己氧基取代的两亲性柱[5]芳烃的合成毕业论文
2020-07-16 20:25:04
摘 要
超分子化学是科研界的热门学科,作为新一代超分子主体化合物,柱芳烃在科研和应用生产上都表现出极大的价值。两亲性柱[5]芳烃除了含有柱芳烃都具有的疏水空腔之外,还在两端同时含有亲水基团和疏水基团,在溶剂中能够发生超分子组装,形成囊泡、纳米管和胶束等结构。利用两亲性柱[5]芳烃不同的主客体包合和自组装性能,在功能材料、药剂控释、催化剂等诸多方面都能发挥重要作用。本篇论文概述了两亲性柱[5]芳烃的结构、性能、在各个领域的应用研究和两亲性柱[5]芳烃的合成研究进展。
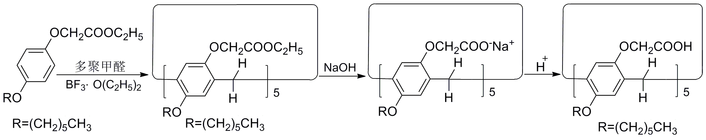
本论文中,用溴己烷与对苯二酚在碳酸钠作用下反应,生成中间体对己氧基苯酚,再与氯乙酸乙酯发生亲核取代反应生成4-己氧基苯氧基乙酸乙酯,最后与多聚甲醛在BF3/Et2O缩合,生成柱[5]芳烃,用NaOH水解柱[5]芳烃,得到目标产物己氧基取代的两亲性柱[5]芳烃。并以1H NMR对合成产物的结构进行确证,最终确定合成了一种己氧基取代的两亲性柱[5]芳烃。
关键词:合成 超分子化学 自组装 两亲性柱[5]芳烃
Synthesis of amphiphilic Pillar[5]arene with hexyloxy group
Abstract
Supramolecular chemistry is a hot subject in the scientific research field. As a new generation of supermolecular host compounds, the Pillararene have shown great value in scientific research and application.
The amphiphilic Pillar [5] arene not only contains the hydrophobic cavity that the Pillararene has, but also contains both the hydrophilic group and the hydrophobic group at both ends, and the supramolecular assembly can take place in the solvent to form vesicles, nanotubes, micelles and other structures. Using the different host-guest inclusion and self-assembly properties of amphiphilic Pillar [5] arenes, they can play an important role in many aspects, such as functional materials, drug controlled release, catalyst and so on. This article outlines the structure and properties of amphiphilic Pillar [5] arenes, their application in various fields, and the progress in the synthesis of amphiphilic Pillar [5] arenes.
In this paper, hydroquinone reacted with bromohexane under the action of sodium carbonate to generate the p-hexyloxyphenol as intermediate, and then reacting with ethyl chloroacetate by the nucleophilic substitution produced 4-hexoxyphenoxy ethyl acetate. The 4-hexoxyphenoxy ethyl acetate is finally condensed with paraformaldehyde under catalysis of BF3/Et2O to form the Pillar [5] arene, and the Pillar [5] arene is hydrolyzed with NaOH to obtain the Pillar [5] arene with hexyloxy group as target product. The structure of the synthesized intermidiates and product was confirmed by 1H NMR.
