糖类化合物对脂肪酶催化性能强化研究毕业论文
2020-04-24 11:16:15
摘 要
增塑剂作为一种工业添加剂,其主要功能是改良高分子材料的可塑性和加工性,在塑料工业中极为重要。目前使用率最高的一类增塑剂是邻苯二甲酸酯类增塑剂,但它的化学合成方法对环境有一定污染,且其本身还对人体有不弱的毒性,因此现在考虑以呋喃二甲酸替代邻苯二甲酸,用固定化脂肪酶Novzem435为催化剂合成呋喃二甲酸酯类增塑剂。
本文的主要研究内容如下:
使用固定化脂肪酶Novozym435作为酶催化剂, 2,5-呋喃二甲酸二甲酯和正丁醇为原料在甲苯溶剂中合成2,5-呋喃二甲酸正丁酯和2,5-呋喃二甲酸二丁酯时,各类添加剂(糖类、其他多羟基化合物)对酯合成效率的影响。
针对2,5-呋喃二甲酸正丁酯而言,葡萄糖、乳糖、70 kD的葡聚糖三者对反应产率的提高较为明显;针对2,5-呋喃二甲酸二丁酯而言,海藻糖、葡萄糖、70 kD的葡聚糖对反应产率的提高效果显著。 而PVA、PEG作为添加剂对本反应体系几乎没有提高。
关键词:增塑剂 脂肪酶 呋喃二甲酸酯 添加剂
Study on the Catalytic Performance Enhancement of Lipase by Sugar Compounds
Abstract
As an industrial additive, the main function of plasticizer is to improve the plasticity and processability of polymer materials, which is very important in the plastic industry. At present, the most commonly used plasticizer is phthalate plasticizer, but the chemical synthesis method of this kind of plasticizer has a certain pollution to the environment, and it has a weak toxicity to human body. Therefore, it is considered to replace phthalic acid with furan dicarboxylic acid and synthesize furan dimethyl ester plasticizer with immobilized lipase Novzem 435 as catalyst.
The main contents of this paper are as follows:
With immobilized lipase Novozym435 as catalyst, toluene as solvent, dimethyl 2,5-furan-dicarboxylic acid and n-butanol as raw materials to synthesize n-butyl 2,5-furan-dicarboxylic acid and dibutyl 2,5-furan-dicarboxylic acid, the effects of various additives (sugars, other polyhydroxy compounds) on ester synthesis efficiency.
For n-butyl 2,5-furan-dicarboxylic acid, glucose, lactose and 70 kD dextran increased the reaction yield significantly; for dibutyl 2,5-furan-dicarboxylic acid, trehalose, glucose and 70 kD dextran improved the reaction yield significantly. However, PVA and PEG as additives hardly improved the reaction system.
KEYWORDS:Plasticizers;Lipase;Furan dimethyl ester;Additive
目 录
摘 要 I
Abstract II
第一章 文献综述 1
1.1 呋喃二甲酸酯的研究应用概况 1
1.1.1 增塑剂的应用及其毒性 1
1.1.2 呋喃二甲酸酯的研究进展 1
1.1.3 呋喃二甲酸酯的制备方法 2
1.2 脂肪酶在酯类合成中的研究进展 2
1.2.1 脂肪酶的概述 2
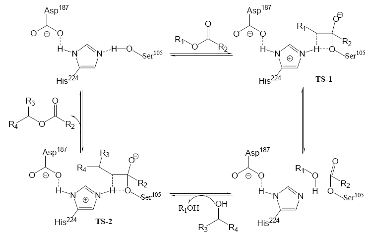
1.2.2 脂肪酶的结构特征及催化机理 3
1.2.3 脂肪酶的应用 5
1.3 酶催化性能强化的研究进展 7
1.3.1 酶失活机理及稳定化策略 7
1.3.2 糖类物质对酶活性的保护机理 8
1.3.3其他羟基化合物对酶催化性能的影响 9
1.4 本论文研究的目的、意义及主要内容 10
第二章 材料与方法 11
2.1 材料 11
2.1.1 实验设备 11
2.2.2 实验试剂 11
2.2 呋喃二甲酸酯的测定及酶催化酯合成反应体系的建立 12
2.2.1 呋喃二甲酸酯的检测方法 12
2.2.2 气相标准曲线的绘制 12
2.2.3 反应体系的建立 13
2.3 各类添加剂对酶催化酯合成反应体系的影响 13
2.3.1 糖添加剂的影响 13
2.3.2 聚乙二醇、聚乙烯醇作为添加剂对酯合成反应的影响 14
2.4 结果与分析 15
2.4.1 糖类物质作为添加剂 15
2.4.2 聚乙二醇、聚乙烯醇作为添加剂 17
第三章 结论与展望 18
3.1 结论 18
3.2 展望 18
参考文献 19
致 谢 22
第一章 文献综述
1.1 呋喃二甲酸酯的研究应用概况
1.1.1 增塑剂的应用及其毒性
增塑剂是一种用于增强塑料柔韧性的加工助剂,能够改善塑料的性质使其能易于加工成不同的产品以适于不同的用途。目前主要的增塑剂品种有邻苯二甲酸酯类、聚乙二醇以及环氧化合物等[1-4]。其中邻苯二甲酸酯类增塑剂有着更为优秀的性能和相较而言较低的生产成本,因而它成为了增塑剂市场中占市场份额达80%[5-8]的常用产品。
然而传统增塑剂并非全然无害。自从美国FDA和NCI先后提出邻苯二甲酸酯类(DOP)有致癌的风险后[9],DOP的毒理问题就越来越受到各国的密切关注。由于塑料制品在经过高温灼烧后所产生的二噁英可以导致生育缺陷,并对胎儿有致畸致死的危害[10],FDA开始限制DOP在输液器材等医疗器械中的使用,并制定了添加标准。同时瑞士政府也出台相关政策,规定孕妇、母婴、完全肠外营养、搭桥手术的患者使用的药包材以及输液材质均不能含有DOP[11]。
医用 PVC 大多以添加能够使材质变得更富黏性且更加柔软的增塑剂为主,常用的有静脉输液管、肠道营养导管、血液透析管等软塑制品。研究证明, DOP 经多种途径进入人体后,会对机体的多个组织和器官产生毒性危害。我国药物研究所对邻苯二甲酸丁酯(DBP)的神经毒性进行了一系列研究[12],证明干细胞菌株暴露于不同剂量的 DBP下 ,其细胞的增殖均受到明显抑制,在小剂量长期慢性暴露环境下,神经干细胞会发生一系列以凋亡为主的毒性表现。可见DBP 可以干扰 DNA 的正常表达[13],从而抑制细胞的正常代谢,诱导干细胞的“自杀机制”。
相关图片展示:









