水稻体内敌草隆代谢途径及相关基因表达谱的研究毕业论文
2020-04-16 16:43:43
摘 要
敌草隆是农业中用量广泛的除草剂,然而大量实验证明环境中残留的敌草隆对动植物和土壤中的微生物产生巨大的危害,甚至通过食物链损害人体健康。目前,敌草隆已被澳洲禁用,但国内市场仍在使用。水稻作为我国种植面积最广的粮食作物,其安全重要性不言而喻。然而为了确保农作物的产量,农药的过量使用,导致农药残留成为环境和食品安全的焦点问题。基于此种现实问题,研究出一种能够兼顾提高农作物解毒作用和促进种植土中农药降解的方法,不仅有利于农作物减少农药毒害,也有利于改善土壤种植环境,同时还能确保农作物的数量与质量的安全、保护环境生态系统。
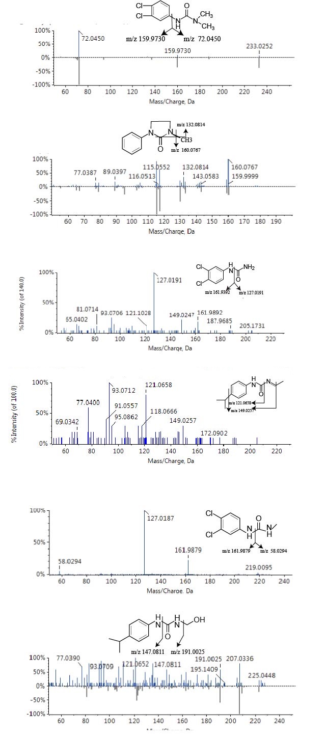
为了探究敌草隆在水稻中代谢途径和分子调控解毒机制,采用高分辨液质联用和高通量测序方法(RNA-Seq)结合,解析敌草隆在水稻体内的代谢产物、推测敌草隆的代谢途径,并根据相应的代谢途径与过程调控基因表达情况结合进行分析。结果发现,与水稻参考基因组的对比分析,筛选出差异表达基因,并对差异表达基因进行分析,发现多数差异表达基因多与代谢过程和细胞过程、单一生物过程等生物通路有关。通过高分辨液质联用(UPLC-QTOF-MS/MS)的技术分析鉴定了5个水稻地上组织部分敌草隆代谢产物,其中有1个降解产物是首次被报道的。
关键词:敌草隆 代谢 基因组
STUDY ON THE METABOLIC PATHWAY AND RELATED GENOMIC EXPRESSION PROFILE OF DIURON IN RICE
Abstract
Diuron is a widely used herbicide in agriculture. However, a large number of experiments have proved that the residues of diuron in the environment have great harm to the microorganisms in plants, animals and soil, and even to human health through the food chain. Currently, diuron has been banned in Australia, but the domestic market is still in use. As the most widely planted food crop in China, the safety of rice is of great importance. However, in order to ensure the yield of crops, the excessive use of pesticides leads to pesticide residues becoming the focus of environmental and food safety problems. Based on this practical problem, a method that can both improve the detoxification effect of crops and promote the degradation of pesticides in cultivated soil is developed, which is not only conducive to reducing pesticide toxicity of crops, but also conducive to improving the soil planting environment, and at the same time can ensure the safety of the quantity and quality of crops and protect the environmental ecosystem.
In order to investigate the metabolic pathway and molecular regulation and detoxification mechanism of diuron in rice, high-resolution LC-MS and high-throughput sequencing (RNA-Seq) were combined to analyze the metabolites of diuron in rice. The results told us that the differentially expressed genes were screened, and the differentially expressed genes were analyzed ,compared with the reference genome of rice.It was found that most of the differentially expressed genes were related to metabolic pathways, cellular processes, and biological pathways .The high-resolution liquid chromatography-mass spectrometry (UPLC-QTOF-MS / MS) was used to identify the metabolites of some of the five above-ground tissues of the rice, and one of the degradation products was reported for the first time.
