要的地位。
农药是用来防治危害农作物的化学物质,也包括提高这些药剂效力的相辅助物质。我国每年都把几十万吨的农药用到到农田、果树园,还有森林和草场。当然,根据农药的不同作用和功能,有好多种分类方法。一般分为杀虫剂、杀菌剂、除草剂、杀螨剂和植物生长调节剂等,其中前三类生产和使用量最大。按农药的组成能分为化学农药、生物农药以及植物农药,其中还是主要以化学农药为主。在化学农药中主要分无机和有机农药两类。长期频繁使用同一种农药,会产生抗药性。因此,伴随着人们对环境环保和自身健康相关意识的提高,寻找广谱、高效作用、低毒型的新型农药成为一项艰巨的任务。虽然化学类农药毒性较大,生物农药有关应用和研究逐渐增加[1],但是,其高效、广谱、结构简单、合成工艺简单等优点。这些优势优势占据大部分农药市场[2],所以新型农药的研究中仍然是一个热门话题。
1.1.1 杀虫剂的分类
杀虫剂一般有许多种分类方法,我们主要按照它的化学结构去分类,主要分为有机磷类杀虫剂、氨基甲酸酯类杀虫剂、拟除虫菊酯类杀虫剂、烟碱类杀虫剂、苯甲酰脲类昆虫生长调节剂以及其他各种类型杀虫剂等等[3]。
自1985以来,日本农药有限公司发现有着广泛的应用的杀虫剂吡虫啉[ 4 ],此款新烟碱类杀虫剂对水稻叶蝉活性有比较强的保护作用。自此之后,全球范围陆续研究出了啶虫脒[5]、噻虫啉[6]、噻虫嗪 [7]、噻虫胺 [8]呋虫胺[9]等杀虫剂。
1.2 新烟碱类杀虫剂
1.2.1 结构组成
首先,我们研究新烟碱类杀虫剂的化学结构,它的结构一般主要由五部分构成[10], (如下图2)。(ⅰ) 第一部分为杂环基团:它主要是以6-氯-3-吡啶(具有此基团的化合物以吡虫啉为代表)、四氢呋喃环(具有此基团的化合物以呋虫胺为代表)的活性比较高; (ⅱ)第二部分是桥链部分:至今发现二个杂环直接相连的时候活性低,跟前者一样,二个亚甲基直接相连的时候活性也是比较低;当在二个杂环或者多个杂环中,有一个亚甲基连接时,此时的化合物活性是最高的。(ⅲ)第三部分是功能基团: 主要集团有硝基烯胺【-N-C (or N)=CH-NO2, 主要代表为烯啶虫胺】、硝基胍【-N-C (or N)=N-NO2, 主要代表为吡虫啉】、氰基脒(-N-CH=N-CN, 主要代表为啶虫脒)这3类;(ⅳ)第四部分为正电中心部分, 通常情况下T为N原子、Z为硫或者氮原子时,杀虫活性还是比较好的。Ⅲ和Ⅳ构成药效团。(ⅴ) 第五部分主要为取代基部分, 其中最主要的一种结构为脂肪链状结构, 或者和第四部分一起形成含有氮或含氮、硫的杂环结构,杀虫剂的生物活性和环的大小也密切相关,其中活性较高的环一般为五元或者六元环。
相关图片展示:






您可能感兴趣的文章
- BN嵌入型四苯并五苯:一种工具高稳定性的并五苯衍生物外文翻译资料
- MoS2和石墨烯作为助催化剂在增强的可见光光催化H2生产活性的多臂CdS纳米棒的作用外文翻译资料
- 通过在BiVO4的不同晶面上进行双助剂的合理组装制备高效率的光催化剂外文翻译资料
- 非编码RNA的固相合成研究外文翻译资料
- 氢化驱动的导电Na2Ti3O7纳米阵列作为钠离子电池阳极外文翻译资料
- 高能量及功率密度的可充电锌-二氧化锰电池外文翻译资料
- 利用导电聚合物纳米线阵列来增强电化学性能外文翻译资料
- 自支撑Na2Ti3O7纳米阵列/石墨烯泡沫和石墨烯泡沫准固态钠离子电容器电极外文翻译资料
- 基于碳纳米管金纳米粒子辣根过氧化物酶构建的过氧化氢生物传感器毕业论文
- 新型联二吡啶Pt(II)炔配合物的设计、合成及光物理性质研究毕业论文


