含9-蒽氧基V型二苯乙烯型染料分子的合成毕业论文
2020-07-16 20:25:01
摘 要
本文综述了超分子化学中主客体化学的研究进展,以葫芦脲为主体的主客体化学的研究进展,二苯乙烯类化合物的合成方法,在生物医药,荧光增白剂,荧光分子探针以及光电材料方面的应用以及研究进展。总结了轮烷中客体分子在包结作用时的问题,设计合成一种含有两个识别点,但是只能同时与一个主体分子进行包结作用的V型客体染料分子,与直线型客体分子相比,更加有利于包结行为的进行。
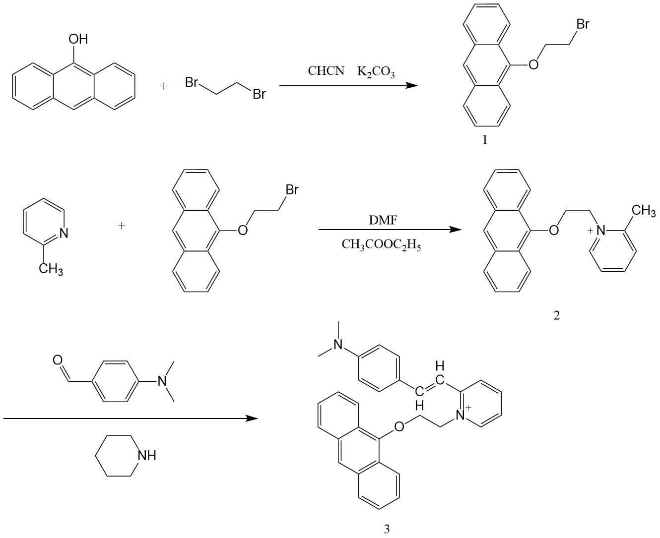