Keywords:Diuron;HPLC-MS/MS; Metabolic pathway;RNA-Seq
目 录
摘 要 I
Abstract II
第一章 文献综述 1
1.1 水稻概况 1
1.2 敌草隆的概况 1
1.2.1 敌草隆的理化分析 1
1.2.2 敌草隆的使用现状 1
1.2.3 使用敌草隆带来的问题 2
1.3 农药代谢研究 2
1.4 转录组学介绍 2
第二章 实验材料及方法... 4
2.1 实验材料 4
2.1.1 供试材料 4
2.1.2 实验试剂 4
2.2 实验仪器 4
2.3 实验方法 5
2.3.1 水稻种子萌发及幼苗的培养和处理 5
2.3.2 敌草隆配制 6
2.3.3 水稻幼苗加药处理 7
2.3.4 SPE小柱活化 7
2.3.5 营养液中敌草隆及其代谢物提取 7
2.3.6 水稻地下组织敌草隆及其代谢物提取 8
2.3.7 水稻地上组织敌草隆及其代谢物提取 8
2.3.8 色谱与质谱条件 8
2.3.9 转录组(RNA-Seq)测序实验方法 9
2.4 RNA-Seq数据处理与分析 10
2.4.1测序质量评估 10
2.4.2表达量差异分析 10
第三章 结果与讨论 11
3.1 水稻地上部分敌草隆积累量的测定及其代谢产物的鉴定 11
3.2 敌草隆处理下水稻幼苗差异转录组分析 15
3.2.1 样品RNA质量检测 15
3.2.2 RNA-Seq质量评估 16
3.2.3 差异基因的筛选 18
3.2.4 差异表达基因的GO分类统计分析 19
3.2.5 差异表达基因KEGG富集分析 20
第四章 分析与展望 23
参考文献 24
致谢 26
第一章 文献综述
1.1 水稻概况
水稻是全球重要的粮食作物之一,是全球大多数人口的主食。中国作为全球最大的水稻生产国和消费国,水稻的可持续性生产对于我国乃至世界的粮食安全具有举足轻重的作用。因此,水稻的安全生产是国家保障食品安全的基础性工程,不仅关系到我国的经济发展,也关系到人身健康以及全面建设小康的重大问题[1]。
当前,水稻在安全生产中存在着以下主要问题:气候灾害、环境污染、多样性减少以及农田灾害爆发和有害生物入侵[1]。杂草和病虫害严重影响了水稻的产量和质量,同时杂草和病虫害也是人为可以解决的问题。农药在水稻生长过程中,发挥着防治病虫害和调节水稻生长发育的作用。因此,农药在水稻种植中被广泛使用。除草剂因为经济高效的特点,所以被广泛使用,敌草隆就是其中一种。但是,过量使用除草剂会对农业生产造成很大的影响,甚至通过食物链危害人体健康。
1.2 敌草隆的概况
1.2.1 敌草隆的理化分析
敌草隆(Diuron,简称:DU),分子量为233.09。其化学结构式如图1-1所示:

以上是毕业论文大纲或资料介绍,该课题完整毕业论文、开题报告、任务书、程序设计、图纸设计等资料请添加微信获取,微信号:bysjorg。
相关图片展示:







您可能感兴趣的文章
- 布里奇果油纳米乳液在等渗运动饮料中应用的可行性外文翻译资料
- 茶多酚类作为呋喃抑制剂在美拉德模型系统和罐装咖啡模型的形成外文翻译资料
- 实用型重组杂交贻贝生物粘合剂fp-151外文翻译资料
- COI条形码在我国市场常见鱼类品种鉴定中的应用毕业论文
- DNA条形码在我国市场常见虾蟹品种鉴定中的应用毕业论文
- 基于SYBR-Green-I荧光定量PCR技术鉴定我国常见虾蟹品种方法的建立毕业论文
- 微型COI条形码在我国市场常见虾蟹类品种鉴定中的应用毕业论文
- 水稻体内敌草隆液相检测方法建立及外源茉莉酸对其在水稻体内代谢的影响毕业论文
- 蛋白饮料经高压静电处理后蛋白质的变化毕业论文
- 核酸茎环结构用于电化学快速检测肠毒素毕业论文


