双酶固定化生产高附加值糖基化产物毕业论文
2020-04-26 12:56:13
摘 要
人参的成药性主要依赖于其药理成分人参皂苷,本课题依靠已有的糖基转移酶及蔗糖合成酶定向合成具有高附加值的稀有人参皂苷,并通过对双酶的协同固定,提升糖基化的稳定性及产率。
本课题第一步通过修饰后的大孔树脂物理吸附固定糖基转移酶和蔗糖合成酶,并通过单因素法确定双酶固定的最优加酶量、温度、pH及时间。第二步通过双酶固定化进一步实现稀有人参皂苷的连续生物合成,并探究最适温度和pH下,使高附加值的糖基化产物产率达到最大。实验结果表明糖基转移酶和蔗糖合成酶双酶固定化的最优加酶量为50U,最优固定化温度为30°C,最优的固定化pH范围是6-8,最优的固定化时间为8h。并且在ph8,35℃条件下,原人参皂苷转化为人参皂苷的效率最高。
关键词:固定化 蔗糖合成酶 糖基转移酶 人参皂苷
Double enzyme immobilization to produce high value-added glycosylation products
Abstract
The medicinal properties of ginseng mainly depend on its pharmacological component ginsenoside. This topic relies on the existing glycosyltransferase and sucrose synthase to direct the synthesis of rare ginseng saponins with high added value, and enhances the glycosylation by synergistic fixation of the two enzymes. Stability and yield.
In the first step of the subject, the modified macroporous resin was used to physically immobilize glycosyltransferase and sucrose synthase, and the optimal enzyme amount, temperature, pH and time of double enzyme immobilization were determined by single factor method. In the second step, the continuous biosynthesis of rare ginsenosides was further realized by double enzyme immobilization, and the optimum temperature and pH were explored to maximize the yield of high value-added glycosylated products. The experimental results show that the optimal enzyme loading of glycosyltransferase and sucrose synthase double enzyme is 50U, the optimal immobilization temperature is 30 °C, and the optimal immobilization pH range is 6-8. The time is 8h. And under the condition of ph8, 35 °C, the original ginsenoside was converted to ginsenoside with the highest efficiency.
Keywords: immobilization;glycosyltransferase;sucrose synthase;ginsenoside
目录
摘要 I
Abstract II
第一章 文献综述 1
1.1 人参皂苷概况 1
1.2 稀有人参皂苷Rh2的结构、药理作用和制备方法 1
1.2.1 稀有人参皂苷Rh2的结构【3】 1
1.2.2 稀有人参皂苷Rh2的药理作用 1
1.2.3 稀有人参皂苷的制备方法【3】 2
1.3 糖基转移酶的性质及研究进展 2
1.3.1 糖基转移酶的性质 2
1.3.2 糖基转移酶的研究进展及发展前景 2
1.4 蔗糖合成酶的性质及催化机理 3
1.5 糖基化反应的性质及研究进展 3
1.5.1 糖基化反应的性质和作用 3
1.5.2 糖基化的研究进展及发展前景 3
1.6 固定化酶的研究历史及现状 3
1.6.1 固定化方法 4
1.7 本课题研究内容及方法 4
第二章 实验材料 5
2.1 菌株及培养基 5
2.2 实验材料及试剂 5
2.3 实验仪器及设备 6
第三章 实验方法 7
3.1 糖基转移酶和蔗糖合成酶 7
3.1.1 糖基转移酶和蔗糖合成酶的制备 7
3.1.2 糖基转移酶和蔗糖合成酶的检验 7
3.1.3 糖基转移酶和蔗糖合成酶的酶活测定 8
3.2 离子交换树脂固定糖基转移酶和蔗糖合成酶的研究 9
3.2.1 树脂表面的修饰 9
3.2.2 固定化糖基转移酶和蔗糖合成酶的制备 9
3.2.3 固定化糖基转移酶和蔗糖合成酶活力的测定和蛋白浓度测定方法 10
3.2.4 固定化酶的参数计算方法 11
3.3 糖基转移酶和蔗糖合成酶固定化条件的优化 11
3.3.1 加酶量对糖基转移酶和蔗糖合成酶固定化效果的影响 11
3.3.2 温度对糖基转移酶和蔗糖合成酶固定化效果的影响 12
3.3.3 pH对糖基转移酶和蔗糖合成酶固定化效果的影响 12
3.3.4 时间对糖基转移酶和蔗糖合成酶固定化效果的影响 12
3.4 固定化酶的效果验证及其催化合成稀有人参皂苷Rh2的研究 12
3.4.1 固定化效果验证 12
3.4.2 固定化酶催化合成稀有人参皂苷Rh2的研究 13
第四章 结果与讨论 14
4.1 糖基转移酶和蔗糖合成酶固定化条件的优化 14
4.1.1 加酶量对糖基转移酶和蔗糖合成酶固定化效果的影响 14
4.1.2 温度对糖基转移酶和蔗糖合成酶固定化效果的影响 14
4.1.3 pH对糖基转移酶和蔗糖合成酶固定化效果的影响 15
4.1.4 吸附时间对糖基转移酶和蔗糖合成酶固定化效果的影响 15
4.2 固定化酶效果验证及其催化合成稀有人参皂苷Rh2的研究结果 16
4.2.1 固定化酶的效果验证 16
4.2.3 固定化酶催化合成稀有人参皂苷Rh2的研究结果 17
第五章 结论与展望 18
5.1 结论 18
5.2 展望 18
参考文献 19
致谢 21
第一章 文献综述
1.1 人参皂苷概况
人参(Panax ginseng C.A. Mey)是多年生草本植物,是非常著名的中草药之一。这种草药在中药学中已经使用了4000多年,有增强免疫力,减少疲劳,提供营养等功效。人参的主要成药性依赖于其活性成分人参皂苷,具有抗肿瘤,抗糖尿病和免疫系统增强活性等药理作用[1]。从众多的人参物种中分离出140多种人参皂苷[2]。
1.2 稀有人参皂苷Rh2的结构、药理作用和制备方法
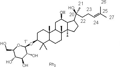
1.2.1 稀有人参皂苷Rh2的结构[3]
人参皂苷为小分子量化合物,而且它具有很不错的脂溶性,它的结构如图1-1。

相关图片展示:








        
            