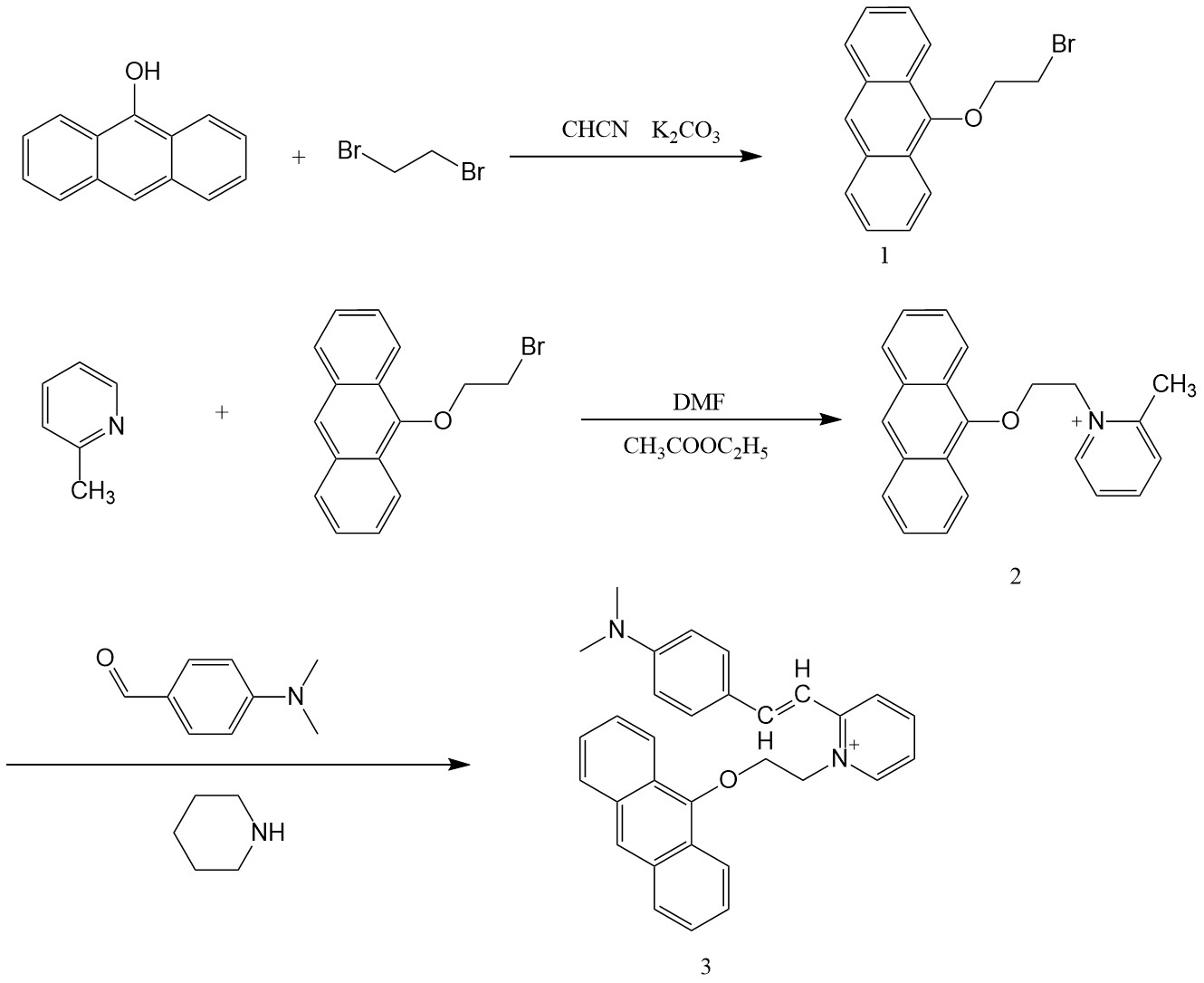
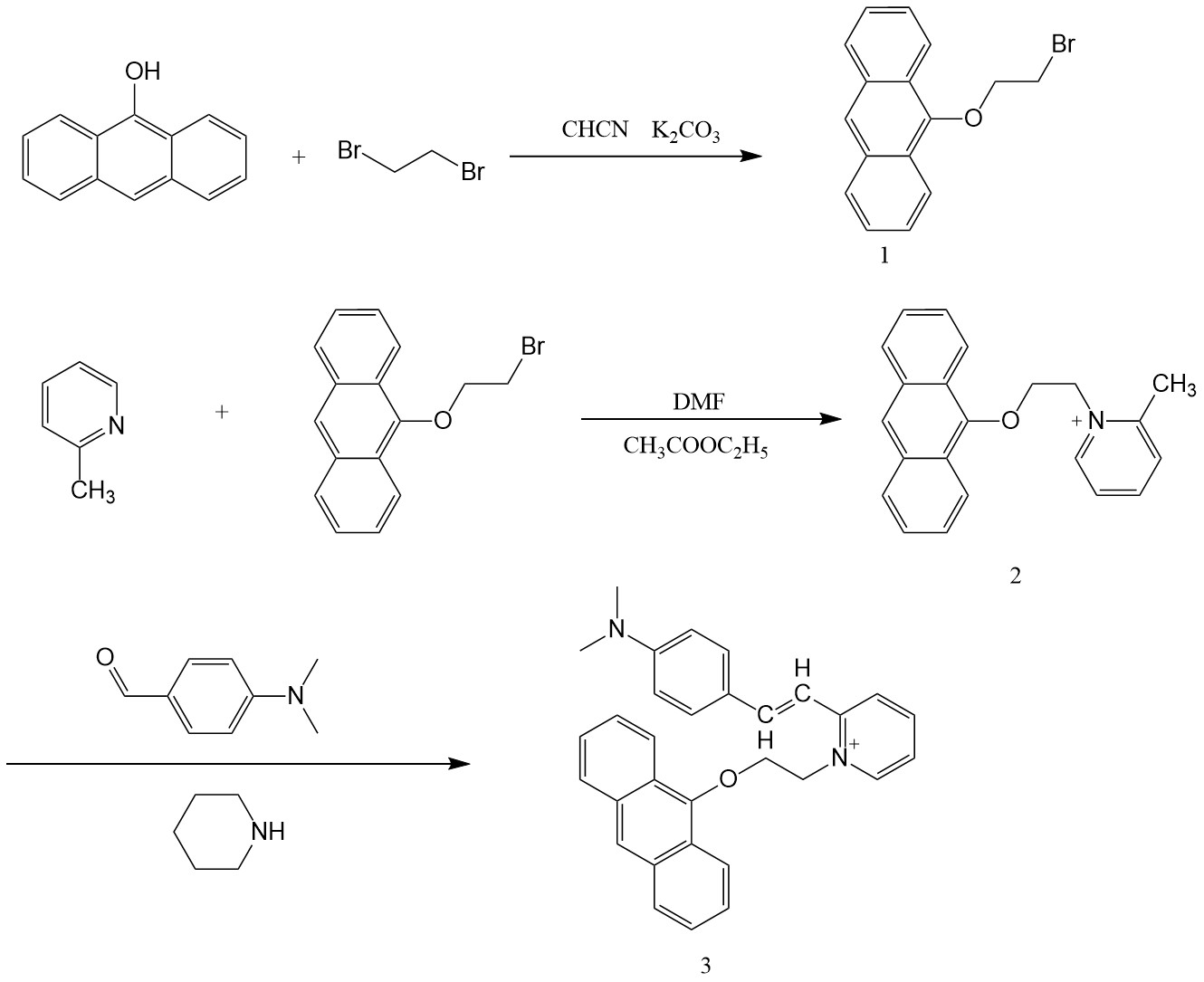
在本论文中,以9-蒽酚为起始原料,在无水碳酸钾作为缚酸剂,与二溴乙烷发生亲核取代生成9-溴乙氧基蒽,然后与二甲基吡啶发生亲核取代反应生成季铵盐,最后与对二甲氨基苯甲醛缩合生成含蒽氧基的V型染料分子,通过核磁共振确定了其结构。
关键词:主客体化学 合成 二苯乙烯V型染料 分子识别
Synthesis of V-type stilbene dye with 9- anthracyloxy.
Abstract
This paper reviews the research progress of host-guest chemistry in supramolecular chemistry, and the research progress of host-guest chemistry when the host molecule is cucurbituril, the research progress of synthesis methods of stilbene compounds, and the applications in biological medicine, fluorescent brightening agent, fluorescent molecular probes and photoelectric material. This paper summarizes the research situation when the guest molecules are included with the host molecules to form a rotaxane, and designed a route of synthetizing V-type stilbene dye molecules with 9- anthracyloxy, which contains two recognition points, but only encapsulated one host molecule. Compared with the linear molecules, the V-type molecules do better in the inclusion performance.
In this paper, 9-anthranol used as raw material, K2CO3 used as acid-bond agent, reacted with 1,2-dibromoethane to produce 9-bromoethoxy anthracene 1, then reacted with 2-methyl pyridine to give quaternary ammonium salt 2. Finally, 2 used to react with p-dimethylaminobenzaldehyde to generate the V-type stilbene dye with 9- anthracyloxy.
Keywords: Host-guest chemistry; Synthesis; V-type stilbene dye; Molecular recognition
目 录
摘要………………………………………………………………….........I
Abstract…………………………………………………………………..II
第一章 综述(绪论) …………………………………………………..…1
1.1 前言…………………………………………………………………….……1
1.2 二苯乙烯型染料分子的应用……………………………………………….2
1.3 二苯乙烯型染料结构和分类……………………………………………….3
1.4 二苯乙烯型染料的合成机理…………………………………………….…3
1.5 二苯乙烯类化合物的应用及其研究…………………………………….…4
1.5.1 聚集诱导发光(AIE)材料………………………………………….4
1.5.2 在生物医学中的应用…………………………………………….….8
1.5.3 在荧光增白剂中的应用……………………………………….…….8
1.5.4 在荧光分子探针中的应用……………………………………..……8
1.5.5 在光电材料中的应用………………………………………..……....9
1.6 本课题研究内容及意义…………………………………………….………9
第二章 实验部分……………………………………………………….10
2.1 概述………………………………………………………………….……..10
2.2 实验试剂与仪器…………………………………………………………...11
2.3 实验的内容………………………………………………………….……..11
2.3.1 合成目标产物的原理……………………………………..…….….11
2.3.2 V型目标客体染料分子3合成线路图………………………………12
2.3.3 实验方法…………………………………………………..………..12
第三章 实验结果与讨论……………………………………………….14
3.1 目标客体染料分子3的表征……………………………………………….14
3.2 结果与讨论…………………………………………………………….…..15
3.2.1 合成1的反应过程及后处理方法分析…………………………..…15
3.2.2 合成2的反应过程及后处理方法分析……………………………..15
3.2.3 合成3的反应过程及后处理方法分析……………………………..16
第四章 结论与展望………………………………………………….…18
4.1 结论…………………………………………………………………….…..18
4.2 展望…………………………………………………….…………………..18
参考文献…………………………………...………………..………….19
致谢……………………………………………………………………...22
第一章 综述
- 前言
自20世纪末,一些科学家在超分子领域获得了惊人的成绩后,该化学领域就一直受到研究者和大众的广泛关注。而在超分子化学领域中,主客体化学又是其中一个极为重要的研究方向。
主客体化学(host-guest chemistry)指的是主体与客体通过配位键或者其他次级键结合起来形成稳定的化合物。我们平常熟悉的范德华力,亲水作用力,疏水作用力,偶极作用力都属于非共价键力的范畴。而这些非共价键包括静电作用力、范德华力、分子偶极作用力、亲疏水等作用力,并且这些作用力都比共价键作用力小的多[1]。
主客体分子通过共价键结合起来就是超分子化学中所说的分子识别。理想的客体分子需要具有特殊的识别点,这样才能有目的的与主体分子相结合。我们了解到的葫芦脲,环糊精等都是受到广泛研究的主体化合物。
相关图片展示:









