银行客户关系管理系统毕业论文
2020-04-07 10:15:56
摘 要
随着业务的不断扩展,民生银行深圳支行现有的客户关系管理系统现有的功能已经无法满足工作的需要。比如业务员的需求量在不断增长,但是系统无法对其进行管理。又比如无法对客户的投诉进行统计分析。因此,重建该银行的客户关系管理系统是十分有必要的。
本文首先分析了该银行现存的客户关系管理系统的不足之处,由此得出了在重建系统的时候所需要注意的问题。之后,在此基础之上,运用UML语言对系统进行分析,从需求着手,一步步将系统的整体功能提炼出来,并将其进行细化分析。然后在以上基础之上对系统进行详细的设计,最后运用Struts2-Spring-Hibernate集成框架技术将所设计的登录、客户信息管理、客户服务管理、系统管理、基础信息分类管理以及消息管理这六大功能模块实现出来。
该银行客户关系管理系统解决了原有客户关系管理系统的缺陷。在系统作用上,增加了对客户投诉的统计分析以及工作人员之间的沟通交流等功能;在技术方面,采用了先进的SSH集成框架技术,将复杂的系统功能分离为了表示、控制、业务以及数据持久化这四层结构,降低了开发的难度;在系统维护方面具备了完善的用户与角色的管理控制,从此系统维护变得简单又轻松。
关键词:J2EE;SSH;银行客户关系管理系统
Abstract
With the continuous expansion of the business, the existing functions of the existing customer relationship management system of the Minsheng Bank Shenzhen Branch have been unable to meet the needs of the work. For example, the salesman's demand is increasing, but the system cannot manage it. Another example is the inability to perform statistical analysis of customer complaints. Therefore, it is very necessary to rebuild the bank's customer relationship management system.
This article first analyzes the deficiencies of the bank's existing customer relationship management system, which leads to issues that need attention when reconstructing the system. After that, based on this, the UML language was used to analyze the system. From the requirements, the overall function of the system was gradually extracted and analyzed in detail. Then on the basis of the above detailed design of the system, and finally using the Struts2-Spring-Hibernate integration framework technology will be designed by the login, customer information management, customer service management, system management, basic information classification management and message management these six Functional modules are implemented.
The bank's customer relationship management system addresses the deficiencies of the original customer relationship management system. In terms of system functions, it has added functions such as statistical analysis of customer complaints and communication and exchange among staff members. In terms of technology, advanced SSH integration framework technology has been adopted to separate complex system functions into presentation, control, and services. The four-layer structure of data persistence has reduced the difficulty of development. In the aspect of system maintenance, it has perfect user and role management control, and since then system maintenance has become simple and easy.
Key Words:J2EE;SSH;Bank Customer Relationship Management System
目录
摘要 3
Abstract 4
第1章:绪论 1
1.1研究背景目的和意义 1
1.2国内外相关研究现状 1
1.2.1国外研究现状 1
1.2.2国内研究现状 2
1.3论文的主要研究内容 3
第2章 系统分析 4
2.1系统需求分析 4
2.1.1.性能需求 4
2.1.2.功能需求 4
2.1.3.业务流程分析 5
2.2系统用例分析 6
2.3系统UML活动关系分析 9
2.4系统主要流程分析 10
2.5功能模块结构图 13
2.6技术方案分析 14
第3章系统设计 15
3.1数据库设计 15
3.1.1数据库概念设计 15
3.1.2数据库表结构 16
3.2程序模块设计 19
3.3输入输出设计 24
3.3.1输入设计 25
3.3.2输出设计 25
第4章系统实施 26
4.1用户登录模块 26
4.2客户信息管理模块 27
4.2.1客户 27
4.2.2客户联系人 29
4.3客户服务模块 31
4.4基础信息分类模块 34
4.5系统管理模块 36
4.6消息管理模块 38
4.7系统测试 41
第5章结论 43
5.1总结 43
5.2存在问题 43
5.3展望 43
参考文献 44
致谢 45
第1章:绪论
1.1研究背景目的和意义
通过对民生银行深圳支行的调研发现,原有的客户关系管理系统的主要问题表现为:
系统功能:功能仅仅局限在客户信息的保存管理上,无法对对接的联系人信息进行合理的管理,不能对客户或者联系人的详尽信息通过Excel表格的方式进行管理,不能对客户的投诉进行统计分析,还有就是原有系统缺乏在系统上进行工作的沟通等等;
技术问题:原有办公系统仅仅局限在MVC模式在J2EE中初步的运用,没有采用现行的技术比较成熟的技术架构;
由于民生银行深圳支行业务规模的在进行不断的扩大,新业务员进行不断的招新,原有系统不能够增加、修改或者删除用户信息,导致后台维护困难。
由于上述的种种弊端,都难以满足银行对目前业务规模下的客户信息的管理,不利于民生银行深圳支行银行提高客户满意度由此增强银行的营业能力。因此,运用先进的软件开发技术,重建民生银行深圳支行的客户关系管理系统是十分有必要的。
民生银行深圳支行客户关系管理系统将包括客户信息管理、客户服务管理、系统管理、分类信息管理、消息管理等模块,能够帮助该银行拓展新的市场和业务渠道,将客户的满意程度提高,使该银行能够在激烈的市场竞争中脱颖而出。
民生银行深圳支行客户关系管理系统将使用Spring-Hibernate-Struts2这三大集成框架,将比较复杂的功能模块剥离为表示层、控制层、业务层、数据持久化层这四层结构,降低了开发的复杂性,采用JAVA语言开发,能够跨平台运行,提升了系统的运行性能和安全性能,便于系统的后期维护。
1.2国内外相关研究现状
1.2.1国外研究现状
1.客户关系管理层面
Reinartz、Krafft和Hoyer(2004)[1]首先概念化地构建了客户关系管理的过程及其维度,然后对客户关系管理的实施和验证进行构造,最后实证研究了实施客户关系管理过程的组织绩效影响。结果表明,一是有效的客户关系管理过程需经过三个阶段:启动、维护和终止;二是客户关系管理过程的实施与感知和公司业绩存在正相关关系。Kumar(2010)[2]从公司价值角度出发,他认为,客户关系管理是与客户建立一对一的关系,为公司创造价值。公司实施客户关系管理战略以后,可以减少营销成本,提高客户响应率,吸引更多的客户,提高公司的盈利水平。Kavitha和Palanivelu(2012)[3]认为,建立一个长期的银行工作人员与客户的关系是银行持续的交易过程,银行的发展是要让老客户满意而不是获得新客户,银行不可能满足所有客户的多样性需求,因此,银行成功的关键因素是有效的客户关系管理。客户关系管理正在越来越多地用于识别、吸引和留住最有价值的客户,以帮助银行保持持续的盈利能力,成功的银行可以保持长期的客户关系管理,帮助客户建立信任关系和获得客户的忠诚。
2.系统开发层面
Vella和Caruana(2012)[4]为了理解服务提供商和他们使用自己公司的客户关系管理技术的意图,以理性行动理论和技术接受模型为基础,以社区银行经理为样本数据,结果表明,感知易用性越高,感知有用性越大,使用客户关系管理系统的意图越强。此外,感知有用性也是感知易用性和使用客户关系管理系统意图的一个中介变量。Ernst et al(2011)[5]指出CRM目前仅应用在现有产品中,而忽视了对未来潜在产品发展中的应用。基于这个视角他们设计了一个新的系统,包含了公司业绩和众多新型产品,并对系统进行测试。测试结果表明CRM对于新产品的性能和进一步的具有积极作用,而这种促进作用不单单依赖CRM技术,更需要系统调试。Khodakarami和Chan(2014)[6]探讨客户关系管理系统如何支持客户知识创造的整个过程,包括社会化、外部化、组合化以及内在化。客户关系管理系统分为三大类:协作系统、操作系统、分析系统,通过分析三类客户关系管理系统的应用程序表明,分析系统支持组合化过程,协作系统为外部化过程提供最大支持,操作系统能促使客户社会化,协作和分析系统通过提供学习机会支持内部化过程。由此,对客户关系管理系统三方的相互作用、客户知识的不同层次、知识创造的过程进行了有效的探索。
1.2.2国内研究现状
1.理论层面
客户关系管理是当前管理领域的重点研究课题,国内学者从理论方面提出了自己的一些看法,郑昕(2012)[7]指出很多银行目前积累了丰富的客户信息,却没有与之相应的一套有效的客户管理体系来应对;杨钧凯(2012)[8]则是在阐述目前银行客户关系管理现状基础上指出其存在的不足,并制定相应对策予以应对;任颖(2012)[9]认为银行必须正视自身问题,如认识上的不足、机构设置不合理、缺乏智能型客户关系管理软件等等,及时制定策略;管琼斯(2013)[10]认为随着市场经济的深入和信息技术的发展,客户关系管理已成为现代营销领域所关注的一个新热点。越来越多的企业意识到客户是利润的源泉,它们希望通过对客户这项资源的管理,与客户之间保持一种亲密的、伙伴式的关系,Customer Relationship Management(CRM)既是一种管理理念又是一个软件系统。
2.系统应用层面
现代网络技术和互联网为企业提供了一个不受时间、地域和空间限制的运行环境,如企业通过门户网站和网页,建立目标客户数据库,企业通过与客户沟通可以迅速发现潜在客户,实行差别化营销,以满足客户不同的需求,达到双赢的目的,同时也对客户关系管理提出了新的要求。我国学者在这方面提出了自己的见解,如柴小卉(2004)[11]认为更好地运用数据挖掘技术可以更利于数据集中,使得银行经营管理全过程更加科学客观;李思聪等(2008)[12]重点研究了J2EE技术,并提出了基于该项技术的客户关系管理系统;潘萍萍(2011)[13]则指出行之有效的客户关系管理是企业成功的关键,而数据库的构建则是实现其客户关系管理的核心;顾桂芳,李文元(2007)[14]分析了移动通信业客户关系管理应用数据挖掘的必要性,并研究了数据挖掘在移动通信业客户关系管理中的应用领域及应用的步骤,用具体例子证明数据挖掘方法在客户关系管理中的可操作性;郑英姿、于晓梅(2010)[15]介绍了分类、聚类、关联规则、统计回归、偏差分析等常用的数据挖掘方法。邓伦丹、罗丹、朱晖(2013)[16]通过介绍数据挖掘技术在客户关系管理的应用,指出改技术可以帮助企业获得更多客户的认可,为客户提供更优越的服务,间接地扩大产品销售额度。
1.3论文的主要研究内容
本文首先分析了该银行现存客户关系管理系统的缺点与不足之处,借此得出了构建该银行客户关系管理系统的必要性。然后,对该银行客户关系管理系统的主要功能及核心流程进行详细的分析。然后再在以上分析的基础之上得出应该采用先进的Sping-Struts2-Hibernate集成框架去构建该系统,并在此基础上,论述核心模块详细设计过程。其要点如下:
(1)分析该银行现存办公系统的缺点与不足之处。
(2)用统一建模语言(UML)对民生银行深圳支行客户关系管理系统进行系统分析。
(3)结合民生银行深圳支行系统分析,进行数据库设计
(4)结合民生银行深圳支行系统的分析,进行具体模块功能的设计
第2章 系统分析
2.1系统需求分析
2.1.1.性能需求
(1)系统的可靠性要强,以及要易于维护
(2)系统应采用便于测试的模块化开发
(3)系统应能够高效运作
2.1.2.功能需求
(1)民生银行深圳支行将依据客户的存款数额将客户分为普通客户和贵宾客户,这样可以将客户分为不同的群体,便于进行分组管理
(2)对企业客户的对接人,即企业的联系人信息进行管理
(3)对于客户的投诉及时管理,并将投诉的状态分为新、处理中、已完成这三类,以便对于客户的投诉信息进行分组管理,提高处理的效率,并且能够对客户的投诉按照地区、时间或者客户满意度进行柱状图统计,以便及时对客户的投诉进行统计分析。
(4)在进行客户信息的录入管理中,可以增加,修改或删除某一分类,例如,对于企业类型的分类,可以在原有分类(国有、私有等)的基础上增加、修改或者删除某一类型的分类,也即对信息分类的管理。
(5)根据员工类型的不同将公司的员工进行角色划分,如行长、副行长、管理员、业务员等,并对不同的角色采取不同的权限,比如客服专员可以进行客户服务的管理,即客户的投诉管理,而且管理员应该能够增加、修改或者删除用户以及对用户的权限进行控制,也即按照工作人员的工作范围决定他们的使用权限。
(6)消息的管理,工作人员可以在日历上添加行程或者填写一些工作交接内容,以提高工作效率。
2.1.3.业务流程分析

图2-1总业务流程图

图2-2普通业务员业务流程图

图2-3管理员业务流程图

图2-4其他用户业务流程图
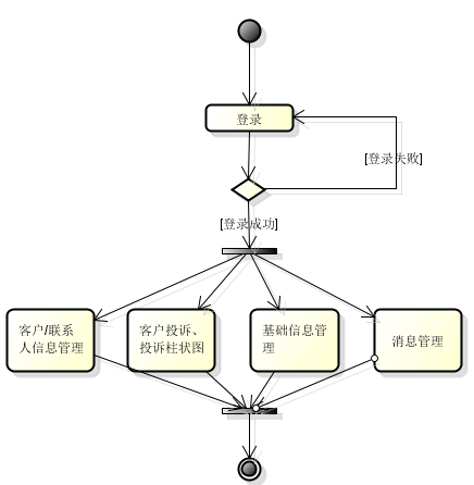
2.2系统用例分析

图2-5业务员用例图
由图2-5可以看出,民生银行深圳支行管理系统的业务人员用例包括客户管理(详细用例描述见表2-1)、客户服务管理(详细用例描述见表2-2)、基础分类信息管理(详细用例描述见表2-3)、消息管理(详细用例描述见表2-4)
表2-1客户管理用例表
描述项 | 说明 |
名称 | 客户管理 |
描述 | 业务人员对客户信息进行管理 |
参与者 | 业务人员 |
前置条件 | 在业务人员登录成功之后 |
后置条件 | 成功对客户信息进行相应操作 |
基本操作流程 | 1.登录成功 2.选择对客户管理 3.按相应条件搜索客户信息 4.查看客户详细信息 5.删除/批量删除客户信息 6.修改客户信息 7.添加客户信息 8.将客户信息下载到Excel中9.通过Excel上传客户信息 10.选择对客户联系人进行管理 11.客户联系人操作同3-9 |
表2-2客户服务管理用例表
描述项 | 说明 |
名称 | 客户服务管理 |
描述 | 业务人员进行客户服务管理 |
参与者 | 业务人员 |
前置条件 | 在业务人员登录成功之后 |
后置条件 | 成功对客户服务进行相应操作 |
基本操作流程 | 1.登录成功 2.选择对客户服务管理 3.查看客户投诉 4.更新客户投诉 5.添加客户投诉 6.删除/批量删除客户投诉 7.查看按客户满意度统计的客户投诉 8.查看按时间统计的客户投诉9.查看按地区统计的客户投诉 |
表2-3基础分类信息管理用例表
描述项 | 说明 |
名称 | 基础分类信息管理 |
描述 | 业务人员对基础分类信息进行管理 |
参与者 | 业务人员 |
前置条件 | 在业务人员登录成功之后 |
后置条件 | 成功对基础分类信息进行相应操作 |
基本操作流程 | 1.登录成功2.选择对具体分类信息管理3.增加/修改/删除/启用具体分类信息4.增加/修改/删除/启用具体分类信息中的分类5.增加/修改/删除客户级别 |
表2-4业务人员消息管理用例表
描述项 | 说明 |
名称 | 消息管理 |
描述 | 业务人员对消息进行管理 |
参与者 | 业务人员 |
前置条件 | 在业务人员登录成功之后 |
后置条件 | 成功对消息进行了相应操作 |
基本操作流程 | 1.登录成功 2.选择对短消息进行管理 3.新建消息 4.删除消息 5.修改消息 6.拖动或缩放消息框 |

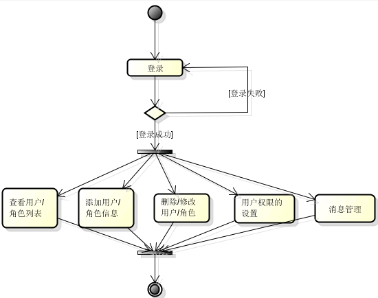
图2-6管理员用例图
以上是毕业论文大纲或资料介绍,该课题完整毕业论文、开题报告、任务书、程序设计、图纸设计等资料请添加微信获取,微信号:bysjorg。
相关图片展示:









