扩频通信中伪随机序列的研究与仿真毕业论文
2020-02-19 20:35:29
摘 要
扩频通信是提高信息传输可靠性的一种特殊的通信方式,即把基带信号扩展到很宽的频率范围内来传递。伪随机码由于其良好的随机特性和易于产生复制等特点,广泛应用于扩频通信中的扩频码中。
本文主要的研究目的是扩频通信中伪随机序列的仿真与研究,主要研究了伪随机序列中的m序列、M序列和Gold序列的相关知识。详细论述了序列的产生、性质和相关特性,其中,m序列的相关性最好,Gold序列次之,但是在产生数量方面,m序列的数量要远远少于其它两个序列。因此,Gold序列等组合序列被广泛应用于码分多址等技术中。在仿真分析方面,本文主要通过Simulink仿真对三种序列进行了序列发生器的搭建,成功生成了三种码型发生器,并与标准码型发生器作为对比验证了码型的正确性。另外,用频谱仪测出三种码型的频谱特性,通过比较,得出m码的频谱特性优于其它两种码型的结论。
关键词:扩频通信;m序列;M序列;Gold序列;Simulink仿真
Abstract
Spread spectrum communication is a special way to improve the reliability of information transmission, that is, to extend the baseband signal to a wide frequency range for transmission. Pseudo-random codes are widely used in spread spectrum communication because of their good random characteristics and easy replication.
The main purpose of this paper is to simulate and study the pseudo-random sequence in spread spectrum communication. The knowledge of M sequence, M sequence and Gold sequence in pseudo-random sequence is mainly studied. The generation, properties and correlation characteristics of sequences are discussed in detail. Among them, m sequence has the best correlation, followed by Gold sequence, but in terms of the number of M sequence, the number of m sequence is far less than the other two sequences. Therefore, combination sequences such as Gold sequences are widely used in code division multiple access (CDMA) technology. In the aspect of simulation analysis, this paper mainly builds three sequence generators through Simulink simulation, and successfully generates three code generators, which are compared with standard code generators to verify the correctness of code types. In addition, the spectrum characteristics of three types of codes are measured by spectrum an alyzer. By comparison, it is concluded that the spectrum characteristics of M code are superior to those of the other two types of codes.
Key words: Spread spectrum communication; m sequence; M sequence; Gold sequence ; Simulink simulation
目 录
第1章 绪论 1
1.1 研究背景、目的和意义 1
1.2 研究现状、发展趋势及应用领域 2
1.3 论文研究内容和结构 3
第2章 伪随机序列的原理与特性 4
2.1 伪随机编码的基本概念 4
2.1.1 序列的相关函数 4
2.1.2 伪随机序列的定义与性质 5
2.1.3 线性反馈移位寄存器 6
2.2 m序列 7
2.2.1 m序列的产生 8
2.2.2 m序列的性质 8
2.3 M序列 10
2.3.1 M序列的产生 10
2.3.2 M序列的性质 12
2.4 Gold序列 12
2.4.1 Gold序列的产生 12
2.4.2 Gold序列的性质 13
第3章 伪随机序列的仿真 15
3.1 m序列的仿真 15
3.1.1 仿真平台的搭建 16
3.1.2 运行结果分析 18
3.2 M序列的仿真 21
3.2.1 仿真平台的搭建 21
3.2.2 运行结果分析 21
3.3 Gold序列的仿真 23
3.3.1 仿真平台的搭建 23
3.3.2 运行结果分析 24
第4章 总结与展望 26
4.1 总结 26
4.2 展望 27
参考文献 28
致 谢 29
第1章 绪论
1.1 研究背景、目的和意义
通信理论和技术的研究,主要是围绕通信系统的可靠性和有效性等这些基本问题扩展开来的,因此有效性和可靠性也成为了大多数衡量通信系统是否优异的有效指标。
所谓通信系统中的有效性,一般是指其信息传输效率的高低。这个问题主要研究在通信系统中,如何以更加经济、合理和高效等的方式来传输尽可能多的信息。而通信系统中的可靠性,是指在传输信息过程中衡量收发信息一致性的指标,来反映其通信系统是否能可靠的传输信息。同样,在模拟通信系统和数字通信系统中,用来反映可靠性的指标并不一样,模拟通信系统采用系统的输出信噪比来衡量其通信系统的可靠性指标;而数字通信系统采用信息传输的差错率来衡量其指标。但是,一般情况下,其理想程度并不能达到,目前为止,也没有任何技术设备能保证信噪比和差错率完全地达到100%传输的目的。因此,怎样提高系统的抗干扰能力就成了重要的研究方向。
为了提高信息传输的可靠性,人们研究出了扩展频谱通信,简称扩频通信。扩频通信是指把原来的传输信号的频谱用特定的方法扩展到很宽的频率范围内来传递,再在接收端用相应的手段还原扩展的频谱,从而达到信息传输的目的,是一种数字传输方式。而这个扩展频谱的特定的方法,就是利用伪随机序列作为扩频序列进行频带扩展。在各种通信方式中,扩频通信以其良好的抗干扰能力、抗检测能力和抗截获能力在各种通信方式中脱颖而出。
对于扩频通信能有效地提高其通信系统的可靠性的能力,可以用信息论的基本理论来说明。在信息论中,其创始人香农在研究中发现了带宽和信噪比之间关系的香农信道容量公式
(1.1)
式中,C为信道容量,单位为b/s;B为信息的频带宽度,单位为Hz;S为信号功率,单位为W;N为噪声功率,单位为W;S/N指输入功率与噪声功率的比值,即功率信噪比。
对式(1.1)进行变换,得
C/B=1.44ln(1 S/N) (1.2)
对于典型干扰环境,有S/Nlt;lt;1,则进行幂级数展开,并省略高次项得
C/B≈1.44S/N (1.3)
从式(1.3)中,我们可以得出如下结论[1]:
(1)要提高信道容量C,可以从加大带宽B和提高信噪比S/N两种方式实现;
(2)对于一定的信噪比S/N,系统无差错的信息传输速率R近似于信道容量C,则只要增加信道带宽B就可以增加无差错的信息传输速率;
在扩频通信中,可以用带宽的增益来换取信噪比的不足,甚至在S/Nlt;1即信号被噪声淹没的情况下,仍然通过增加系统传输带宽B来保证通信的可靠性。
在扩频通信中,伪随机序列是扩频运算的主要理论基础,是扩频通信中区分用户的唯一标志,对其性能起着决定性的作用。伪随机序列无法从一个已经产生的序列中判断出来,而只能根据其产生方法来判断,并且有着良好的随机性接近于高斯白噪声的相关函数,因此被广泛应用于各个领域。作为扩频通信中重要的一步,伪随机序列成为了扩频通信技术领域中不可或缺的一部分。
1.2 研究现状、发展趋势及应用领域
伪随机序列的发展研究历史大致分为三个阶段:纯粹的理论研究阶段、m序列研究阶段和非线性生成器阶段,但最早可以追溯到随机序列概率论的研究上。对于二进制的随机序列,在概率论中称为伯努利序列,在伯努利实验中,只有两种结果。在n次实验后,把发生用1表示,不发生用0表示,这就成为了一个伯努利序列。当事件发生与不发生的概率相等时,所得到的二进制的“0、1”序列就成为了随机序列。然而,这种看似很简单的随机序列在数字通信应用领域实则是很难生成和存储的。因此,找到一种能代替随机序列且易于确定和存储的序列就成为了工程上迫切需要解决的需求。在这种条件下,伪随机序列应运而生,在工程应用中起到了相当良好的效果和作用,并成为了探索者们研究的热门主题。
目前为止,人们通过研究所获得的伪随机序列成果主要是PC(相控)序列、移位寄存器序列、GMW序列和No序列等序列。而随着研究发展得越来越成熟,线性移位寄存器序列“周期越长,其安全性越高”的这一理论由于其线性复杂度太小而被逐渐推翻,取而代之的是非线性移位寄存器序列。而发展至如今,非线性移位寄存器的理论研究也已经相当成熟,取代最初的线性移位寄存器并被用于各个通信领域。
移动通信也是扩频通信中的一种,移动通信以其独有的空间自由、实时性高和机动性强等优点而被广泛应用于各个民用军用领域。移动通信经历了1G到4G并逐渐迎来了5G的飞速发展,扩频技术在这其中起到了不可或缺的作用。而其中最明显的是移动通信系统中CDMA(码分多址)技术的运用。码分多址的优势在于多路信号只占用一条信道,极大地提高了信道利用率。CDMA使用扩频技术把各路信号通过相应的伪随机码进行调制,将基带信号调制为宽带信号然后发送出去,并在接收端用同种伪码进行解调,在保证信道利用率的同时也实现了精确区分各路信号的要求,实现了信息的高效传输[2]。
伪随机序列在密码学中也有着其重要的作用,主要应用于通信加密中。由于伪随机序列自相关性好、并且容易产生和存储等的特点,可以利用伪随机序列在信息传输中加扰,加扰之后的序列有着类似随机分布的特性,因此隐藏性极高[3]。而了解其生成结构后便能很方便地进行信号除扰,因此,伪随机序列在加密通信中发挥着重要的作用。
在卫星通信、雷达、测距及导航等应用中,伪随机序列作为扩频码,在这些扩频通信系统中显示出了强大的生命力。扩频通信有着较强的抗干扰能力和抗衰落能力等的优点,在这些复杂条件下的通信中体现着其无与伦比的优势。并且由于难度较高、技术待突破等不确定性,伪随机序列的发展将会成为更加热门的探究对象,从而获得更高的技术成就。
1.3 论文研究内容和结构
本文主要的研究内容是扩频通信中的伪随机序列的相关知识,用于扩频码的伪随机序列有很多种,本文主要研究的是m序列、M序列和GOLD序列三种伪随机序列。其中,m序列又是其它两种序列的基础,M序列和GOLD序列都是在m序列的基础上发展而来的。三种序列的产生原理、特性、相关性和码型发生器仿真等是本文研究的主要内容。具体来说,本文的内容和结构如下:
第1章是绪论部分,主要讲述扩频通信的基本原理和理论支持,并讲述了伪随机序列在扩频通信中发挥的作用。针对本文内容,讲述了研究背景,明确了研究主题,深化了研究目的。并结合扩频通信和伪随机码的发展,讲述了其发展现状、发展趋势和在通信、密码、航空和雷达等方面的应用领域。
第2章是伪随机序列的原理与特性方面的论述,主要讲述了m序列、M序列和GOLD序列的序列定义构造、相关特性、生成函数和线型反馈移位寄存器等相关知识的论述。通过掌握这些基本原理知识,我们可以更高效、更准确的做好伪随机序列发生器的仿真工作,并对相关性能进行测试与验证。
第3章是本文的软件仿真分析部分,主要工作就是对三种序列设计伪随机序列发生器,并与simulink中自带的PN Sequence Generator(PN序列发生器)进行码型对比验证,并分析其码型的功率谱密度等相关特性。在得到相应码型和数据后,进行三种伪随机序列的比较分析和评价。
第4章是本次论文的结论与展望,对本次毕业设计各个方面的表现进行了综合论述,包括基本原理的学习、软件的学习情况和仿真实验的完成情况等方面的总结,并指出了这次设计的优点和不足之处。并且作为结尾部分,主要总结了整个毕业设计的完成情况和对此次工作的感悟。
第2章 伪随机序列的原理与特性
论文要求研究扩频通信中的伪随机序列的原理与特性,对伪随机码产生电路进行仿真和特性分析,并对所产生的码型及其频谱进行测试,具体要求如下:
(1)了解熟悉扩频通信的相关原理,并着重理解扩频码在扩频通信中的应用和特点;
(2)研究扩频通信中的伪随机码原理与特性,包括产生原理、构造、生成函数和相关系数等的研究;
(3)采用MATLAB或FPGA等仿真软件对伪随机码产生电路进行仿真,并测试伪随机码码型和频谱特性,并作出相应总结与结论。
只有弄清了伪随机码的产生原理和各种特性,才能准确高效地开展对伪随机码进行仿真和特性分析的工作,本章的主要内容为对相关伪随机序列的原理与特性进行论述。
2.1 伪随机编码的基本概念
从理论上讲,用随机序列去扩展频谱其可靠性是最好的,因为随机序列有着良好的相关特性和均匀的功率谱密度函数,但在接受端由于其不可复制性的原因,无法产生相同的随机序列来达到同步的要求。退而求其次,只能用周期尽可能大的伪随机序列来逼近它,从而达到近似随机的要求。
伪随机序列与随机序列的最大区别是,它是一种可以确定的、有着明确的构造方法的周期序列,能够通过已知规则重复不漏地写下所有后续的序列。当码足够长的时候,伪随机序列的概率分布趋近于正态分布。
2.1.1 序列的相关函数
通俗来说,序列的相关函数就是描述序列在两次观察时间的相似度和其时间差的关系,分为自相关函数和互相关函数。序列的相关函数是伪随机序列的一个重要研究方向,自相关函数和互相关函数也是研究伪随机序列的重要指标,下面给出二进制码序列的相关函数的定义。
长度为N的码序列{}的自相关函数定义为
	
 	(2.1)
也可用二进制简化公式计算
	
	(2.2 )
其中,A是码字{}与其对应位移码字{}在对应位置上相同码元的数目,D是对应位置上不同码元的数目,N是总码元数目。
设{}与{}是周期为N的两个序列,则序列{}与{}的互相关函数定义为
	
 	(2.3)
公式中的乘以1/N的的目的是使相关函数归一化,将其化为无量纲的表达方式,方便数据处理。后文除特别说明外,一般是指已归一化的相关函数。关于互相关函数的二进制简化公式和自相关函数大致相同,只需把位移序列{}换成序列{}即可,这里不再重复列举。
2.1.2 伪随机序列的定义与性质
对于一个给定的序列,其自相关函数都可以根据式(2.1)计算得出。序列自相关函数正是区分这个序列是否为伪随机序列的标志,下面给出伪随机序列的定义。
(1)狭义伪随机序列
若长度为N的序列{}的自相关函数满足
	
	(2.4)
的形式,则称为狭义伪随机序列。上述公式中,(mod N)表示与N相除取余。
(2)广义伪随机序列
若长度为N的序列{}的自相关函数满足
	
	(2.5)
的形式,则称为广义伪随机序列[4]。
最后需要说明一点,若长度为N的序列{}的自相关函数满足
	
	(2.6)
则称为完备序列[5]。到目前为止,已经发现的二元完备序列为周期N=4的序列{0001}和其反相序列{1110},有人猜测周期Ngt;4的二元完备序列不存在,但尚未证实。
大部分伪随机码都有着类似白噪声的性质,易于与其它信号区别和分离出来。对于用{0,1}二元域来表示的伪随机码,它具有以下特点:
(1)在每个周期内,0元素与1元素出现的次数大致相等,具体来说,两元素出现的次数最多只差一次;
(2)在一个周期内,长度为n比特的游程出现的次数是长度为n 1比特的元素游程出现的次数的两倍(连续出现m个比特的同种元素叫做长度为m比特的元素游程)。
(3)序列的自相关函数具有双值特性,且是周期的,满足
	
	(2.7) 
式中,N为序列周期,又称序列码长;k为小于N的整数;τ为码元延时。
2.1.3 线性反馈移位寄存器
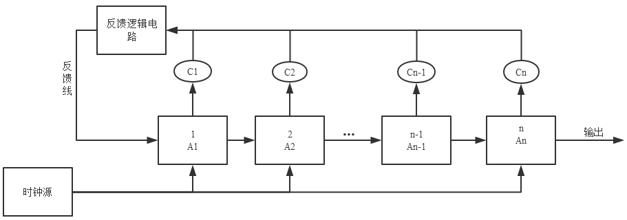
在扩频通信系统中,作为扩频码的伪随机码大多是由反馈移位寄存器来产生的。反馈移位寄存器的基本组成为:时钟源、移位寄存器和反馈逻辑电路,其组成结构图如图2.1所示。

以上是毕业论文大纲或资料介绍,该课题完整毕业论文、开题报告、任务书、程序设计、图纸设计等资料请添加微信获取,微信号:bysjorg。
相关图片展示:








        
            