Keywords: Synthesis; Supramolecular chemistry; Amphiphilic Pillar[5]arene;
self-assembly
目录
摘 要 I
Abstract II
第一章 文献综述 1
1.1 前言 1
1.2 两亲性柱[5]芳烃的结构与构象 1
1.2.1 两亲性柱[5]芳烃的结构 2
1.2.2 两亲性柱[5]芳烃的构象 2
1.3 两亲性柱[5]芳烃的性能 2
1.3.1 两亲性柱[5]芳烃的两亲性 3
1.3.2 可以形成超分子组装体 3
1.3.3 主客体包合和分子识别 4
1.3.4 超分子自组装具有可调控性 4
1.4 两亲性柱[5]芳烃的应用 4
1.4.1 生物领域 4
1.4.2 相转移催化剂 4
1.4.3 制备功能性材料 5
1.4.4 控释制剂 5
第二章 实验部分 9
2.1 实验材料与仪器 9
2.2 合成路线 9
2.3 实验内容 10
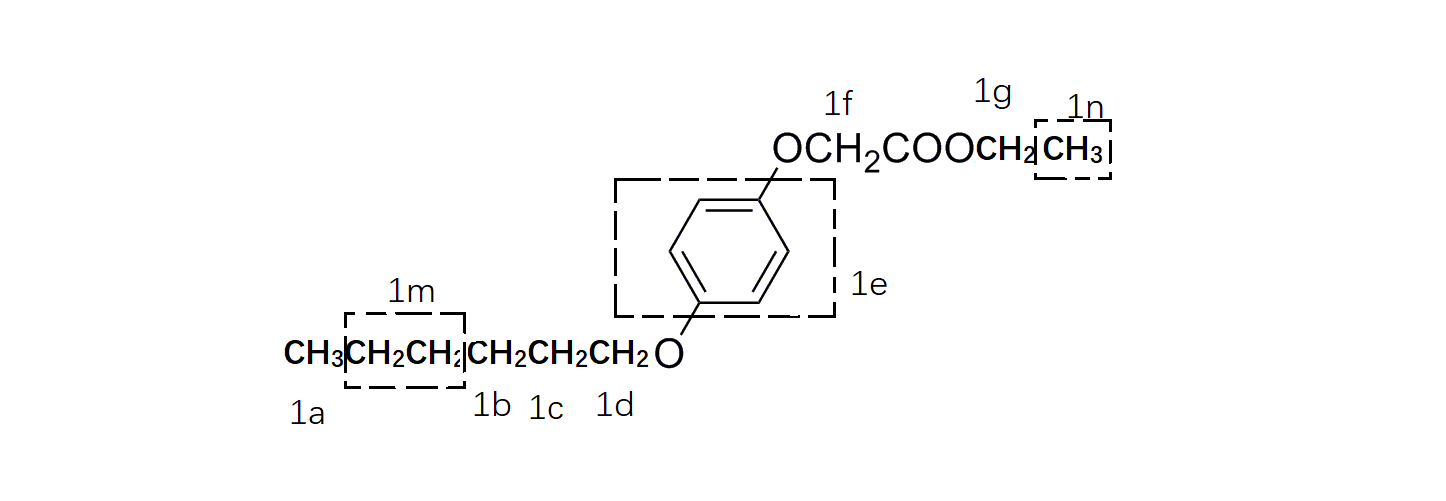
2.3.1 中间体对己氧基苯氧基乙酸乙酯的合成(如图2-2) 10
2.3.2己氧基取代的两亲性柱[5]芳烃的合成 10
2.4本章小结 11
第三章 结果与讨论 12
3.1 反应过程分析 12
3.2 中间体及产物的1HNMR分析 13
3.3 本章小结 18
第四章 结论与展望 19
4.1 结论 19
4.2 展望 19
参考文献 20
致谢 23
第一章 文献综述
1.1 前言
Pedersden,Cram还有Lehn,他们三个科学家因为在超分子化学领域做出了重要的贡献,被诺贝尔化学奖提名并成为其最终获奖者。从此以后超分子化学开始获得全世界科学家的关注[1]。而柱[5]芳烃就是超分子化学第四代主体化合物的主要研究对象,在各个领域都有着极大的研究价值[2],这使得设计并合成新的超分子主体成了科研工作者的工作重心。
在二十一世纪初,日本化学家Ogoshi等首先成功合成了柱[5]芳烃,这种柱芳烃不仅有着规则的柱状空腔结构,还有着优异的离子识别性质,能识别有机阳离子和无机阳离子,由于这些极具研究价值的性能,这一低聚超分子主体化合物柱[5]芳烃成为了新一代大环主体化合物[3]。此外,通过改变催化剂和反应物的比例,柱[5]芳烃的合成方法不断得到改进,最后得到的高效合成方法,产率可以高达71%,柱[5]芳烃也由于产率高的这一特点,而被广泛应用。
相关图片展示:









