有机相中酶法合成果糖癸酸酯毕业论文
2020-04-24 11:16:17
摘 要
糖酯是一类由葡萄糖、果糖和蔗糖与酸或酯发生反应生成的反应物,该类物质具有两亲结构,无毒,可以100%被生物降解,是公认的环保“绿色”产品。糖酯具有较高的界面张力值和令人关注的表面特性,它的抗菌特性使其在食品添加剂领域更具有潜在的应用价值。
本文以脂肪酶为催化剂,D-果糖作为酰基接受体、癸酸作为酰基供体,在有机溶剂体系中合成了果糖癸酸酯。采用薄层色谱法对反应产物进行了定性分析,采用高效液相色谱分析方法对反应混合液了定量分析,开展了有机溶剂中酶法合成果糖癸酸酯的工艺优化,考察了有机溶剂、底物摩尔比、脂肪酶种类、反应时间对酯化反应的影响。研究发现在10mL的酯化反应体系中,果糖:癸酸的摩尔比为1:3,采用固定化脂肪酶Novozym435作为反应的催化剂,在有机溶剂丙酮中,果糖癸酸一酯的转化率会达到65%,果糖癸酸二酯的转化率会达到64%。
关键词:果糖,癸酸,果糖癸酸酯,脂肪酶,糖酯
Enzymatic method in organic phase
Abstrast
Sugar esters are a class of reactants formed by the reaction of glucose, fructose and sucrose with acids or esters. These substances have an amphiphilic structure, are non-toxic and can be biodegraded 100%. They are recognized as environmentally friendly "green" products. Sugar esters have high interfacial tension values and interesting surface characteristics, and their antibacterial properties make them more potential applications in the field of food additives.
In this paper, fructose phthalate was synthesized in an organic solvent system using lipase as a catalyst, D-fructose as an acyl acceptor and decanoic acid as an acyl donor. The reaction product was qualitatively analyzed by thin-layer chromatography. The reaction mixture was quantitatively analyzed by high performance liquid chromatography. The process optimization of the enzymatic method and the glycosylate in organic solvent was carried out. The organic solvent and the bottom were investigated. The effect of molar ratio, lipase type and reaction time on the esterification reaction. It was found that in the 10mL esterification reaction system, the molar ratio of fructose:capric acid was 1:3, and the immobilized lipase Novozym435 was used as the catalyst for the reaction. In the organic solvent acetone, the conversion rate of fructose capric acid monoester reached 65%, the conversion rate of fructose capric acid diester will reach 64%.
Key words: fructose, citric acid, fructose phthalate, lipase, sugar ester
目 录
摘 要 I
Abstrast II
目 录 III
第一章 文献综述 1
1.1果糖癸酸酯的概述 1
1.1.1果糖癸酸酯的性质 1
1.2果糖癸酸酯的应用 1
1.3 果糖癸酸酯的制备方法 2
1.3.1化学合成方法制备果糖癸酸酯 2
1.3.2酶法制备果糖癸酸酯 2
1.4 脂肪酶在果糖酯制备中的应用进展 3
1.4.1脂肪酶的概述 3
1.4.2脂肪酶的结构特征催化机理 4
1.4.3酶法法合成果糖酯的概况 5
1.5脂肪酶对酶法合成糖酯的影响 5
1.5.1酰基供体的影响 5
1.5.2酶的选择及用量对糖酯合成转化率的影响 5
1.5.3反应温度的影响 6
1.5.4副产物的影响 6
1.6非水相酶促反应体系 7
1.6.1非水酶学的发展 7
1.6.2 新型反应体系在脂肪酶催化性能强化中的应用 7
1.6.3有机相体系中合成糖酯 7
1.6.4无溶剂体系中合成糖酯 7
1.7本论文的研究目的和主要研究内容 8
第二章 有机相中酶法合成果糖癸酸酯 9
2.1前言 9
2.2实验材料 9
2.2.1实验仪器 9
2.2.2主要试剂 9
2.3酯化反应实验方法及内容 10
2.3.1 果糖癸酸酯的制备 10
2.3.2 薄层色谱法(TLC) 10
2.4酶催化反应条件优化的实验方法 12
2.4.1探讨不同反应时间对转化率的影响 12
2.4.2探讨不同有机溶剂对转化率的影响 12
2.4.3探讨不同底物比例对转化率的影响 12
2.4.4.探讨不同脂肪酶对转化率的影响 13
2.5反应体系中HPLC-ELSD检测方法的建立 13
2.5.1样品溶液的配制 13
2.5.2流动相的配置 13
2.5.3液相色谱条件 13
2.6. 反应体系中HPLC-ELSD检测结果 14
第三章 实验结果与讨论 15
3.1不同时间对糖酯合成的影响 15
3.2 不同溶剂对糖酯合成的影响 15
3.3 底物摩尔比对糖酯合成的影响 16
3.4 不同脂肪酶对糖酯合成的影响 17
第四章 结论 19
参考文献 20
致谢 23
第一章 文献综述
1.1果糖癸酸酯的概述
1.1.1果糖癸酸酯的性质
糖酯具有特殊的两性结构,是糖与脂肪酸发生酯化反应而生成的一类有机化合物[1]。以糖(单糖、二糖、多糖、衍生多元醇)作为亲水基团,脂肪酸作为亲油基团,并具有无毒、无味、无刺激、易生物降解、良好的表面性能、良好的乳化、分散增溶、渗透、起泡、黏度调节等性能等特征[2]。
1.2果糖癸酸酯的应用
糖酯可作为食品乳化剂,润湿与分散剂,食品质地改良剂,在食品加工中具有广泛用途[3]。以乳化剂在食品中的应用:糖酯最有用的特性是其形成稳定乳剂的能力,这对改善乳制品的质地和乳脂状态有重要作用。譬如,乳糖酯(界面张力38.0mN•m-1;EI=54.1%)可以有效稳定新鲜椰奶的乳化状态[4]。将果蔬浸入糖酯水溶液中,取出后晾干,糖酯将在果蔬表面形成一层水膜阻碍果蔬表面的“呼吸”,从而起到延长果蔬货架期的作用[5]。当蔗糖酯浓度为0.25% 时样品粘度变化不大,因而可防止脂肪分子的过度凝集而影响冰淇淋的质量,且添加蔗糖酯的冰淇淋的融化速率与添加混和乳化剂的样品效果一样[6]。食品质地改良剂的应用:糖酯不仅能够改善食品的外观及口感,同时具有减少食品粘度使食物不粘模具、方便加工等优点。在医药生产中,由于糖酯具有广泛的HLB 值、较高的安全性、对皮肤和粘膜的温和性、与药物的良好配伍性,因此适于配置对皮肤和粘膜无刺激的软膏[7]。在日用品化妆行业中:因糖酯的安全性高,无毒性等特点,其被大量运用于日常生活用品的生产,例如:洗发露、化妆品等尤其是蔗糖酯,用于化妆品能使油脂、药物成分等均匀分散,防止产品的分层变质,同时改善了化妆品的水洗功能[8]。利用其杀菌性和安全稳定性,常用于生产果蔬和食品机械设备的清洁剂[9]。
1.3 果糖癸酸酯的制备方法
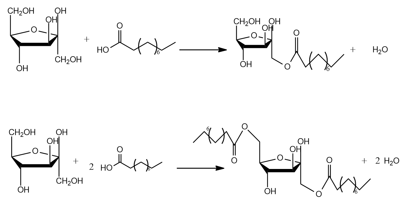
在催化剂存在的情况下,糖和脂肪酸或脂肪酸酯发生酯化或酯交换反应生成糖酯,反应简式如图1所示:
图 1果糖癸酸酯的化学反应简式
相关图片展示:








